வரையறை, தேற்றம், நிரூபணம், எடுத்துக்காட்டு கணக்குகள் - இணையான இரு தளங்களுக்கு இடைப்பட்ட தொலைவு (Distance between two parallel planes) | 12th Maths : UNIT 6 : Applications of Vector Algebra
13. இணையான இரு தளங்களுக்கு இடைப்பட்ட தொலைவு (Distance between two parallel planes)
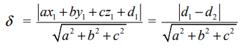
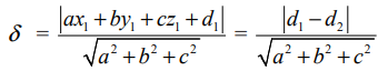
தேற்றம் 6.21
ax + by + cz + d1 = 0 மற்றும் ax + by + cz + d2 = 0 ஆகிய இரு இணையான தளங்களுக்கு இடைப்பட்ட தொலைவு 
நிரூபணம்
ax + by + cz + d2 = 0 என்ற தளத்தின் மீதுள்ள ஏதேனும் ஒரு புள்ளி A(x1, y1, z1) என்க. பின்னர்,
ax1 + by1 + cz1 + d2 = 0 ⇒ ax1 + by1 +cz1 = −d2
A (x1, y1, z1) என்ற புள்ளியிலிருந்து ax + by + cz + d1 = 0 என்ற தளத்திற்குள்ள தொலைவு

எனவே, ax + by + cz + d1 = 0 மற்றும் ax + by + cz + d2 = 0 என்ற இணையான இரு தளங்களுக்கு இடைப்பட்ட தொலைவு δ = 
எடுத்துக்காட்டு 6.51
x + 2y − 2z + 1 = 0 மற்றும் 2x + 4y − 4z + 5 = 0 ஆகிய இரண்டு இணையான தளங்களுக்கு இடைப்பட்ட தொலைவு காண்க.
தீர்வு
ax + by + cz + d1 = 0 மற்றும் ax + by + cz + d2 =0 என்ற இரு இணையான தளங்களுக்கு இடைப்பட்ட தொலைவு
இரண்டாவது சமன்பாட்டை x + 2y − 2z + 5/2 = 0 என எழுத, a=1, b=2, c=−2, d1 =1, d2 = 5/2 எனப் பெறலாம். இம்மதிப்புகளை சூத்திரத்தில் பிரதியிட,
அலகுகள் எனத் தேவையான தொலைவு கிடைக்கிறது.
எடுத்துக்காட்டு 6.52
என்ற தளங்களுக்கு இடைப்பட்ட தொலைவு காண்க.
தீர்வு
என்ற தளத்தின் மீதுள்ள ஏதேனும் ஒரு புள்ளியின் நிலைவெக்டர்
என்க.
பின்னர், 
கொடுக்கப்பட்ட இரண்டு தளங்களுக்கு இடைப்பட்ட தொலைவு δ எனில், δ என்பது
என்ற புள்ளியிலிருந்து
என்ற தளத்திற்குள்ள செங்குத்துத் தொலைவாகும். எனவே,
அலகு.