கேள்விகளுக்கான பதில்கள், தீர்வுகள் - பாடச்சுருக்கம் | 12th Maths : UNIT 6 : Applications of Vector Algebra
பாடச்சுருக்கம்
1.
,
,
என்பன கொடுக்கப்பட்ட மூன்றுவெக்டர்கள் எனில், (
×
).
என்பது அவ்வெக்டர்களின் திசையிலி முப்பெருக்கல் எனப்படும். (
×
).
ஒரு திசையிலியாகும்.
2.
,
மற்றும்
என்ற மூன்று வெக்டர்களை ஒரே புள்ளியில் சந்திக்கும் விளிம்புகளாகக் கொண்டு உருவாக்கப்படும் இணைகரத்திண்மத்தின் கன அளவு |(
×
).
|. ஆகும்.
3. பூச்சியமற்ற மூன்று வெக்டர்களின் திசையிலி முப்பெருக்கல் பூச்சியம் என இருந்தால், இருந்தால் மட்டுமே அம்மூன்று வெக்டர்களும் ஒருதள வெக்டர்களாகும்.
4.
,
,
. எனும் ஏதேனும் மூன்று வெக்டர்கள் ஒருதள வெக்டர்களாக தேவையானதும் மற்றும் போதுமானதுமான நிபந்தனை, குறைந்தபட்சம் ஒன்றாவது பூச்சியமற்றதாகவும் மற்றும் r
+ s
+ t
=
. எனுமாறுள்ள r, s, t ∈ ℝ என்ற திசையிலிகளைக் காணமுடியும்.
5.
,
,
மற்றும்
என்பன மூன்று வெக்டர்களைக் கொண்ட ஏதேனும் இரண்டு தொகுப்புகள், மற்றும்
எனில் 
6.
,
,
என்பன ஏதேனும் மூன்று வெக்டர்கள் எனில்,
×(
×
) என்பது இம்மூன்று வெக்டர்களின் வெக்டர் முப்பெருக்கல் என அழைக்கப்படுகிறது.
7.
,
,
என்பன ஏதேனும் மூன்று வெக்டர்கள் எனில்,
×(
×
) = (
.
)
- (
.
)
.
8.
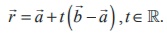
ஐ நிலைவெக்டராகக் கொண்ட நிலைத்த புள்ளி வழிச்செல்வதும் கொடுக்கப்பட்ட வெக்டர்
க்கு இணையாகவும் உள்ள நேர்க்கோட்டின் வெக்டர் சமன்பாடு
=
+ t
இங்கு t ∈ ℝ ஆகும்.
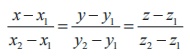
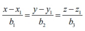
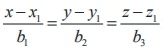
9. (x1,y1,z1) எனும் புள்ளி வழியாகச்செல்வதும் b1, b2, b3 எனும் திசை விகிதங்களைக் கொண்ட வெக்டருக்கு இணையானதுமான நேர்க்கோட்டின் கார்டீசியன் சமன்பாடு
.
10.
எனும் நேர்க்கோட்டின் மீது உள்ள எந்தவொரு புள்ளியும் (x1 +tb1, y1 + tb2, z1 + tb3), t ∈ ℝ என்ற வடிவில் இருக்கும்.
11. கொடுக்கப்பட்ட
மற்றும்
எனும் நிலைவெக்டர்களைக் கொண்ட இருபுள்ளிகள் வழியாகச் செல்லும் நேர்க்கோட்டின் துணையலகு வெக்டர் சமன்பாடு
ஆகும்.
12. (x1,y1,z1) மற்றும் (x2,y2,z2) எனும் இரு புள்ளிகள் வழியாகச் செல்லும் நேர்க்கோட்டின் கார்டீசியன் சமன்பாடு 
13.
=
+ s
மற்றும்
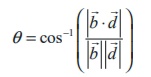
எனும் இரு நேர்க்கோடுகளுக்கு இடைப்பட்ட குறுங்கோணம் θ எனில், 
14. இரு நேர்க்கோடுகள் ஒரே தளத்தில் அமையுமானால், அவை ஒரு தளம் அமையும் கோடுகள் எனப்படும்.
