நேர்மாறு முக்கோணவியல் சார்புகளின் பண்புகள் (Properties of Inverse Trigonometric Functions)
இப்பாடப்பகுதியில் நேர்மாறு முக்கோணவியல் சார்புகளின் சிலப் பண்புகளைப் பற்றி ஆராய்வோம். இங்கு குறிப்பிடப்படும் பண்புகள் தொடர்புடைய நேர்மாறு முக்கோணவியல் சார்புகள் அவற்றின் முதன்மை மதிப்புகள் உள்ள இடைவெளிகளில் எங்கு வரையறுக்கப்பட்டுள்ளதோ, அவ்விடத்தில் பொருந்தும்.
பண்பு−I
(i) θ ∈ [−π/2, π/2] எனில், sin−1 (sin θ) = θ
(ii) θ ∈ [0, π] எனில், cos−1 (cos θ) = θ
(iii) θ ∈ (−π/2, π/2) எனில், tan−1 (tan θ) = θ
(iv) θ ∈ [−π/2, π/2] \ {0} எனில், cosec−1 (cosec θ) = θ
(v) θ ∈ [0, π] \ { π/2} எனில், sec−1 (sec θ) = θ
(vi) θ ∈ (0, π) எனில், cot−1 (cot θ) = θ
நிரூபணம்
மேற்கண்ட அனைத்து முடிவுகளும் அவைகளுக்குரிய நேர்மாறு சார்புகளின் வரையறைகளிலிருந்து கிடைக்கப் பெறலாம்.
எடுத்துகாட்டிற்கு, (i) sin θ = x; θ ∈ [−π/2, π/2] என்க.
எனவே நேர்மாறு சைன் சார்பின் வரையறையிலிருந்து, sin θ = x மூலம் θ = sin−1 x எனப் பெறலாம். எனவே, sin−1 (sin θ) = θ.
பண்பு−II
(i) x ∈ [−1,1] எனில், sin(sin−1 x) = x
(ii) x ∈ [−1,1] எனில், cos(cos−1 x) = x
(iii) x ∈ ℝ எனில், tan(tan−1 x) = x
(iv) x∈ ℝ \(−1,1) எனில், cosec(cosec−1 x) = x
(v) x ∈ ℝ \(−1,1) எனில், sec(sec−1 x) = x
(vi) x ∈ ℝ எனில், cot(cot−1 x) = x
நிரூபணம்
(i) x ∈ [−1,1] எனும்போது, sin−1 x நன்கு வரையறுக்கப்பட்டுள்ளது.
sin−1 x = θ என்க. எனவே, வரையறைப்படி θ ∈ [−π/2, π/2] மற்றும் sin θ = x ஆகும்.
எனவே, sin θ = x என்பதிலிருந்து sin(sin−1 x) = x எனப் பெறலாம்.
இதேபோன்று மற்ற முடிவுகளையும் நிரூபிக்கலாம்.
குறிப்பு
(i) முக்கோணவியல்சார்பு y = f(x), −க்கு, f−ன் வீச்சிலுள்ள அனைத்து x−க்கும் f(f−1 (x)) = x ஆகும். f−1 (x)−ன் வரையறையிலிருந்து இதனைப் பெறலாம். f(g−1(x)) எனும்போது, இங்கு g−1(x) = sin−1x அல்லது cos−1x அத்தகைய கணக்கை தீர்க்க, நேர்மாறு முக்கோணவியல் சார்பினை வரையறுக்கும் முக்கோணம் ஒன்றை வரைவது அவசியமாகிறது. உதாரணத்திற்கு cot(sin−1x) −ன் மதிப்பைக் காண முக்கோணம் ஒன்றை, sin−1x −ஐ பயன்படுத்தி வரையவேண்டும். இருப்பினும், f−1 (f(x)) போன்றவற்றைக் கையாளும்போது கவனம் செலுத்த வேண்டியுள்ளது.
(ii) f என்பது ஆறு முக்கோணவியல் சார்புகளில் ஏதேனும் ஒன்று எனில், f−1[f(x)] −ன் மதிப்பைக் காணுதல்.
(அ) x என்பது f −ன் கட்டுபடுத்தப்பட்ட சார்பகத்தில் இருந்தால் f−1[f(x)] = x ஆகும்.
(ஆ) x என்பது f −ன் கட்டுபடுத்தப்பட்ட சார்பகத்தில் இல்லையெனில் f −ன் கட்டுபடுத்தப்பட்ட சார்பகத்தில் f(x) = f(x1) எனுமாறு x1−ஐ கண்டறிய வேண்டும். இனி, f−1[f(x)] = x1.
எடுத்துகாட்டாக,

