வரையறை, தேற்றம், நிரூபணம், எடுத்துக்காட்டு கணக்குகள் - ஒரு கோடும் ஒரு தளமும் சந்திக்கும் புள்ளி (Meeting Point of a Line and a Plane) | 12th Maths : UNIT 6 : Applications of Vector Algebra
ஒரு கோடும் ஒரு தளமும் சந்திக்கும் புள்ளி (Meeting Point of a Line and a Plane)
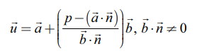
தேற்றம் 6.23
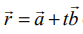
என்ற கோடும்
என்ற தளமும் சந்திக்கும் புள்ளியின் நிலைவெக்டர் 
நிரூபணம்
கொடுக்கப்பட்ட
என்ற தளத்திற்கு இணையாக இல்லாத கொடுக்கப்பட்ட கோட்டின் சமன்பாடு
என்க. ஆகவே,
தளத்தை நேர்க்கோடு சந்திக்கும் புள்ளியின் நிலைவெக்டர்
என்க. எனவே, t−ன் ஒரு சில மதிப்புகளுக்கு, அதாவது t1 என்ற மதிப்புக்கு
என்ற கோட்டின் சமன்பாடு மற்றும்
என்ற தளத்தின் சமன்பாடு இரண்டையும் நிறைவு செய்யும். ஆதலால்,

சமன்பாடு (1)−ஐ (2)−ல்பிரதியிட, நாம் பெறுவது

சமன்பாடு (3)−ஐ (1)−ல் பிரதியிட, நாம்பெறுவது


எடுத்துக்காட்டு 6.56
என்ற கோடு x−y+z−5=0 என்ற தளத்தை சந்திக்கும் புள்ளியின் ஆய அச்சுத் தூரங்களைக் காண்க.
தீர்வு

அதாவது, கொடுக்கப்பட்ட நேர்க்கோடு தளத்தை சந்திக்கும் புள்ளி (2,−1,2) ஆகும்.
மாற்று முறை
கொடுக்கப்பட்ட நேர்க்கோட்டின் கார்மசியன் சமன்பாடு (x−2)/3 = (y+1)/4 = (z−2)/2 = t (என்க)
இக்கோட்டின் மீதுள்ள ஏதேனும் ஒரு புள்ளியின் அமைப்பு (3t+2,4t−1,2t+2) ஆகும். கொடுக்கப்பட்ட கோடும் தளமும் வெட்டிக்கொள்ளும் எனில், இப்புள்ளி x−y+z−5=0 என்ற தளத்தின் மீது அமையும்.
ஆதலால், (3t+2)−(4t−1)+(2t+2)−5=0=t=0. எனவே, கொடுக்கப்பட்ட கோடு. கொடுக்கப்பட்ட தளத்தை (2,−1,2) என்ற புள்ளியில் சந்திக்கிறது.