வரையறை, வரைபடம், பண்புகள், எடுத்துக்காட்டு கணக்குகள் - தொடுகோட்டுச் சார்பு மற்றும் நேர்மாறு தொடுகோட்டுச் சார்பு (The Tangent Function and the Inverse Tangent Function) | 12th Maths : UNIT 4 : Inverse Trigonometric Functions
தொடுகோட்டுச் சார்பு மற்றும் நேர்மாறு தொடுகோட்டுச் சார்பு (The Tangent Function and the Inverse Tangent Function)
கட்டிடம், மலை அல்லது கொடிகம்பம் போன்றவற்றின் உயரம் அல்லது தூரத்தை கண்டறிவதற்கு y = tan x எனும் தொடுகோட்டுச் சார்பை பயன்படுத்துகிறோம். y = tan x = sinx/cosx −ன் சார்பகத்தில் பகுதியை பூஜ்ஜியமாக்கும் x−ன் மதிப்புகள் நீக்கப்படுகிறது. எனவே x = … , −3π/2 , −π/2 , π/2 , 3π/2 , … ஆகிய மதிப்புகளுக்கு தொடுகோட்டுச் சார்பு வரையறுக்கப்படவில்லை . ஆகையால் y = tan x −ன் சார்பகமானது
ஆகும். அதன் வீச்சகம் (−∞, ∞) ஆகும். y = tan x எனும் தொடுகோட்டுச் சார்பின் காலம் π ஆகும்.
மீள்நிகழ் காலமுறையுள்ள இடைவெளிகளில் சார்பின் மதிப்பை காண்பதற்கு தொடுகோட்டுச் சார்பு பயனுள்ளதாக இருக்கும். தொடுகோட்டுச் சார்பு ஒற்றைச் சார்பாகும். ஆகையால் y = tan x –ன் வளைவரை ஆதியைப் பொறுத்து சமச்சீராக இருக்கும். தொடுகோட்டுச் சார்பின் காலம் π என்பதால் π நீளமுள்ள ஏதேனும் ஒரு இடைவெளியில் y = tan x ன் வரைபடத்தை வரையலாம். [−π/2, π/2] எனும் இடைவெளியைக் கருதுக. x ∈ [−π/2, π/2] எனும்படி y = tan x ன் வளைவரை வரைய கீழ்க்காணும் அட்டவணையை அமைப்போம்.

இப்போது அட்டவணையிலுள்ள புள்ளிகளை வரைபடத்தில் குறித்து, அவைகளை இழைவான வளைவரையில் இணைத்து y = tan x, −π/2 < x < π/2 , ன் வரைபடத்தை வரையலாம். π/2 மதிப்பை x நெருங்கும்போது அதே சமயம் π/2 −ஐ விட குறைவான மதிப்பைப் பெறும்போது sin x மதிப்பு 1 −ஐ நெருங்கும் மற்றும் cos x மிகை எண்மதிப்பாகவும் 0−ஐ நெருங்கியும் இருக்கும். ஆதலால் x, π/2 −ஐ நெருங்கும்போது sinx/cos x எனும் விகிதம் மிகையெண் மதிப்பாகவும் மற்றும் அதன் மதிப்பு அதிகரித்தும் ∞ −ஐ நெருங்குகிறது. எனவே x, π/2 எனும் நேர்க்கோடு வரைபடத்திற்கு செங்குத்து தொலைத் தொடுகோடாக இருக்கும். அதேபோல் x, −π/2 –ஐ நெருங்கும்போது sin x/cos x எனும் விகிதம் குறையெண் மதிப்பாகவும் மற்றும் எண்ணளவு அதிகரித்தும் −∞ −ஐ நெருங்கும். எனவே x = −π/2 எனும் நேர்க்கோடும் வரைபடத்திற்கு செங்குத்து தொலைத் தொடுகோடாக இருக்கும். எனவே, படம் 4.15 ல் காண்பிக்கப்பட்டுள்ளது போல் −π/2 < x < π/2 −க்கு, y = tan x இன் வரைபடத்தின் ஒரு கிளை கிடைக்கும். y = tan x −ன் முதன்மை சார்பகம் [−π/2, π/2] ஆகும்.

x = (2n+1) π/2, n ∈ ℤ மதிப்புகளைத் தவிர ஏனைய மெய்யெண்கள்களுக்கு தொடுகோட்டுச்சார்பு வரையறுக்கப்படுகிறது மற்றும் அதிகரிக்கும் சார்பாக இருக்கிறது. x = (2n+1) π/2, n ∈ ℤ −ல் செங்குத்து தொலைத் தொடுகோடுகள் உள்ளது. x = nπ, n ∈ ℤ −ஐப் பொறுத்து y = tan x ன் கிளைகள் சமச்சீராக உள்ளது. y = tan x ன் முழு வரைபடம் படம் 4.16−இல் காண்பிக்கப்பட்டுள்ளது.

