கேள்விகளுக்கான பதில்கள், தீர்வுகள் - பயிற்சி 4.3: தொடுகோட்டுச் சார்பு மற்றும் நேர்மாறு தொடுகோட்டுச் சார்பு (The Tangent Function and the Inverse Tangent Function) | 12th Maths : UNIT 4 : Inverse Trigonometric Functions
பயிற்சி 4.3
1. கீழ்க்காணும் சார்புகளின் சார்பகம் காண்க.
(i) tan–l(√[9 − x2])
(ii) 1/2 tan–l(1 − x2) − π/4

2. மதிப்பு காண்க
(i) tan–l [tan(5π/4)] .
(ii) tan–l [tan(−π/6)] .

3. மதிப்பு காண்க
(i) tan [ tan–l (7π/4) ]
(ii) tan [ tan–l (1947) ]
(ii) tan [ tan–l (−0.2021) ] .

4. மதிப்பு காண்க
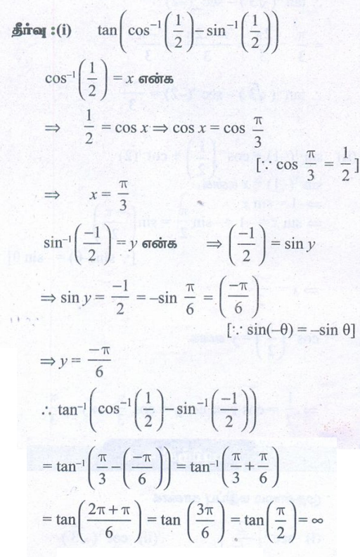
(i) tan [cos–l(1/2) − sin–l (−1/2)]

(ii) sin [tan–l (1/2) − cos–l (4/5)]

(iii) cos [sin–l (4/5)] − tan–l (3/4)].
