சர்க்யூட் சின்னம், உண்மை அட்டவணை, பூலியன் சமன்பாடு, லாஜிக் ஆபரேஷன் | டிஜிட்டல் எலக்ட்ரானிக்ஸ் - லாஜிக் கேட்டுகள் (Logic gates) | 12th Physics : UNIT 10a : Semiconductor Electronics
லாஜிக் கேட்டுகள் (Logic gates)
லாஜிக் கேட் என்பது, இலக்க முறை சைகைகளை அடிப்படையாகக்
கொண்டு செயல்படுகின்ற ஒரு எலக்ட்ரானியல் சுற்று ஆகும். பெரும்பாலான இலக்க முறை அமைப்புகளின்
அடிப்படைக் கட்டமைப்புகளாக லாஜிக் கேட்டுகள் கருதப்படுகின்றன. அவை ஒரு வெளியீடு மற்றும்
ஒன்று அல்லது அதற்கு மேற்பட்ட உள்ளீடுகளையும் கொண்டவை. மூன்று வகையான அடிப்படை லாஜிக்
கேட்டுகள் உள்ளன; அவை AND, OR மற்றும் NOT ஆகும். பிற லாஜிக் கேட்டுகள் Ex-OR,
NAND மற்றும் NOR ஆகும். இவற்றை அடிப்படை லாஜிக் கேட்டுகளிலிருந்து உருவாக்கலாம்.
இலக்கமுறை எலக்ட்ரானியல், லாஜிக் செயல்பாடுகளைக்
கையாளுகிறது. மாறிகள், லாஜிக் மாறிகள் (logical variables) என அழைக்கப்படுகின்றன. லாஜிக்
கூட்டல் (+) மற்றும் லாஜிக் பெருக்கல் (.) போன்ற செயலிகள் லாஜிக் செயலிகள்
(logical operators) எனப்படும். லாஜிக் செயலிகள் (+, -) ஆனது லாஜிக் மாறிகள் (A,
B) மீது செயல்பட்டால், அது லாஜிக் மாறிலி (Y) ஐ தருகிறது. இந்தச் செயல்பாட்டைக் குறிக்கும்
சமன்பாடு லாஜிக் கூற்று (logical statement) எனப்படும்.
உதாரணமாக,
லாஜிக் செயலி : +
லாஜிக் மாறிகள்: A, B
லாஜிக் மாறிலி : Y
லாஜிக் கூற்று : Y = A + B
உள்ளீடுகளின் சாத்தியமான சேர்க்கைகள் மற்றும்
அதற்கேற்ற வெளியீடு ஆகியவை அட்டவணை வடிவில் கொடுக்கப்படுகின்றன. இந்த அட்டவணை, உண்மை
அட்டவணை எனப்படும். லாஜிக் கூட்டல், பெருக்கல், புரட்டுதல் போன்ற அடிப்படை லாஜிக் செயல்பாடுகளை
செயல்படுத்தும் சுற்றுகள் கீழே விவாதிக்கப்பட்டுள்ளன.
AND கேட்
சுற்றுக் குறியீடு:

(ஆ) படம் 9.41 (அ) இரு உள்ளீ டு AND கேட்
(ஆ) உண்மை அட்டவணை
இரு உள்ளீடுகள் கொண்ட ஒரு AND கேட்டின் சுற்றுக்
குறியீடு படம் 9.41 (அ) இல் காட்டப்பட்டுள்ளது. A மற்றும் B ஆகியவை உள்ளீடுகள் மற்றும்
Y வெளியீடு ஆகும். இது ஒரு லாஜிக் கேட். எனவே A, B மற்றும் Y ஆகியவை 1 அல்லது 0 என்ற
மதிப்பைக் கொண்டிருக்கலாம்.
பூலியன் சமன்பாடு
Y = A B
இது லாஜிக் பெருக்கலை மேற்கொள்கிறது மற்றும்
அது எண்கணித பெருக்கலில் இருந்து மாறுபட்டது.
லாஜிக் செயல்பாடு
அனைத்து உள்ளீடுகளும் உயர்வு நிலையில் (1)
இருந்தால் மட்டுமே, AND கேட்டின் வெளியீடு உயர்வு நிலையில் (1) இருக்கும். பிற நேர்வுகளில்
வெளியீடு தாழ்வு நிலையில் இருக்கும். அது உண்மை அட்டவணையில் காட்டப்பட்டுள்ளது (படம்
9.41 (ஆ ))
OR கேட்
சுற்றுக் குறியீடு
இரு உள்ளீடுகள் கொண்ட ஒரு OR கேட்டின் சுற்றுக்குறியீடு
படம் 9.42 (அ ) இல் காட்டப்பட்டுள்ளது. A மற்றும் B ஆகியவை உள்ளீடுகள் மற்றும் Y வெளியீடு
ஆகும்.

(ஆ) படம் 9.42 (அ) இரு உள்ளீ டு OR கேட் (ஆ)
உண்மை அட்டவணை
பூலியன் சமன்பாடு
Y = A + B
இது லாஜிக் கூட்டலை மேற்கொள்கிறது மற்றும்
அது எண்கணித கூட்டலில் இருந்து மாறுபட்டது.
லாஜிக் செயல்பாடு
உள்ளீடுகளில் ஏதேனும் ஒன்று அல்லது இரண்டுமே
உயர்வு நிலையில் இருந்தால், OR கேட்டின் வெளியீடு உயர்வு நிலையில் (லாஜிக் நிலை 1)
இருக்கும். OR கேட்டின் உண்மை அட்டவணை படம் 9.42 (ஆ) இல் காட்டப்பட்டுள்ளது.
NOT கேட்
சுற்றுக் குறுயீடு
NOT கேட்டின் சுற்றுக் குறியீடு படம் 9.43
(அ) இல் காட்டப்பட்டுள்ளது. A ஆனது உள்ளீடு மற்றும் Y வெளியீடு ஆகும்.

