பாய்ஸன் சமன்பாடு (Poiseuille's equation)
ப்வாய்சொய் ஒரு நுண்குழாய் வழியே திரவத்தின் சீரான ஓட்டத்தை பகுப்பாய்வு செய்தார். அவர் நுண்குழாய் வழியாக ஒரு நொடியில் பாயும் திரவத்தின் பருமனுக்கான சமன்பாட்டைத் தருவித்தார்.
அவரது கருத்தின்படி சமன்பாட்டைத் தருவிக்க கீழ்க்காணும் நிபந்தனைகளைக் கருத்தில் கொள்ள வேண்டும்.
• குழாயின் வழியே திரவத்தின் ஓட்டம் வரிச்சீர் ஓட்டமாக இருக்க வேண்டும்.
• குழாய் கிடைமட்டமாக புவிஈர்ப்புவிசை நீர்ம ஓட்டத்தைப் பாதிக்காதவாறு இருக்க வேண்டும்.
• குழாயின் சுவரைத் தொடும் நீர்ம ஏடு ஓய்வில் இருக்க வேண்டும்.
• குழாயின் எந்த குறுக்குப்பரப்பிலும் அழுத்தம் சீராக இருக்க வேண்டும்.
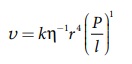
பரிமாணப்பகுப்பாய்வை பயன்படுத்தி நாம் ப்வாய் சொய் சமன்பாட்டைத் தருவிக்கலாம். கிடைமட்டமாக உள்ள நுண் குழாயின் வழியே ஒரு திரவம் சீராக பாய்வதாகக் கருதுக. நுண் குழாயிலிருந்து ஒரு நொடியில் வெளியேறும் திரவத்தின் பருமன் v=(V/t) எனக் கொள்க. அது (அ) திரவத்தின் பாகியல் எண் (η) (ஆ) குழாயின் ஆரம் (r) மற்றும் (இ) அழுத்தச்சரிவு (P/l) ஆகியவற்றைச் சார்ந்தது.
இங்கு k என்பது ஒரு பரிமாணமற்ற மாறிலி.
எனவே

எனவே M, L, மற்றும் T இன் அடுக்குகளை இருபுறமும் சமப்படுத்த
a + c = 0, −a + b −2c =3, மற்றும் −a −2c = −1
a, b, மற்றும் c ஆகிய தெரியாத மதிப்புகள் உள்ளன. மூன்று சமன்பாடுகளைத் தீர்வு காண நாம் பெறுவது
a = −1, b = 4, மற்றும் c = 1 எனவே சமன்பாடு (7.24) ஆனது,

சோதனை மூலம் K – இன் மதிப்பு π / 8 , என காணப்பட்டது. எனவே,

மேற்கண்ட சமன்பாடு குறுகிய குழாய் அல்லது நுண்குழாய் வழியே செல்லும் நீர்ம ஓட்டத்திற்கே பொருந்தும். இச்சமன்பாடு ப்வாய்சொய் சமன்பாடு எனப்படும். இந்த தொடர்பானது மாறுநிலைத் திசைவேகத்தை (vc) விட குறைவான திசைவேகம் கொண்ட பாய்மங்களுக்கு நன்கு பொருந்துகின்றது.