மெய்யெண்கள் | கணக்கு - விகிதமுறு எண்கள் (Rational Numbers) | 9th Maths : UNIT 2 : Real Numbers
விகிதமுறு எண்கள் (Rational Numbers)
உங்கள் வீட்டு நிலைப்பேழையில் உள்ள நூல்களை எண்ணும்போது 1,2,3.... என எண்ணத் தொடங்குவீர்கள். இந்த 1, 2, 3...... ஆகியன இயல் எண்கள் எனப்படும். அவற்றை எண்கோட்டில் குறிப்பிடுவதைப் பற்றி நீங்கள் முன்பே அறிந்துள்ளீர்கள். (படம். 2.1ஐப் பார்க்க).

இயல் எண்களின் கணத்தை நாம் ℕ என்று குறிப்பிடுவோம். இக்கணமானது
ℕ = {1, 2, 3, ... } என்பதாகும்.
நிலை பேழையில் எந்த நூலும் இல்லை என்பதை வேறு முறையில் இங்குள்ள நூல்களின் எண்ணிக்கை 0 எனக் குறிக்கப்படுகிறது. எனவே, பூச்சியத்தை ஓர் உறுப்பாகக் கொண்ட 0, 1, 2, 3 ... என்ற எண்களை முழு எண்கள் என்கிறோம். இந்தப் புதிய எண் 0 ஐ இயல் எண்ணுடன் சேர்த்து எண் கோட்டைப் பின்வருமாறு அமைக்கலாம்.

முழு எண்களின் கணத்தை நாம் W எனக் குறிப்பிடுவோம்.
W = { 0, 1, 2, 3, ... }
சில செயல்பாடுகள் மேலும், பல வகையான எண்களுக்கு வழிகோலுகிறது. அதாவது மிகை, முன்னோக்கி, மேலே, ஏறுவரிசை மற்றும் அதிகமாகும் என்பவை (+) எனக் குறிக்கப்படும். அதேபோல் குறைவான, பின்னோக்கி, கீழே, இறங்கு வரிசை மற்றும் குறைவாகும் என்பவை (−) என்று குறிக்கப்படும்.
இனி நீங்கள் இயல் எண்களை மிகை எண்களாக எடுத்துக்கொள்ளலாம். அவற்றை மிகை முழுக்கள் என மறு பெயரிடலாம். இதன் மூலம் நீங்கள் குறை எண்கள் −1, −2, −3,... − க்கு வழிவகுத்துள்ளீ ர்கள்.
இங்கு −2 என்பது −1 ஐ விட அதிகக் குறை மதிப்புடையது. எனவே −1 மற்றும் −2 ஆகிய இவற்றுள் −2 சிறியது மற்றும் −1 பெரியது ஆகும் எனில் −2, −1 ஐவிட −3 பெரிய எண்ணா ? அல்லது சிறிய எண்ணா ? என்று சிந்திக்கவும்.
இவ்வேளையில் எண்கோட்டை இவ்வாறு குறிப்பிடலாம்.

முழுக்களின் கணத்தை நாம் ℤ எனக் குறிப்பிடுவோம்.
Z= { .... −3, −2, −1, 0, 1, 2, 3, ... }.
மேற்கண்ட படத்தைப் (படம் 2.2 மற்றும் 2.3) பார்க்கும்போது அடுத்தடுத்துள்ள இரு முழுக்களுக்கிடையே உள்ள இடைவெளி வியப்பிற்குரியது. அந்த இடைவெளியில் ஏதாவது எண்கள் இருக்குமா?
பின்ன எண்களைப் பற்றி முன்பே நீங்கள் அறிந்திருப்பீர்கள். ℤ இன் எண் கோட்டில் எவ்வாறு 1/2 என்ற புள்ளியை நீ குறிப்பாய்?. இது சரியாக 0−க்கும், 1−க்கும் இடையேயுள்ள மையப் புள்ளி ஆகும். இதைப் போலவே நீங்கள் 1/3, 1/4, 1/5, 2(3/4), ... போன்ற புள்ளிகளையும் குறிக்கலாம். இவையெல்லாம் a/b வடிவத்தில் உள்ள பின்னங்கள், இதில் a மற்றும் b முழுக்களாகும். மேலும் b≠0 (ஏன்?) என்ற ஒரு வரம்புடன் இருக்கும். பின்னங்கள் தசம வடிவில் இருந்தாலும் இந்த அமைப்பு மாறாது.
பின்னங்களுக்கும் நீளங்களின் விகிதங்களுக்கும் உள்ள தொடர்பினால் இவ்வெண்கள் விகிதமுறு எண்கள் எனப்படுகின்றன. இச்சூழலுக்கான மாதிரி வரைபடம் (படம் 2.4) பின்வருமாறு:

ஒரு விகிதமுறு எண் என்பது இரு முழுக்களின் பின்ன வடிவத்தின் ஈவு ஆகும். இதைப் பூச்சியத்தால் வகுத்தலை மட்டும் தவிர்க்க வேண்டும்.
ஒரு பின்னத்திற்கு இணையான பல்வேறு சமானப் பின்னங்கள் இருக்குமென்பதால், ஒரு விகிதமுறு எண்ணிற்குப் பல வடிவங்கள் (Forms) இருக்க வாய்ப்புண்டு. எனவே 1/3, 2/6, 8/24 இவை அனைத்தும் ஒரே விகிதமுறு எண்ணையே குறிக்கும்.
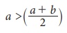
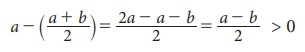
a, b என்பன இரு விகிதமுறு எண்கள் மேலும் a > b என்போம். [a+b]/2 என்பது அதன் சராசரியாகும். இந்தக் கூட்டுச் சராசரி ஒரு விகிதமுறு எண்ணா எனக் காண்போம்.
a = p/q (p, q முழுக்களாகும் மற்றும் q≠0);
b = r/s (r, s முழுக்களாகும் மற்றும் s ≠ 0), எனில்,
இது ஒரு விகிதமுறு எண்.
இது a மற்றும் b−க்கு இடையேயுள்ளது என மெய்ப்பிக்க வேண்டும்.
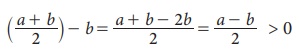
ஏனெனில் a>b.
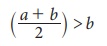
ஆகையால், a > ( a+b/ 2 )
.... (1)
ஏனெனில் a>b.
ஆகையால், ( a+b / 2 ) > b .
…. (2)
(1) மற்றும் (2) இலிருந்து a > ( a+b / 2 ) > b
, எனக் காணலாம்.

எனவே, எந்த இரு விகிதமுறு எண்களுக்கும் அதன் சராசரி அல்லது மையப்புள்ளி ஒரு விகிதமுறு எண்ணாக இருக்கும். இச்செயலைப் பலமுறை தொடர்ந்து செய்தால் இரு எண்களுக்கிடையே எண்ணற்ற விகிதமுறு எண்களை உருவாக்க இயலும். எனவே எந்த இரு விகிதமுறு எண்களுக்கும் இடையே எண்ணற்ற விகிதமுறு எண்கள் அமைந்துள்ளன.
எடுத்துக்காட்டு 2.1
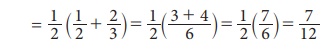
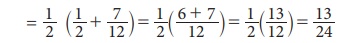
1/2 மற்றும் 2/3 இவற்றிற்கிடையே எவையேனும் இரு விகிதமுறு எண்களைக் காண்க.
தீர்வு 1
1/2 மற்றும் 2/3 இவற்றிற்கிடையே உள்ள ஒரு விகித முறு எண்

1/2 மற்றும் 7/12 இவற்றிற்கிடையே உள்ள ஒரு விகித முறு எண்

எனவே , 1/2 −க்கும் , 2/3 −க்கும் இடையே உள்ள இரண்டு விகிதமுறு எண்கள் 7/12, மற்றும் 13/24 ஆகும். (இதைப்போல் பல எண்கள் உள்ளன)
இரு விகிதமுறு எண்களுக்கிடையேயுள்ள விகிதமுறு எண்ணை உடனடியாகக் காண வாய்ப்பு உள்ளது.
முடிவு

எடுத்துக்காட்டாக 1/2 மற்றும் 2/3 என்ற எண்களுக்கிடையே உள்ள எவையேனும் இரு விகிதமுறு எண்களைக் காண்க.
தீர்வு 2

தீர்வு 3
வேறு ஏதேனும் புதிய முறைகள் இதற்கு உண்டா ? ஆம். தசம எண் வடிவம் உங்களுக்குப் பிடிக்கும் என்றால், மேற்கூறிய எடுத்துக்காட்டை வேறு முறையிலும் தீர்க்க முடியும் என்பதைக் காணலாம்.
1/2 = 0.5 மற்றும் 2/3 = 0.66...
1/2 மற்றும் 2/3 −க்குமிடையே உள்ள விகிதமுறு எண்களை இவ்வாறாகப் பட்டியலிடலாம்.
0.51, 0.57, 0.58, ...
தீர்வு 4
இது போன்ற கணக்குகளைத் தீர்ப்பதற்கு மேலும் ஓர் எளிய வழிமுறையைக் காணலாம். எடுத்துக்காட்டாக, 4/9 மற்றும் 3/5 என்ற எண்களுக்கிடையே நான்கு விகிதமுறு எண்களைக் காண்க., 9 மற்றும் 5 இன் மீ.சி.ம. 45 ஆகும். அதனால், 4/9 = 20/45 மற்றும் 3/5 = 27/45 என எழுதலாம்.
4/9 மற்றும் 3/5 என்ற எண்களுக்கிடையே உள்ள விகிதமுறு எண்கள். 