பருப்பொருளின் பண்புகள் - தகைவு மற்றும் திரிபு | 11th Physics : UNIT 7 : Properties of Matter
தகைவு மற்றும் திரிபு (Stress and strain)
(அ) தகைவு :
ஒரு விசை செலுத்தப்பட்டால் அணுக்கள் அல்லது மூலக்கூறுகளின் சார்பு நிலைகளில் ஏற்படும் மாற்றத்தினால் பொருளின் அளவு அல்லது வடிவம் அல்லது இரண்டும் மாறலாம். இந்த உருக்குலைவை வெறும் கண்ணால் காண இயலாவிட்டாலும் அப்பொருளினுள் உருக்குலைவு இருக்கும். ஒரு பொருள் உருக்குலைவிக்கும் விசைக்கு உட்படுத்தப்பட்டால், மீள்விசை எனப்படும் அகவிசை அதனுள் உருவாகிறது. ஓரலகு பரப்பில் செயல்படும் விசை தகைவு எனப்படும்.

தகைவின் SI அலகு N m-2 அல்லது பாஸ்கல் (Pa) மற்றும் அதன் பரிமாணம் [ML-1'T-2] ஆகும். தகைவு ஒரு டென்சர் (Tensor) ஆகும்.
(i) நீட்சித்தகைவு மற்றும் சறுக்குப்பெயர்ச்சித் தகைவு (Longitudinal stress and shearing stress):

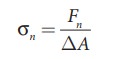
படம் 7.3 இல் காட்டியுள்ளவாறு ஒரு பொருளைக் கருதுவோம். பல விசைகள் அமைப்பில் (பொருளில்) செயல்பட்டால் நிறையின் மையம் (அலகு 5 இல் வரையறுக்கப்பட்டுள்ளது) மாறாமல் இருக்கும். எனினும் இந்த விசைகளால் பொருள் உருக்குலைந்து அதனால் அகவிசைகள் தோன்றுகின்றன. பொருளின் குறுக்குவெட்டுப்பரப்பு ΔA என்க. உருக்குலைவின் காரணமாக ΔA இன் இரு பக்கங்களிலும் உள்ள பொருளின் பகுதி
மற்றும் −
என்ற அகவிசைகளை ஒன்றுக்கொன்று செலுத்துகின்றன. விசையை ΔA பரப்பிற்கு செங்குத்தாக Fn மற்றும் ∆A பரப்பின் தொடுவரை திசையில் Ft என்ற இரு கூறுகளாகப் பகுக்கலாம். பரப்பின் வழியே செங்குத்துத்தகைவு அல்லது நீட்சித்தகைவு (σn) ஆனது

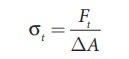
என வரையறுக்கப்படுகிறது. இதுபோன்றே பரப்பின் வழியே தொடுவரை தகைவு அல்லது சறுக்குப்பெயர்ச்சித் தகைவு (σt)

என வரையறுக்கப்படுகிறது.
நீட்சித்தகைவினை இழுவிசைத்தகைவு மற்றும் அமுக்கத்தகைவு என இரு வகையாகப் பிரிக்கலாம்.
(அ) இழுவிசைத்தகைவு (Tensile stress)

∆A இன் இரு பக்கங்களிலும் அகவிசைகள் ஒன்றையொன்று இழுக்கலாம். அதாவது அது சமமான எதிரெதிரான விசைகளால் இழுக்கப்படுகிறது. இந்த நீட்சித்தகைவு இழுவிசைத்தகைவு என அழைக்கப்படுகிறது.
(ஆ) அமுக்கத்தகைவு (Compressive stress)

∆A இன் இரு பக்கங்களிலும் செயல்படும் விசைகள் ஒன்றையொன்று தள்ளினால், அதாவது அதன் இரு முனைகளிலும் சமமான எதிரெதிரான விசைகளால் தள்ளப்படுகிறது என்றால் ∆A அது அமுக்கத்திற்கு உட்படுகிறது. தற்போது நீட்சித்தகைவானது அமுக்கத்தகைவு என அழைக்கப்படுகிறது.
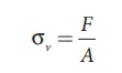
(ii) பருமத் தகைவு (Volume stress)
ஒரு பொருளின் மீது அதன் பரப்பில் உள்ள அனைத்துப் பகுதிகளிலும் பரப்பிற்குக் குத்தாக விசைகள் செயல்பட்டால் மேற்பரப்பில் விசையின் அளவானது பரப்பிற்கு நேர்தகவில் அமைகிறது. உதாரணமாக, ஒரு திண்மப் பொருளானது ஒரு பாய்மத்தில் மூழ்கினால், பொருளின் மீது செயல்படும் அழுத்தம் P எனில் எந்த ஒரு பரப்பு ∆A இல் செயல்படும் விசை
F = P ∆A
இங்கு, F ஆனது பரப்பிற்கு செங்குத்தாக உள்ளது. எனவே, ஓரலகு பரப்பில் செயல்படும் விசை பருமத்தகைவு எனப்படுகிறது

