கேள்விகளுக்கான பதில்கள், தீர்வுகள் - பயிற்சி 6.5: இரு நேர்க்கோடுகள் வெட்டும் புள்ளி (Point of intersection of two straight lines) | 12th Maths : UNIT 6 : Applications of Vector Algebra
பயிற்சி 6.5
1. (5,2,8) என்ற புள்ளி வழிச் செல்வதும்
மற்றும்
ஆகிய கோடுகளுக்குச் செங்குத்தானதுமான நேர்க்கோட்டின் துணையலகு வெக்டர் சமன்பாடு மற்றும் கார்டீசியன் சமன்பாடுகளைக் காண்க.

2.
என்பன ஒரு தளம் அமையாக் கோடுகள் எனக்காட்டுக. மேலும், அக்கோடுகளுக்கு இடைப்பட்ட மீச்சிறு தூரத்தைக் காண்க.

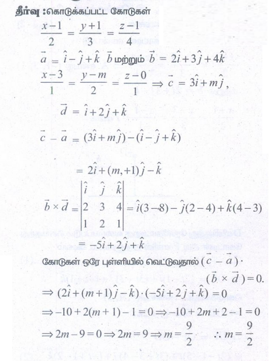
3.
என்ற கோடுகள் ஒரு புள்ளியில் வெட்டிக் கொள்ளும் எனில், m –ன் மதிப்பைக் காண்க.

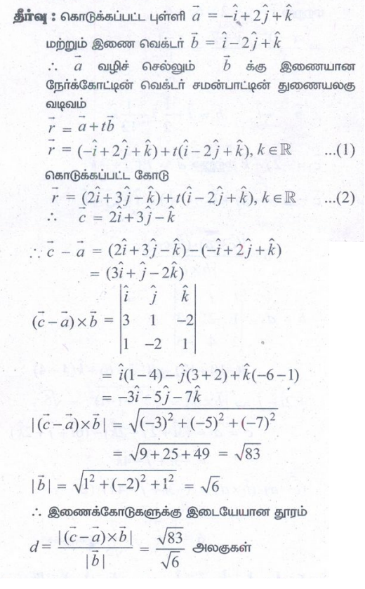
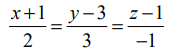
4.
என்ற கோடுகள் வெட்டிக் கொள்ளும் எனக் காட்டுக. மேலும், அவை வெட்டும் புள்ளியைக் காண்க.

5. x + 1 = 2y = −12z மற்றும் x = y + 2 = 6z −6 என்ற கோடுகள் ஒரு தளம் அமையாக் கோடுகள் எனக் காட்டி, அவற்றிற்கு இடைப்பட்ட மீச்சிறு தூரத்தையும் காண்க.

6. (−1,2,1) என்ற புள்ளி வழிச் செல்வதும்
என்ற நேர்க்கோட்டிற்கு இணையானதுமான நேர்க்கோட்டின் துணையலகு வெக்டர் சமன்பாட்டைக் காண்க. மேலும், இக்கோடுகளுக்கு இடைப்பட்ட மீச்சிறு தூரத்தையும் காண்க.

7. (5,4,2) என்ற புள்ளியிலிருந்து
என்ற நேர்க்கோட்டிற்கு வரையப்படும் செங்குத்துக்கோட்டின் அடியைக் காண்க. மேலும், இச்செங்குத்துக் கோட்டின் சமன்பாட்டைக் காண்க.
