எண்ணியல் கணக்குகள் பதில்கள் மற்றும் தீர்வுகள் | கண மொழி | கணக்கு - பயிற்சி 1.6: கணங்களின் ஆதி எண்ணின் பயன்பாட்டுக் கணக்குகள் (Application Problems on Cardinality of Sets) | 9th Maths : UNIT 1 : Set Language
பயிற்சி 1.6
1. (i) n(A) = 25, n(B) = 40, n(A∪B) = 50 மற்றும் n(B') = 25 எனில், n(A∩B) மற்றும் n(U) காண்க .
(ii) n(A) = 300, n(A∪B) = 500, n(A∩B) = 50 மற்றும் n(B') = 350 எனில், n(B) மற்றும் n(U) காண்க .

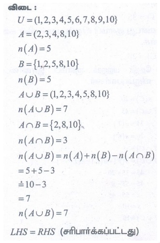
2. U = {x : x ∈ ℕ, x ≤ 10}, A = {2,3,4,8,10} மற்றும் B = {1,2,5,8,10} எனில், n(A ∪ B) = n(A) + n(B) − n(A ∩ B) என்பதைச் சரிபார்க்க.

3. n(A∪ B∪C) = n(A) + n(B) + n(C) − n(A∩B) − n(B∩C) − n(A∩C) + n(A∩ B∩ C) என்பதைக் கீழ்க்காணும் கணங்களுக்குச் சரிபார்க்க.
(i) A = {a,c,e, f,h}, B = {c,d,e, f} மற்றும் C = {a,b,c, f}
(ii) A = {1,3,5}, B = {2,3,5,6} மற்றும் C = {1,5,6,7}

4. ஒரு வகுப்பில் உள்ள அனைத்து மாணவர்களும் இசை அல்லது நாடகம் அல்லது இரண்டிலும் பங்கேற்கிறார்கள். 25 மாணவர்கள் இசையிலும், 30 மாணவர்கள் நாடகத்திலும், 8 மாணவர்கள் இசை மற்றும் நாடகம் இரண்டிலும் பங்கேற்கிறார்கள் எனில்
(i) இசையில் மட்டும் பங்கேற்கும் மாணவர்களின் எண்ணிக்கை.
(ii) நாடகத்தில் மட்டும் பங்கேற்கும் மாணவர்களின் எண்ணிக்கை.
(iii) வகுப்பில் உள்ள மொத்த மாணவர்களின் எண்ணிக்கையைக் காண்க.

5. 45 பேர் கொண்ட ஒரு குழுவில் ஒவ்வொருவரும் தேநீர் அல்லது குளம்பி (coffee) அல்லது இரண்டையும் விரும்புகிறார்கள். 35 நபர்கள் தேநீர் மற்றும் 20 நபர்கள் குளம்பி விரும்புகிறார்கள். கீழ்க்காணும் நபர்களின் எண்ணிக்கையைக் காண்க.
(i) தேநீர் மற்றும் குளம்பி இரண்டையும் விரும்புபவர்கள்
(ii) தேநீரை விரும்பாதவர்கள்
(iii) குளம்பியை விரும்பாதவர்கள்

6. ஒரு தேர்வில் கணிதத்தில் 50% மாணவர்கள் தேர்ச்சி பெற்றனர் மற்றும் 70% மாணவர்கள் அறிவியலில் தேர்ச்சி பெற்றனர். மேலும் 10% இரண்டிலும் தேர்ச்சி பெறாதோர். 300 மாணவர்கள் இரு பாடங்களிலும் தேர்ச்சி பெற்றுள்ளனர். இந்த இரு தேர்வை மட்டுமே மாணவர்கள் எழுதியிருந்தால் தேர்வெழுதிய மாணவர்களின் எண்ணிக்கையைக் காண்க.

7. A மற்றும் B ஆகிய இரு கணங்க ள் n(A−B) = 32 + x, n(B−A) = 5x மற்றும் n(A∩ B) = x. என அமைகின்றன. இத்தரவினை வென்படம் மூலம் குறிக்கவும். n(A) = n(B), எனில் x இன் மதிப்பைக் காண்க.

8. 500 மகிழுந்து உரிமையாளர்களைப் பற்றிய ஆய்வில், 400 பேர் மகிழுந்து A ஐயும் 200 பேர் மகிழுந்து B ஐயும், 50 பேர் இரு வகையான மகிழுந்துகளையும் வைத்துள்ளனர் எனில் இது சரியான தகவலா?