பண்பு−III (தலைகீழ் நேர்மாறு முற்றொருமைகள்)
(i) x ∈ ℝ \(−1,1) எனில், sin−1(1/x) = cosec−1x
(ii) x ∈ ℝ \(−1, 1) எனில், cos−1(1/x) = secx−1x
(iii) 
நிரூபணம்
(i) x ∈ ℝ \(−1,1) எனில், 1/x ∈ [−1,1] மற்றும் x ≠ 0ஆகும். எனவே, sin−1(1/x) என்பது நன்கு வரையறுக்கப்பட்டது.
sin−1(1/x) = θ என்க. எனவே, வரையறையின்படி θ ∈ [−π/2, π/2]\{0} மற்றும் sin θ = 1/x.
ஆகையால், cosec θ = x என்பதிலிருந்து θ = cosec−1x எனப் பெறப்படுகிறது.
இனி, sin−1(1/x) = θ = cosec−1 x ஆகும். ஆகையால், sin−1(1/x) = cosec−1 x , x ∈ ℝ \(−1,1) ஆகும்.
இதே போன்று மற்ற முடிவுகளையும் நிரூபிக்கலாம்.
பண்பு−IV (பிரதிபலிப்பு முற்றொருமைகள்)
(i) x ∈ [−1, 1] எனில், sin−1(−x) = − sin−1 x.
(ii) x ∈ ℝ எனில், tan−1(−x) = – tan−1x .
(iii) |x| ≥ 1அல்லது x ∈ ℝ \(−1, 1) எனில், cosec−1(−x) = − cosec−1x
(iv) x ∈ [−1, 1] எனில், cos−1(−x) = π – cos−1x .
(v) |x| ≥ 1 அல்லது x ∈ ℝ \(−1, 1) எனில், sec−1(−x) = π – sec−1x .
(vi) x ∈ ℝ எனில், cot−1(−x) = π – cot−1x .
நிரூபணம்
(i) x ∈ [−1, 1] எனில், –x ∈ [−1, 1] ஆகும். ஆகையால், sin−1(−x) என்பது நன்கு வரையறுக்கப்பட்டது
sin−1(−x) = θ என்க. எனவே θ ∈ [−π/2, π/2] மற்றும் sin θ = − x ஆகும்.
எனவே, sin θ = −x −லிருந்து x = −sin θ = sin(−θ) என ஆகும்.
x = sin(−θ) என்பதிலிருந்து, sin−1 x = − θ என ஆகும். இதிலிருந்து θ = −sin−1x ஆகும்.
எனவே, sin−1(−x) = −sin−1x ஆகும்.
(iv) x ∈ [−1, 1] எனில், –x ∈ [−1, 1] என ஆகும். எனவே, cos−1(−x) என்பது நன்கு வரையறுக்கப்பட்டது.
cos−1(−x) = θ என்க. எனவே θ ∈ [0, π] மற்றும் cos θ = −x ஆகும்.
எனவே, cos θ = −x என்பதால் x = −cos θ = cos(π − θ) ஆகும்.
ஆகையால், π − θ = cos−1x என்பதால் θ = π − cos−1x ஆகும்.
எனவே cos−1(−x) = π − cos−1x ஆகும்.
இதே போன்று ஏனைய முடிவுகளையும் நிரூபிக்கலாம்.
குறிப்பு
(i) ஒன்றுக்கொன்று மற்றும் ஒற்றைச் சார்பின் நேர்மாறு சார்பும் ஒற்றைச் சார்பாகும். எடுத்துகாட்டிற்கு, [−π/2, π/2] எனும் கட்டுப்படுத்தப்பட்ட சார்பகத்தில் சைன் சார்பு ஒன்றுக்கொன்று மற்றும் ஒற்றைச் சார்பாக இருப்பதால் y = sin−1x என்பது ஓர் ஒற்றைச் சார்பாகும்.
(ii) இரட்டைச் சார்பின் நேர்மாறு இரட்டைச் சார்பாகுமா? இவ்வினாவினை அர்த்தமற்ற வினா என புறக்கணித்துவிடலாம். ஏனெனில் பூஜ்ஜியத்தைத் தவிர வேறெங்கும் ஓர் இரட்டைச் சார்பு ஒன்றுக்கொன்று ஆக இருக்காது. cos−1x மற்றும் sec−1x ஆகியவை இரட்டைச் சார்பாக இருக்காது என்பதை கவனிக்கவும்.
பண்பு−V (துணை நேர்மாறுச் சார்பு முற்றொருமைகள் )
(i) sin−1x + cos−1 = π/2, x ∈ [−1, 1].
(ii) tan−1x + cot−1x = π/2, x ∈ ℝ .
(iii) cosec−1x + sec−1 x = π/2, x ∈ ℝ \(−1, 1) அல்லது |x| ≥ 1.
நிரூபணம்
(i) இங்கு, x ∈ [−1, 1]. sin−1(x) = θ என்க. எனவே θ ∈ [−π/2, π/2] மற்றும் sin θ = x ஆகும்.
−π/2 ≤ θ ≤ π/2 ⇔ 0 ≤ π/2 – θ ≤ π என்பதைக் கவனிக்க.
எனவே, cos(π/2 – θ) = sin θ = x , என்பதிலிருந்து cos−1 x = π/2 – θ = π/2 – sin−1x எனப் பெறலாம்.
எனவே, cos−1x + sin−1x = π/2 ஆகும்.
(ii) cot−1(x) = θ என்க. எனவே, cot θ = x, 0 < θ < π மற்றும் x ∈ ℝ ஆகும்.
இனி, tan(π/2 – θ) = cot θ = x ஆகும். …………(1)
ஆகையால், x ∈ ℝ −க்கு tan(tan−1 x) = x மற்றும் (1)−லிருந்து tan(tan−1 x) = tan(π/2 – θ) ஆகும்.
எனவே, tan(tan−1x) = tan(π/2 – cot−1x) ஆகும். …………(2)
0 < cot−1x < π −லிருந்து −π/2 < π/2 – cot−1x < π/2 என்பதைக் கவனிக்க
ஆகையால், (2) லிருந்து tan−1x = π/2 – cot−1x எனப் பெறலாம்.
எனவே, tan−1 x + cot−1x = π/2, x ∈ ℝ ஆகும்.
இதே போன்று, (iii) நிரூபிக்கலாம்.
பண்பு VI