15. புறவெளியில் இணையாக இல்லாமலும் ஒன்றையொன்று வெட்டிக்கொள்ளாமலும் உள்ள இரு கோடுகளை ஒரு தளம் அமையாக் கோடுகள் என அழைக்கிறோம்.
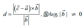
16. ஒரு தளம் அமையா இரு கோடுகளுக்கு இடைப்பட்ட மீச்சிறு தூரமானது அவ்விரு கோடுகளுக்கும் செங்குத்தான கோட்டுத்துண்டின் நீளமாகும்.
17.
எனும் ஒரு தளம் அமையாக் கோடுகளுக்கு இடைப்பட்ட மீச்சிறு தூரம் 
18.
எனும் கோடுகள் ஒன்றையொன்று வெட்டும் கோடுகள் எனில்,
ஆகும்.
19.
எனும் இணைக் கோடுகளுக்கு இடைப்பட்ட மீச்சிறு தூரம் 
20.
ஒன்றையொன்று வெட்டும் எனில்,

21. ஒரு தளத்திற்கு செங்குத்தான நேர்க்கோட்டை அத்தளத்தின் செங்குத்து அல்லது செங்கோடு என்கிறோம்..
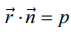
22. ஆதிப்புள்ளியிலிருந்து தளத்திற்கு உள்ள தொலைவு p மற்றும் தளத்திற்குச் செங்குத்தான ஓரலகு வெக்டர்
எனில் தளத்தின் சமன்பாடு
.
= p ஆகும். (செங்கோட்டுவடிவம்)
23. செங்கோட்டு வடிவில் தளத்தின் கார்டீசியன் சமன்பாடு lx+my + nz = p ஆகும்.
24.
எனும் வெக்டரை நிலைவெக்டராகக் கொண்ட புள்ளி வழியாகச் செல்வதும்
க்குச் செங்குத்தாக உள்ளதுமான தளத்தின் வெக்டர் சமன்பாடு (
-
).
= 0. ஆகும்.
25. (x1,y1,z1) எனும் புள்ளி வழியாகச் செல்வதும் a,b,c ஆகியவற்றை திசை விகிதங்களாகக் கொண்ட வெக்டருக்குச் செங்குத்தானதுமான தளத்தின் கார்டீசியன் சமன்பாடு a(x−x1 ) + b (y−y1) +c(z−z1) = 0 ஆகும்.
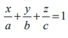
26. x, y, z அச்சுக்களில் முறையே a,b,c எனும் வெட்டுத்துண்டுகளை ஏற்படுத்தும்
.
= q எனும் தளத்தின் வெட்டுத்துண்டு வடிவச் சமன்பாடு
. ஆகும்.
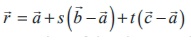
27. ஒரே கோட்டிலமையாத
,
,
எனும் மூன்று வெக்டர்களை நிலை வெக்டர்களாகக் கொண்ட புள்ளிகள் வழியாகச் செல்லும் தளத்தின் துணையலகு வெக்டர் சமன்பாடு
ஆகும்.
28. (x1,y1,z1), (x2, y2,z2), (x3,y3,z3) எனும் ஒரே கோட்டிலமையாத மூன்று புள்ளிகள் வழியாகச் செல்லும் தளத்தின் கார்டீசியன் சமன்பாடு 
29. ஒரு கோட்டின் மீதுள்ள ஒவ்வொரு புள்ளியும் தளத்தின் மீது இருக்கிறது மற்றும் தளத்தின் செங்கோடு நேர்க்கோட்டிற்கு செங்குத்தாக உள்ளது எனில், அந்நேர்க்கோடு தளத்தின் மீது இருக்கும்.
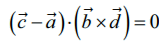
30.
