மின்காந்த அலைகள்
மின்காந்த அலைகள் என்பவை இயந்திர அலைகளிலிருந்து மாறுபட்ட வெற்றிடத்தில் ஒளியின் வேகத்திற்குச் சமமான வேகத்தில் செல்லும் அலைகளாகும். இது ஒரு குறுக்கலையாகும். இப்பகுதியில் நாம் மின்காந்த அலைகளின் உருவாக்கம், அவற்றின் பண்புகள், மின்காந்த அலைகளின் மூலங்கள் மற்றும் மின்காந்த அலைகளின் வகைப்பாட்டினைப்பற்றி கற்கலாம்.
மேக்ஸ்வெல்லின் கணிப்பு, ஆராய்ச்சி பூர்வமாக 1888 இல் ஹென்ரிக்
ருடால்ப் ஹெர்ட்ஸ் என்பாரால் நிரூபிக்கப்பட்டது. ஆய்வு அமைப்பு படம் 5.7 (ஆ)வில் காட்டப்பட்டுள்ளது.

இக்கருவியில் சிறிய உலோக கோளங்களால் செய்யப்பட்ட இரண்டு உலோக
மின்வாய்கள் அமைக்கப் பட்டுள்ளன. இவை பெரிய கோளங்களுடன் இணைக்கப்பட்டுள்ளன. மின்வாய்களின்
மறுமுனைகள் மிக அதிக சுற்றுகளையுடைய தூண்டு சுருளுடன் இணைக்கப்பட்டுள்ளன. இவ்வமைப்பு
மிக அதிக மின்னியக்கு விசையை (emf) உருவாக்கும்.
கம்பிச்சுருள் மிக உயர்ந்த
மின்னழுத்தத்தைப் பெற்றுள்ளதால் மின்வாய்களுக்கு இடையே உள்ள காற்று அயனியாகி தீப்பொறி
ஏற்படுகின்றது (மின்னிறக்கத்தால் தீப்பொறி ஏற்படுகின்றது). மின்வாய்களுக்கிடையே உள்ள
சிறிய இடைவெளியிலும் தீப்பொறி ஏற்படுகிறது (மின்வாய் முழுவதும் மூடப்படாமல் வளைய வடிவில்
சிறிய இடைவெளியுடன் காணப்படுகின்றன). மின்வாயிலிருந்து ஆற்றல் ஏற்கும் முனைக்கு (வளைய
மின்வாய்க்கு) ஆற்றல் அலை வடிவில் கடத்தப்படுகின்றது. இந்த அலையே மின்காந்த அலையாகும்.
ஏற்கும் முனையை 90° சுழற்றினால் ஏற்கும் முனை தீப்பொறி எதையும் பெறாது. இது மேக்ஸ்வெல் கணிப்புப்படி மின்காந்த அலைகள் குறுக்கலைகள்தான் என்பதை உறுதிப்படுத்துகிறது. ஹெர்ட்ஸ் இந்த ஆய்விலிருந்து ரேடியோ அலைகளை உருவாக்கினார். மேலும் இவை ஒளியின் வேகத்திற்கு சமமான வேகத்தில் (3 x 108ms-1) செல்வதை உறுதிப்படுத்தினார்.
மின்காந்த அலைகளின் பண்புகள்
1. முடுக்கிவிடப்பட்ட மின்துகள்கள் (acceleratedcharges) மின்காந்த
அலைகளை உருவாக்குகின்றன.
2. மின்காந்த அலைகள் பரவுவதற்கு எவ்விதமான ஊடகமும் தேவையில்லை.
எனவே, மின்காந்த அலை இயந்திர அலையல்ல.

3. மின்காந்த அலைகள் குறுக்கலைப் பண்புடையவை. அதாவது அலைவுறும்
மின்புல வெக்டர், அலைவுறும் காந்தப்புல வெக்டர் மற்றும் பரவு வெக்டர் (அலை பரவும் திசையைக்
கொடுக்கும் வெக்டர்) ஆகிய மூன்று வெக்டர்களும் ஒன்றுக்கொன்று செங்குத்து என்பதை இது
காட்டுகிறது. மின்புலம் மற்றும் காந்தப்புலம் இரண்டும் படம் (5.8)ல் காட்டப்பட்டுள்ள
திசையில் இருந்தால் மின்காந்த அலை X திசையில் பரவும்.
4. வெற்றிடத்தில் ஒளி செல்லும் வேகத்திற்கு சமமான வேகத்தில்
மின்காந்த அலைகள்செல்கின்றன.
இங்குε0 என்பது
வெற்றிடத்தின் விடுதிறன்μ0 என்பது
வெற்றிடத்தின் உட்புகுதிறன் ஆகும். (விடுதிறன் பற்றி அறிய அலகு 1 மற்றும் உட்புகுதிறன்
பற்றி அறிய அலகு 3 ஐப்பார்க்கவும்)
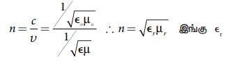
5. வெற்றிடத்தில் மின்காந்த அலையின்வேகத்தைவிட, விடுதிறன்ε மற்றும்
உட்புகுதிறன் μகொண்ட ஊடகத்தில் மின்காந்த அலையின் வேகம் குறைவாகும்.