நிரூபணம்
(i) A = sin−1x. என்க. எனவே, x = sin A; A ∈ [−π/2, π/2]; |x| ≤ 1 மற்றும் cos A என்பது மிகையெண் மதிப்பாகும். B =sin−1 y. என்க. எனவே, y = sin B ; B ∈ [−π/2, π/2]; |y| ≤ 1 மற்றும் cos B மிகை எண் மதிப்பாகும்.
இனி, cos A = +√[1 − sin2A ] = √[1 − x2] மற்றும் cos B = +√[1− sin2 B] = √[1 − y2] ஆகும்.
எனவே, sin(A + B) = sin A cos B + cos Asin B
= x√[1 − y2] + y√[1−x2], இங்கு |x| ≤ 1; |y| ≤ 1 எனவே, x2 + y2 ≤ 1
ஆகையால், A + B = sin−1(x√[1 − y2] + y√[1 − x2])
ஆகையால், sin−1x + sin−1y = sin−1(x√[1 − y2] + y√[1 − x2]), இங்கு x2 + y2 ≤ 1 அல்லது xy < 0.
இதைப் போலவே ஏனைய முடிவுகளையும் நிரூபிக்கலாம்.
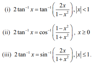
பண்பு−VII

நிரூபணம்
(i) பண்பு−VI (v) −ல், y = x என எடுத்துக்கொண்டால், நமக்கு தேவையான முடிவுகளை பெறலாம்,
2 tan−1 x = tan−1 (2x /[1− x2]), |x| < 1 ஆகும்.
(ii) θ = 2 tan−1x எனவே, tan θ/2 = x.