இது அழுத்தத்திற்குச் சமமாகும்.
திரிபு என்பது விசை செயல்படுத்தப்பட்டால் ஒரு பொருள் நீட்டப்படும் அல்லது உருக்குலையும் அளவாகும். பொருளின் அளவில் சிறிய மாற்றம் ஏற்படுவதை திரிபு கையாள்கிறது. அதாவது உருக்குலையும் அளவை திரிபு அளவிடுகிறது. உதாரணமாக, ஒரு பரிமாண நிகழ்வில் L நீளமுள்ள ஒரு கம்பியைக் கருதுக. அது ∆L நீளம் நீட்டப்பட்டால்

இது பரிமாணமற்ற மற்றும் அலகு அற்ற அளவு ஆகும். திரிபானது மூன்று வகைகளாக வகைப்படுத்தப்படுகிறது.
(1) நீட்சித்திரிபு (Longitudinal strain)
L என்ற நீளம் கொண்ட ஒரு கம்பியானது சமமான, எதிரெதிர் திசைகளில் செயல்படும் விசைகளால் இழுக்கப்படும் போது, அதன் நீட்சித்திரிபு

நீட்சித்திரிபு இரு வகைப்படுகிறது.
(i) இழுவிசைத்திரிபு (Tensile strain): இயல்பான அளவிலிருந்து நீளம் அதிகரிக்கப்பட்டால் அது இழுவிசைத்திரிபு எனப்படும்.
(ii) அமுக்கத்திரிபு (Compressive strain): இயல்பான அளவிலிருந்து நீளம் குறைக்கப்பட்டால் அது அமுக்கத்திரிபு எனப்படும்.
(2) சறுக்குப் பெயர்ச்சித்திரிபு (Shearing strain)

படம் 7.6 இல் காட்டியுள்ள வாறு ஒரு கன சதுரத்தைக் கருதுக. பொருளானது இடப்பெயர்ச்சி மற்றும் சுழற்சி சமநிலையில் உள்ளதாகக் கருதுவோம். படம் 7.6 இல் காட்டியுள்ளவாறு கனசதுரம் உருக்குலையுமாறு AD வழியே F என்ற தொடுவியல் விசையை செலுத்துவோம். எனவே சறுக்குப்பெயர்ச்சித்திரிபு அல்லது சறுக்குப்பெயர்ச்சி (εs)

சிறிய கோண மதிப்பிற்கு, tanθ ≈ θ
எனவே சறுக்குப் பெயர்ச்சித் திரிபு அல்லது சறுக்குப்பெயர்ச்சி

(3) பருமத்திரிபு (Volume strain)
ஒரு பொருளானது பருமத்தகைவுக்கு உட்படுத்தப்பட்டால் அதன் பருமன் மாறும். பொருளின் தொடக்க பருமன் தகைவுக்கு முன் V எனவும் தகைவினால் இறுதி பருமன் V + ∆V எனவும் கொள்க. பருமனில் ஏற்படும் சிறிய மாறுபாட்டை அளவிடும் பருமத் திரிபை கீழ்கண்டவாறு குறிப்பிடலாம்

உருக்குலைவிக்கும் விசைகள் நீக்கப்பட்ட பிறகு பொருளானது அதன் தொடக்க அளவு மற்றும் வடிவத்தை மீளப் பெறக்கூடிய தகைவின் பெரும் மதிப்பு மீட்சி எல்லை எனப்படும்.
உருக்குலைவிக்கும் விசை மீட்சி எல்லையைவிட அதிகமானால், பொருளானது நிரந்தர உருக்குலைவை அடையும்.உதாரணமாக, இரப்பர் பட்டை மிக அதிகமாக இழுக்கப்பட்டால் அதன் மீட்சிப்பண்பை இழக்கிறது. அதன் அளவு மாறிவிடுவதால் மீண்டும் பயன்படுத்த தகுதியற்றதாகிறது.