வேதியியல் - ஆல்டிஹைடுகள் மற்றும் கீட்டோன்களின் பொதுவான தயாரிப்பு முறைகள் | 12th Chemistry : UNIT 12 : Carbonyl Compounds and Carboxylic Acids
ஆல்டிஹைடுகள் மற்றும் கீட்டோன்களின் பொதுவான தயாரிப்பு முறைகள்
1. ஆல்கஹால்களின் ஆக்சிஜனேற்றம் மற்றும் வினைவேக மாற்றியால் ஹைட்ரஜன் நீக்கம்.
ஆக்சிஜனேற்றத்தின் போது, ஓரிணைய ஆல்கஹால்கள் ஆல்டிஹைடுகளையும் ஈரிணைய ஆல்கஹால்கள் கீட்டோன்களையும் தருகின்றன என நாம் ஏற்கனவே கற்றறிந்தோம். அமிலம் கலந்த Na2Cr2O7, KMnO4, PCC போன்ற ஆக்சிஜனேற்றிகள் ஆக்சிஜனேற்றத்திற்கு பயன்படுத்தப்படுகின்றன. PCC யை ஆக்சிஜனேற்றியாக பயன்படுத்தும்போது ஆல்டிஹைடுகள் உருவாகின்றன. பிற ஆக்சிஜனேற்றிகள் உருவாகும் ஆல்டிஹைடுகள் / கீட்டோன்களை மேலும் ஆக்சிஜனேற்றமடையச் செய்து கார்பாக்சிலிக் அமிலங்களை தருகின்றன (அலகு எண் 11 ஆல்கஹால்களின் ஆக்சிஜனேற்றம் - காண்க).
Cu, Ag, போன்ற உலோக வினையூக்கிகளின் வழியே ஆல்கஹால்களின் ஆவியினை செலுத்தும் போது அவைகள் ஆல்டிஹைடுகள் மற்றும் கீட்டோன்களை தருகின்றன. (அலகு எண் 11 ஆலகஹால்களின் வினைவேக மாற்றியால் ஹைட்ரஜன் நீக்கம் - காண்க).
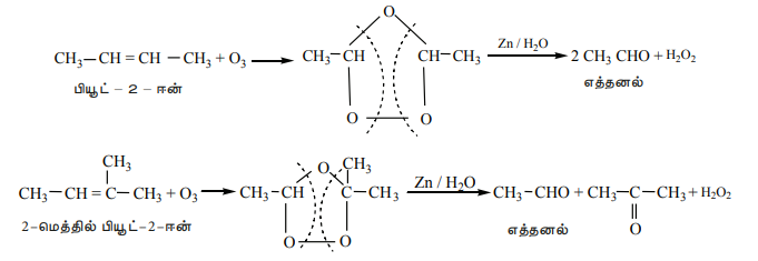
2. ஆல்கீன்களின் ஓசோன் பகுப்பு
ஆல்கீன்களின் ஒடுக்க ஓசோன் பகுப்பினால் ஆல்டிஹைடுகள் மற்றும் கீட்டோன்கள் உருவாகுகின்றன என நாம் ஏற்கனவே பதினோராம் வகுப்பில் கற்றறிந்துள்ளோம்.
ஆல்கீன்கள் ஓசோனுடன் வினைபுரிந்து ஓசோனைடுகளைத் தருகின்றன. இவைகள் தொடர்ந்து துத்தநாகம் மற்றும் நீரால் பிளவிற்கு உட்பட்டு ஆல்டிஹைடுகள் மற்றும் (அல்லது) கீட்டோன்களை தருகின்றன. துத்தநாக தூளானது உருவாகும் H2O2 வை நீக்குகிறது. இவ்வாறு நீக்கப்படாவிடில் உருவாகும் ஆல்டிஹைடுகள் / கீட்டோன்கள் மேலும் ஆக்சிஜனேற்றமடையும்.

இவ்வினையில், முனைய ஒலிஃபீன்கள் (terminal olefins) ஃபார்மால்டிஹைடை ஒரு விளை பொருளாக தருகின்றன.
தன் மதிப்பீடு
பின்வரும் ஆல்கீன்களை ஒடுக்க ஓசோன் பிளப்பிற்கு உட்படுத்தும் போது என்ன நிகழும்?
1) புரோபீன் 2) 1-பியூட்டீன் 3) ஐசோபியூடிலீன்
3. ஆல்கைன்களின் நீரேற்றம்
40% நீர்த்த கந்தக அமிலம் மற்றும் 1% HgSO, முன்னிலையில் ஆல்கைன்கள் நீரேற்றத்திற்கு உட்பட்டு ஆல்டிஹைடுகள் / கீட்டோன்களை தருகின்றன என நாம் ஏற்கனவே பதினோராம் வகுப்பில் கற்றறிந்தோம்.
அ. அசிட்டிலீன் நீரேற்றத்திற்கு உட்பட்டு அசிட்டால்டிஹைடைத் தருகிறது.

ஆ. அசிட்டிலீனைத் தவிர்த்த பிற ஆல்கைன்கள் நீரேற்றமடைந்து கீட்டோன்களை தருகின்றன.