இதைப் போலவே ஏனைய முடிவுகளும் நிரூபிக்கலாம்.
பண்பு−VIII
(i) |x| ≤ 1/√2 அல்லது –1/√2 ≤ x ≤ 1/√2 எனில்,
= 2 sin−1 x
(ii) 1/√2 ≤ x ≤ 1 எனில்,
= 2 cos−1 x
நிரூபணம்
(i) x = sin θ. எனவே x ≤1
இனி, 2x /√[1− x2] = 2 sin θ cos θ = sin 2θ
ஆகையால், 2θ =
. எனவே,
= 2 sin−1 x.
(ii) x = cos θ.
இனி, 2x /√[1− x2] = 2 cos θ sin θ = sin 2θ
எனவே, 2θ =
. ஆகையால்,
= 2 cos−1 x.
பண்பு−IX

நிரூபணம்
(i) sin−1x = θ என்க. எனவே, sin θ = x, 0 ≤ x ≤1 என்பதால் 0 ≤ θ ≤ π/2 என கிடைக்கிறது.
இனி, cos θ = √[1− x2] அல்லது cos−1√[1− x2] = θ = sin−1x .
எனவே, sin−1x = cos−1√[1− x2] , 0 ≤ x ≤ 1
(ii) −1 ≤ x ≤ 0 என்க. மேலும் sin−1x = θ. எனவே −π/2 ≤ θ < 0
அதனால், sin θ = x மற்றும் cos (−θ) = √[1− x2] (ஏனெனில் cos θ > 0 )
எனவே, cos−1√[1− x2] = −θ = − sin−1x. எனவே sin−1 x = −cos−1 √[1− x2].
இதே போன்று ஏனைய முடிவுகளையும் நிரூபிக்கலாம்.
பண்பு−X
(i) 3 sin−1x = sin−1(3x − 4x3), x = ∈ [−1/2, 1/2].
(ii) 3 cos−1x = cos−1(4x3 − 3x), x = ∈ [1/2, 1].
நிரூபணம்
x = sin θ என்க. ஆகையால், θ = sin−1 x.
இனி, 3x − 4x3 = 3 sin θ − 4 sin3 θ = sin 3 θ
ஆகையால், sin−1(3x − 4x3) = 3θ = 3sin−1 x.
இதே போன்று அடுத்ததாக உள்ள முடிவையும் நிரூபிக்கலாம்.
குறிப்புரை

எடுத்துக்காட்டு 4.16
π/2 ≤ sin−1 x + 2cos−1 x ≤ 3π/2 என நிறுவுக.
தீர்வு
sin−1 x + 2cos−1 x = sin−1 x + cos−1 x + cos−1 x = π/2 + cos−1 x
0 ≤ cos−1 x ≤ π எனவே, π/2 + 0 ≤ cos−1 x + π/2 ≤ π + π/2 .
எனவே, π/2 ≤ sin−1 x + 2cos−1 x ≤ 3π/2 .
எடுத்துக்காட்டு 4.17


எடுத்துக்காட்டு 4.22
cos−1x + cos−1y + cos−1 z = π மற்றும் 0 < x, y, z < 1, எனில்
x2 + y2 + z2 + 2xyz = 1 எனக் காண்பி.
தீர்வு
cos−1x = α மற்றும் cos−1y = β என்க
எனவே, x = cos α மற்றும் y = cos β ஆகும்.
cos−1x + cos−1y + cos−1 z = π என்பதிலிருந்து α + β = π − cos−1 z. ……..(1)
இனி, cos(α + β) = cosα cos β – sin α sin β = xy − √[1− x2] √[1 − y2].
(1)−லிருந்து cos(π − cos−1z) = xy − √[1 − x2] √[1 − y2] எனப் பெறலாம்.
−cos(cos−1 z) = xy − √[1 − x2] √[1−y2].
எனவே, −z = xy − √[1− x2] √[1– у2], என்பதிலிருந்து −xy − z = − √[1 − x2] √[1 − y2]
இருபுறமும் வர்க்கப்படுத்தி சுருக்க x2 + y2 + z2 + 2xyz = 1 எனப் பெறலாம்.
எடுத்துக்காட்டு 4.23
d−ஐ பொது வித்தியாசமாகக் கொண்டு a1, a2, a3, … an ஒரு கூட்டுத் தொடர் எனில்,
என நிறுவு.
தீர்வு