=
+ s
மற்றும்
=
+ t
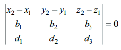
எனும் இணை அல்லாத இரண்டு நேர்க்கோடுகள் ஒரே தளத்தில் அமைவதற்கான நிபந்தனை (
-
).(
×
) = 0 . ஆகும்.
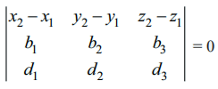
31.
எனும் கோடுகள் ஒரே தளத்தில் அமைவதற்கான நிபந்தனை
ஆகும்.
32.
=
+ t
மற்றும்
=
+ t
எனும் ஒரே தளத்தில் அமையும் இணை அல்லாத இரண்டு நேர்க்கோடுகளை கொண்டுள்ள தளத்தின் துணையலகு வெக்டர் சமன்பாடு 
33.
எனும் தளங்களுக்கு இடைப்பட்ட கோணம் θ எனில்,
ஆகும்.
34.
=
+ t
எனும் கோட்டிற்கும்
எனும் தளத்திற்கும் இடைப்பட்ட குறுங்கோணம் θ எனில்,
ஆகும்.
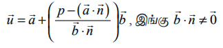
35.
எனும் நிலைவெக்டரைக் கொண்ட புள்ளியிலிருந்து
.
= p எனும் தளத்திற்கு உள்ள செங்குத்துத் தொலைவு
ஆகும்.
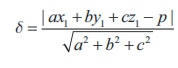
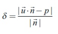
36. (x1,y1,z1) எனும் புள்ளியிலிருந்து ax + by + cz=p எனும் தளத்திற்கு உள்ள செங்குத்துத் தொலைவு
ஆகும்.
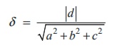
37. ஆதிப்புள்ளியிலிருந்து ax+by+cz+d=0 எனும் தளத்திற்கு உள்ள செங்குத்துத் தொலைவு
ஆகும்.
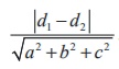
38. ax + by + cz + d1 = 0 மற்றும் ax + by + cz +d2 = 0 எனும் இணையான இருதளங்களுக்கு இடையேயுள்ள தொலைவு
ஆகும்.
39.
எனும் தளங்களின் வெட்டுக்கோடு வழியாகச் செல்லும் தளத்தின் சமன்பாடு
இங்கு λ ∈ ℝ ஆகும்.
40. ax1 + by1 + cz1 = d1 மற்றும் ax2 + by2 + cz2 = d2 எனும் தளங்களின் வெட்டுக்கோடு வழியாகச் செல்லும் தளத்தின் சமன்பாடு (ax1 + by1 + cz1 − d1) + (ax2 + by2 + cz2 − d2) = 0
41.
எனும் தளமும் சந்திக்கும் புள்ளியின் நிலைவெக்டர்
ஆகும்.
42.
எனும் வெக்டரை நிலைவெக்டராகக் கொண்ட புள்ளிக்கு
.
= p எனும் தளத்தில் பிம்பப் புள்ளியின் நிலைவெக்டர்
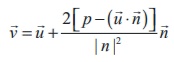
எனில்,
இணையச் செயல்பாடு (ICT CORNER)
https://ggbm.at/vchq92pg அல்லது Scan the QR Code

இணைய உலாவியை திறக்கவும், கொடுக்கப்பட்டுள்ள உரலி/விரைவுக் குறியீட்டை தட்டச்சு செய்யவும். GeoGebra−வின் "12th Standard Mathematics" பக்கம் தோன்றும். இப்பணித்தாள் புத்தகத்தின் இடது பக்கம் உங்கள் பாடநூலுடன் தொடர்புடைய பல அத்தியாயங்கள் காணப்படும். அவற்றில் "Applications of Vector Algebra" எனும் அத்தியாயத்தைத் தேர்வு செய்க. இப்பொழுது இப்பாடம் தொடர்பான பல பணித்தாள்களை இப்பக்கத்தில் காண்பீர்கள். "Scalar Triple Product" பயிற்சித்தாளை தேர்வு செய்க.