அதாவது v<c; μ ஒளிவிலகல் எண் கொண்ட ஊடகத்தில்
இங்குεrஎன்பது
ஊடகத்தின் ஒப்புமை விடுதிறன் (இதனை மின்காப்பு மாறிலி என்றும் அழைக்கலாம்). மேலும்
μrஎன்பது
ஊடகத்தின் ஒப்புமை உட்புகுதிறனாகும்.
6. மின்காந்த அலைகள் மின்புலம் மற்றும் காந்தப்புலத்தால் விலகல்
அடையாது.
7. மின்காந்த அலைகள் குறுக்கீட்டு விளைவு, விளிம்பு விளைவு ஆகியவற்றை
ஏற்படுத்தும். மேலும் இவை தளவிளைவிற்கும் உட்படும்.
8. பிற அலைகளைப் போன்றே மின்காந்த அலைகளுக்கும் ஆற்றல், நேர்க்கோட்டு
உந்தம் மற்றும் கோண உந்தம் ஆகியவை உள்ளன.
உங்களுக்குத் தெரியுமா?
•
துகள்களைப் போன்றே மின்காந்த அலைகளுக்கும் நேர்க்கோட்டு உந்தம் மற்றும் கோண உந்தம்
ஆகிய பண்புகள் உள்ளன என்பது ஒரு வியப்பளிக்கும் இயல்பாகும். ஒளியியல் கிடுக்கிகளின்
(optical tweezers)கண்டுபிடிப்பு மற்றும் உயர் செறிவு ஒளித் துடிப்புகளின் உருவாக்கம்
ஆகியவற்றிற்காக 2018 ஆம் ஆண்டு நோபெல் பரிசு வழங்கப்பட்டது.
•
நுண்துகள்கள் மற்றும் மூலக்கூறுகள் ஆகியவற்றை ஓரிடத்திலிருந்து மற்றொரு இடத்திற்கு
நகர்த்தப் பயன்படும் ஒரு கருவியே ஒளியியல் கிடுக்கி ஆகும். மருத்துவத் துறையில் இதற்கு
பல பயன்பாடுகள் உள்ளன. உடலில் உள்ள திசுக்களிலிருந்து (normal tissues) பாக்டீரியா
மற்றும் வைரசுகளைப் பிரித்தெடுக்கவும் புற்றுநோய் செல்களிலிருந்து நல்ல நிலையிலுள்ள
செல்களை மட்டும் தனியே பிரித்தெடுக்கவும் இவை பயன்படுகின்றன. மின்காந்த அலைகளின் நேர்க்கோட்டு
உந்த பண்பைப் பயன்படுத்தியே ஒளியியல் கிடுக்கிகள் செயல்படுகின்றன.
•
அதிகளவிலான நேர்க்கோட்டு உந்தத்தை சூரிய ஒளி அளிப்பதால் ஒரு வால் விண்மீனின் பருப்பொருள்
நிறை பின்னோக்கி தள்ளப்படுவதால் தான் அதற்கு வால் போன்ற அமைப்பு உருவாகின்றது.
•
மின்காந்த அலைகளின் கோண உந்த பண்பை எளிதில் புரிந்து கொள்ளலாம். எதிரெதிர் மின்னூட்டம்
தாங்கிய, ஓரச்சில் அமைந்த இரு உள்ளீடற்ற உருளைகளுக்கு இடையில் வரிச்சுருள் ஒன்று வைக்கப்பட்டுள்ள
அமைப்பு ஒன்றைக் கருதுக அவ்வுருளைகளில் பாய்ந்து கொண்டிருக்கும் மாறுதிசை மின்னோட்டம்
திடீரென நிறுத்தப்பட்டால், உள் உருளையும் வெளி உருளையும் எதிரெதிர் திசையில் சுழல ஆரம்பிக்கும்.
மாறுதிசை மின்னோட்டத்தினால் உருவாகும் மின்காந்தப் புலத்தின் கோண உந்தம் இவ்வுருளைகளுக்கு
அளிக்கப்படுவதனாலேயே அவை சுழல்கின்றன.
எடுத்துக்காட்டு
5.2
ஊடகம் ஒன்றின் ஒப்புமை காந்த உட்புகுதிறன் 2.5 மற்றும் ஒப்புமை
மின் விடுதிறன் 2.25 எனில் அவ்ஊடகத்தின் ஒளிவிலகல் எண்ணைக் காண்க.
தீர்வு
ஊடகத்தின் மின்காப்பு மாறிலி (ஒப்புமை விடுதிறன்) εr =
2.25
காந்த உட்புகுதிறன் μr=
2.5
ஊடகத்தின் ஒளிவிலகல் எண்,