9. ஒரு குடியிருப்பில், 275 குடும்பங்கள் தமிழ்ச் செய்தித்தாளும், 150 குடும்பங்கள் ஆங்கிலச் செய்தித்தாளும், 45 குடும்பங்கள் இந்தி செய்தித்தாளும் வாங்குகின்றனர். 125 குடும்பங்கள் தமிழ் மற்றும் ஆங்கிலச் செய்தித்தாள்களையும், 17 குடும்பங்கள் ஆங்கிலம் மற்றும் இந்தி செய்தித்தாள்களையும், 5 குடும்பங்கள் தமிழ் மற்றும் இந்தி செய்தித்தாள்களையும், 3 குடும்பங்கள் மூன்று செய்தித்தாள்களையும் வாங்குகிறார்கள். குடியிருப்பில் உள்ள ஒவ்வொரு குடும்பமும் குறைந்தது ஒரு செய்தித்தாளையாவது வாங்குகிறார்கள் எனில்,
(i) ஒரு செய்தித்தாளை மட்டும் வாங்கும் குடும்பங்களின் எண்ணிக்கை,
(ii) குறைந்தது இரண்டு செய்தித்தாள்களை வாங்கும் குடும்பங்களின் எண்ணிக்கை,
(iii) குடியிருப்பில் உள்ள மொத்தக் குடும்பங்களின் எண்ணிக்கை ஆகியவற்றைக் காண்க

10. 1000 விவசாயிகளிடம் நடத்தப்பட்ட ஆய்வில், 600 விவசாயிகள் நெல் பயிரிட்டதாகவும், 350 விவசாயிகள் கேழ்வரகு பயிரிட்டதாகவும், 280 விவசாயிகள் மக்காச்சோளம் பயிரிட்டதாகவும் தெரிவித்தனர். மேலும், 120 விவசாயிகள் நெல் மற்றும் கேழ்வரகு, 100 விவசாயிகள் கேழ்வரகு மற்றும் மக்காச்சோளம், 80 விவசாயிகள் நெல் மற்றும் மக்காச்சோளப் பயிர்களையும் பயிரிட்டனர். ஒவ்வொரு விவசாயியும் மேற்கண்டவற்றில் குறைந்தது ஒரு பயிராவது பயிர் செய்தார் எனில், மூன்று பயிர்களையும் பயிரிட்ட விவசாயிகளின் எண்ணிக்கையைக் காண்க.

11. கொடுக்கப்பட்ட படத்தில், n(U) = 125 , y ஆனது x ஐப் போல் இருமடங்கு மற்றும் z ஆனது x ஐ விட 10 அதிகம் எனில், x, y மற்றும் z ஆகியவற்றின் மதிப்பைக் காண்க.


12. 35 மாணவர்கள் கொண்ட ஒரு வகுப்பில் ஒவ்வொருவரும் சதுரங்கம் (Chess), சுண்டாட்டம் (Carrom), மேசை வரிப்பந்து (Table tennis) ஆகிய விளையாட்டுகளில் ஏதேனும் ஒன்றை விளையாடுகிறார்கள். 22 மாணவர்கள் சதுரங்கமும், 21 மாணவர்கள் சுண்டாட்டமும், 15 மாணவர்கள் மேசை வரிப்பந்தும், 10 மாணவர்கள் சதுரங்கம் மற்றும் மேசை வரிப்பந்தும், 8 மாணவர்கள் சுண்டாட்டம் மற்றும் மேசை வரிப்பந்தும், 6 மாணவர்கள் மூன்று விளையாட்டுகளையும் விளையாடுகிறார்கள் எனில், (i) சதுரங்கம் மற்றும் சுண்டாட்டம் விளையாடி மேசை வரிப்பந்து விளையாடாதவர்கள் (ii) சதுரங்கம் மட்டும் விளையாடுபவர்கள் (iii) சுண்டாட்டம்மட்டும் விளையாடுபவர்களின் எண்ணிக்கையைக் காண்க. (குறிப்பு: வென்படத்தைப் பயன்படுத்தவும்)

13. ஒரு வகுப்பிலுள்ள 50 மாணவர்கள், பேருந்து மூலமாகவோ அல்லது மிதிவண்டி மூலமாகவோ அல்லது நடந்தோ பள்ளிக்கு வந்தடைகின்றனர். 25 மாணவர்கள் பேருந்து மூலமும், 20 மாணவர்கள் மிதிவண்டி மூலமும், 30 மாணவர்கள் நடந்தும், 10 மாணவர்கள் மூன்று வகைப் பயணங்களிலும் வருகிறார்கள் எனில் எத்தனை மாணவர்கள் சரியாக இரண்டு வகைப் பயணங்களில் மட்டும் பள்ளிக்கு வந்தடைகின்றனர்.