எடுத்துக்காட்டு 4.24
தீர்க்க tan−1 [(1− x)/( 1 + x)] = 1/2 tan−1 x, இங்கு x > 0.
தீர்வு
tan−1 [(1− x)/( 1 + x)] = 1/2 tan−1 x என்பதிலிருந்து tan−11− tan−1 x =1/2 tan−1 x.
எனவே, π/4 = 3/2 tan−1 x என்பதையே சுருக்கி tan−1 x = π/6 எனப் பெறுகிறோம்.
எனவே, x = tan π/6 = 1/√3.
எடுத்துக்காட்டு 4.25
தீர்க்க sin−1 x > cos−1 x
தீர்வு
sin−1 x > cos−1 x எனக் கொடுக்கப்பட்டுள்ளது.
இருபுறமும் sin−1 x, −ஐ கூட்ட
sin−1 x + sin−1 x > cos−1 x + sin−1 x, என்பது சுருங்கி 2sin−1 x > π/2 .
[−π/2, π/2] எனும் இடைவெளியில் சைன் சார்பு மதிப்பு ஏறும் என்பதால், x > sin π/4 அல்லது x > 1/√2 ஆகும்.
ஆகையால் தீர்வு கணமான இடைவெளி (1/√2 , 1] ஆகும்.
எடுத்துக்காட்டு 4.26
cot(sin−1 x) = √[1 − x2] / x , −1 ≤ x ≤ 1 மற்றும் x ≠ 0 எனக் காண்பி.
தீர்வு
sin−1 x = θ . என்க. எனவே, x = sin θ மற்றும் x ≠ 0, θ ∈ [−π/2, 0) ∪ (0, π/2] என கிடைக்க பெறுகிறது,
cos θ ≥ 0 மற்றும் cos θ = √[1−sin2θ] = √[1 − x2].
எனவே, cot(sin−1 x) = cot θ = √[1 − x2] / x , |x| < 1 மற்றும் x ≠ 0.
எடுத்துக்காட்டு 4.27
6x2 < 1 எனில், tan−1 2x + tan−1 3x = π/4 , ஐ தீர்க்க,
தீர்வு
6x2 < 1 எனில், tan−1 2x + tan−1 3x = tan−1[(2x + 3x) / (1 − 6x2)].
tan−1[(5x)/ (1 − 6x2)] = π/4, என்பதால் (5x)/(1 − 6x2) = tan (π/4) = 1
ஆகையால், 1 − 6x2 = 5x, என்பதிலிருந்து 6x2 + 5x − 1= 0
ஆகவே, x = 1/6 , −1
x = −1 என்பது சமன்பாட்டின் இடப்புறம் குறையெண் மதிப்பையும் மற்றும் வலப்புறம் மிகையெண் மதிப்பையும் தருகிறது என்பதை கவனிக்கவும். ஆகையால், x = −1 என்பது தீர்வாகாது. எனவே, x = 1/6 மட்டுமே சமன்பாட்டிற்குத் தீர்வாக அமையும்.
எடுத்துக்காட்டு 4.28
தீர்க்க 
எடுத்துக்காட்டு 4.29
தீர்க்க 
தீர்வு

cot−1 (3/4) = θ. என்க. பின்னர் cot θ = ¾ மற்றும் θ குறுங்கோணம்.
படத்திலிருந்து, நமக்கு கிடைக்கபெறுவது
sin {cot −1 (3/4)} = sin θ = 4/5 ………………..(2)
(1) மற்றும் (2)−ஐ கொடுக்கப்பட்ட சமன்பாட்டில் பயன்படுத்தும்போது
1/√(1 + x2) = 4/5 , என்பதிலிருந்து √[1 + x2 ] = 5/4 எனவே, x = ±3/4.