எண்ணியல் கணக்குகள் பதில்கள் மற்றும் தீர்வுகள் | மெய்யெண்கள் | கணக்கு - பயிற்சி 2.7: முறுடுகளை விகிதப்படுத்துதல் (Rationalisation of Surds) | 9th Maths : UNIT 2 : Real Numbers
பயிற்சி 2.7
1. பகுதியை விகிதப்படுத்துக.


2. பகுதியை விகிதப்படுத்திச் சுருக்குக.



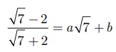
3.
எனில், a மற்றும் b இன் மதிப்புகளைக் காண்க.

4. x = √5 + 2 எனில், x2 + 1/x2 இன் மதிப்பு காண்க.

5. √2 = 1.414 எனில்,
இன் மதிப்பை 3 தசம இடத் திருத்தமாகக் காணவும்.