4. கார்பாக்சிலிக் அமிலங்களின் கால்சியம் உப்புகளிலிருந்து பெறுதல்
கார்பாக்சிலிக் அமிலங்களின் கால்சியம் உப்புக்களை உலர் காய்ச்சி வடித்தலின் மூலம் ஆல்டிஹைடுகள் மற்றும் கீட்டோன்களைத் தயாரிக்கலாம்.
அ. கார்பாக்சிலிக் அமிலங்களின் கால்சியம் உப்புகள் மற்றும் கால்சியம் ஃபார்மேட் கலவையை உலர் காய்ச்சி வடிக்கும் போது ஆல்டிஹைடுகள் உருவாகின்றன.

ஆ. ஃபார்மிக் அமிலத்தை தவிர்த்த பிற கார்பாக்சிலிக் அமிலங்களின் கால்சியம் உப்புகளை உலர் காய்ச்சி வடிக்கும் போது சீர்மையுள்ள கீட்டோன்கள் உருவாகின்றன.

1) ரோசன் முன்ட் ஒடுக்க வினை
அ) அமில குளோரைடுகளை, பேரியம் சல்பேட் கொண்ட பெலேடியம் வினையூக்கி முன்னிலையில் ஹைட்ரஜனேற்றமடையச் செய்து ஆல்டிஹைடுகளை தயாரிக்கலாம். இவ்வினை ரோசன்முன்ட் ஒடுக்க வினை எனப்படும்.
எடுத்துக்காட்டு

ஆசிட்டால்டிஹைடு இவ்வினையில் பெலேடியம் வினைவேக மாற்றிக்கு நச்சாக பேரியம் சல்பேட் செயல்படுகிறது. எனவே உருவாகும் ஆல்டிஹைடுடானது மேலும் ஒடுக்கமடைந்து ஆல்கஹாலாக மாற்றப்படுவது தடுக்கப்படுகிறது. ஃபார்மால்டிஹைடையும் கீட்டோன்களை இம்முறையினைப் பயன்படுத்தி தயாரிக்க இயலாது.
2) ஸ்டீஃபனின் வினை
ஆல்கைல் சயனைடுகளை, SnCl2/HCI பயன்படுத்தி ஒடுக்கமடையச் செய்யும் போது இமீன்கள் உருவாகின்றன. இவைகள் நீராற்பகுப்படைந்து ஆல்டிஹைடுகளைத் தருகின்றன.

3) சயனைடுகளின் தேர்ந்த ஒடுக்க வினை
டைஐசோபியூட்டைல் அலுமினியம் ஹைட்ரைடானது ஆல்கைல் சயனைடுகளை ஒடுக்கமடையச் செய்து இமீன்களை உருவாக்குகிறது. இவைகள் நீராற்பகுப்படைந்து ஆல்டிஹைடுகளைத் தருகின்றன.
எடுத்துக்காட்டு

1. டொலுவீன் மற்றும் அதன் பெறுதிகளை,
KMnO4 போன்ற வலிமையான ஆக்சிஜனேற்றிகளைக் கொண்டு ஆக்சிஜனேற்றமடையச் செய்யும் போது பக்க சங்கிலி ஆக்சிஜனேற்றமடைந்து பென்சாயிக் அமிலத்தைத் தருகிறது.
குரோமைல் குளோரைடை ஆக்சிஜனேற்றியாக பயன்படுத்தும்போது டொலுவீன், பென்சால்டிஹைடைத் தருகிறது. இவ்வினை எடார்ட் வினை என்று அழைக்கப்படுகிறது. இவ்வினையில் அசிட்டிக் அமில நீரிலி மற்றும் CrO3 யையும் பயன்படுத்தலாம்.

டொலுவீனை குரோமிக் ஆக்சைடைக் கொண்டு ஆக்சிஜனேற்றமடையச் செய்யும் போது பென்சிலிடின் டை அசிட்டேட் உருவாகிறது. இது நீராற்பகுப்படைந்து பென்சால்டிஹைடைத் தருகிறது.
2) காட்டர்மான் - கூச் வினை
இவ்வினை பிரீடல் - கிராஃப்ட் அசைலேற்ற வினையை ஒத்த ஒரு வினையாகும். இம்முறையில், Co மற்றும் HCl வினைபுரிந்து பார்மைல் குளோரைடை ஒத்த ஒரு வினை இடை நிலையைத் தருகிறது.

3) டொலுவீனிலிருந்து பென்சால்டிஹைடை தயாரித்தல்
டொலுவீனின் பக்க சங்கிலி குளோரினேற்றத்தால் பென்சால் குளோரைடு உருவாகிறது இது நீராற்பகுப்படைந்து பென்சால்டிஹைடைத் தருகிறது.

வணிகரீதியில் பென்சால்டிஹைடை பெருமளவில் தயாரிக்க இம்முறை பயன்படுகிறது.
1) கீட்டோன்கள்
அமில குளோரைடுகளை டை ஆல்கைல் காட்மியத்துடன் வினைபடுத்தும் போது கீட்டோன்கள் உருவாகின்றன.
எடுத்துக்காட்டு

2) ஃபீனைல் கீட்டோன்களைத் தயாரித்தல்
ஃபிரீடல் - கிராஃப்ட் அசைலேற்றம்
அல்கைல் அரைல் கீட்டோன்கள் அல்லது டைஅரைல் கீட்டோன்களைத் தயாரிக்க இம்முறையே சிறந்த முறையாகும். பென்சீன் மற்றும் கிளர்வுறு தொகுதிகளைக் கொண்டுள்ள பென்சீனின் பெறுதிகளைக் கொண்டே இவ்வினை நிகழ்த்தப்படுகிறது.
எடுத்துக்காட்டு