(ஆ) படம் 9.43 (அ) NOT கேட் (ஆ) உண்மை அட்டவணை
பூலியன்
சமன்பாடு
Y = A + B
லாஜிக்
செயல்பாடு
வெளியீடானது உள்ளீட்டின் நிரப்பி ஆகும். இது
ஒரு மேற்கோட்டால் குறிப்பிடப்படுகிறது. இது புரட்டி (inverter) என்றும் அழைக்கப்படுகிறது.
உள்ளீடு A ஆனது 0 எனில், வெளியீடு Y ஆனது 1. அதாவது மறுதலையாக இருப்பதை உண்மை அட்டவணை
உணர்த்துகிறது. NOT கேட்டின் உண்மை அட்டவணை படம் 9.43 (ஆ) இல் காட்டப்பட்டுள்ளது.
NAND
கேட்
சுற்றுக் குறுயீடு
NAND கேட்டின் சுற்றுக் குறியீடு படம் 9.44
(அ) இல் காட்டப்பட்டுள்ளது. A மற்றும் B ஆனது உள்ளீடுகள் மற்றும் Y வெளியீடு ஆகும்.

(ஆ) படம் 9.44 (அ) இரு உள்ளீ டு NAND கேட்
(ஆ) உண்மை அட்டவணை
பூலியன் சமன்பாடு

லாஜிக் செயல்பாடு
வெளியீடு Y ஆனது AND செயல்பாட்டின் நிரப்பியாக
உள்ளது. சுற்றானது ஒரு AND கேட் மற்றும் அதனைத் தொடர்ந்து ஒரு NOT கேட்டைக் கொண்டுள்ளது.
எனவே அது NAND என குறிப்பிடப்படுகிறது. அனைத்து உள்ளீடுகளும் உயர்நிலையில் இருந்தால்
மட்டுமே, வெளியீடு லாஜிக் நிலை 0 வில் இருக்கும். பிற நேர்வுகளில் வெளியீடு உயர்வு
நிலையில் (லாஜிக் நிலை 1) இருக்கும். NAND கேட்டின் உண்மை அட்டவணை படம் 9.44 (ஆ) இல்
காட்டப்பட்டுள்ளது.
NOR கேட்
சுற்றுக் குறியீடு
NOR கேட்டின்
சுற்றுக் குறியீடு படம்
9.45 (அ) இல் காட்டப்பட்டுள்ளது. A மற்றும் B ஆனது உள்ளீடுகள் மற்றும் Y வெளியீடு ஆகும்.

படம் 9.45 (அ) NOR கேட் (ஆ) உண்மை அட்டவணை
பூலியன் சமன்பாடு

லாஜிக் செயல்பாடு
Y ஆனது OR செயல்பாட்டின் நிரப்பி (A OR B)
ஆகும். சுற்றானது ஒரு OR கேட் மற்றும் அதனைத் தொடர்ந்து ஒரு NOT கேட்டைக் கொண்டுள்ளது.
இது NOR எனக் குறிப்பிடப்படுகிறது. அனைத்து உள்ளீடுகளும் தாழ்வு நிலையில் இருந்தால்,
வெளியீடு உயர்வு நிலையில் உள்ளது. உள்ளீடுகளின் பிற சேர்க்கைகளுக்கு , வெளியீடு தாழ்வு
நிலையில் உள்ளது. NOR கேட்டின் உண்மை அட்டவணை காட்டப்பட்டுள்ளது.
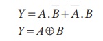
EX-OR
கேட்
சுற்றுக் குறியீடு
EX-OR கேட்டின் சுற்றுக் குறியீடு படம்,
9.46 (அ) இல் காட்டப்பட்டுள்ளது A மற்றும் B ஆனவை உள்ளீடுகள் மற்றும் Y வெளியீடு ஆகும்.
EX-OR செயல்பாடு
என குறிக்கப்படுகிறது.
பூலியன் சமன்பாடு

லாஜிக் செயல்பாடு

படம் 9.46 (அ) EX-OR கேட் (ஆ ) உண்மை அட்டவணை
இரு உள்ளீடுகளில் ஏதேனும் ஒன்று உயர்வு நிலையில்
இருந்தால், வெளியீடு உயர்வு நிலையில் உள்ளது. இரு உள்ளீடுகளுக்கு மேல் கொண்ட EX-OR
கேட்டில் ஒற்றைப்படை எண்ணிக்கையிலான உள்ளீடுகள் உயர்வு நிலையில் உள்ள போது, வெளியீடு
உயர்வு நிலையில் இருக்கும். EX - OR கேட்டின் உண்மை அட்டவணை படம் 9.46 (ஆ) காட்டப்பட்டுள்ளது
எடுத்துக்காட்டு
9.10
கீழ்க்காணும் சுற்றில் A, B மற்றும் C ஆகிய
மூன்று உள்ளீடுகள் அனைத்தும் முதலில் 0 மற்றும் பிறகு 1 என இருந்தால், வெளியீடு Y என்ன?


எடுத்துக்காட்டு
9.11
கீழ்க்காணும் லாஜிக் கேட்களின் சேர்க்கையில்,
உள்ளீடுகள் A மற்றும் B ஐக் கொண்டு வெளியீடு Y - யிற்கான பூலியன் சமன்பாட்டை எழுதுக?