குறிப்பு
வரைபடத்திலிருந்து y = tan x எனும் வளைவரையானது, 0 < x < π/2 −ல் மற்றும் π < x < 3π/2 −ல் மிகையெண் மதிப்பாக இருக்கிறது; π/2 < x < π −ல் மற்றும் 3π/2 < x < 2π −ல் குறையெண் மதிப்பாகவும் இருக்கிறது.
y = tan x ன் வளைவரையிலிருந்து கீழ்க்காணும் தொடுகோட்டுச் சார்பின் பண்புகளை அறியலாம்.
(i) தொடுகோட்டுச் சார்பின் வளைவரை தொடர்ச்சியற்றது.
மேலும் x = (2n + 1) π/2, n ∈ ℤ எனும் புள்ளிகளில் y = tan x தொடர்ச்சியற்றதாக உள்ளது.
(ii) −π/2 < x < π/2 −க்கு y = tanx எனும் வளைவரையின் ஒரு பகுதி ஆதியைப் பொறுத்து சமச்சீராக உள்ளது.
(iii) x = (2n + 1) π/2, n ∈ ℤ ஆகிய இடங்களில், எண்ணற்ற தொலைத் தொடுகோடுகள் உள்ளது.
(iv) தொடுகோட்டுச் சார்பிற்கு மீப்பெருமமோ அல்லது மீச்சிறுமமோ இல்லை.
குறிப்புரை
(i) y = a tan bx −ன் வளைவரை = −π/2|b| < x < π/2|b| எனும் இடைவெளியில் ஒரு முழுமையான சுழற்சியில் பெற்றுள்ளது மற்றும் அதன் காலம் π/|b| ஆகும்.
(ii) y = a tan bx −க்கு தொலைத் தொடுகோடுகள் x = [ π / 2|b| ] + [ π / |b| ] k, k ∈ ℤ ஆகும்.
(iii) தொடுகோட்டுச் சார்பிற்கு மீப்பெருமமோ அல்லது மீச்சிறுமமோ இல்லை என்பதால் tan x க்கான வீச்சு வரையறுக்க முடியாது.
தொடுகோட்டுச் சார்பனது அதன் முழுசார்பகம் ℝ \{ π/2 + kπ , k ∈ ℤ} −ல் ஒன்றுக்கொன்றான சார்பு அல்ல ஆயினும், tan x : [−π/2, π/2] → ℝ என்பது இருபுறச் சார்பு. ℝ −ஐ சார்பகமாகவும் மற்றும் [−π/2, π/2] வீச்சகமாகவும் கொண்டு நேர்மாறு தொடுகோட்டுச் சார்பை வரையறை செய்வோம்.
வரையறை 4.5
எவ்வொரு மெய்யெண் x −க்கும், tan y = x என்றவாறு [−π/2, π/2] −ல் உள்ள தனித்த எண் y ஐ tan–l x என வரையறுக்கப்படுகிறது. அதாவது, நேர்மாறு தொடுகோட்டுச் சார்பு tan–l : (−∞, ∞) → [−π/2, π/2] ஐ tan–l (x) = y என வறையறுக்கத் தேவையானதும் மற்றும் போதுமானதுமான நிபந்தனை tan y = x மற்றும் y ∈ ℤ [−π/2, π/2] ஆகும்.
y = tan–l x வரையறையிலிருந்து பின்வருவனவற்றை அறியலாம்.
(i) y = tan–l x என்பதற்கு தேவையானதும் மற்றும் போதுமானதுமான நிபந்தனை அனைத்து x ∈ ℝ மற்றும் −π/2 ≤ y ≤ π/2 ற்கு x = tan y ஆகும்.
(ii) ஒவ்வொரு மெய்யெண் x−க்கும் tan (tan–lx) = x ஆகும். மேலும் y = tan–lx ஒரு ஒற்றைச் சார்பு ஆகும்.
(iii) tan–l (tan x) = x என இருக்கத் தேவையானதும் மற்றும் போதுமானதுமான நிபந்தனை −π/2 ≤ x ≤ π/2 ஆகும்.
இங்கு tan–l (tan π) = 0 ஆகுமே தவிர π ஆகாது என்பதனைக் கவனிக்கவும்.
குறிப்பு
(i) நேர்மாறு தொடுகோட்டுச் சார்பு பற்றிக் குறிப்பிடும் போதெல்லாம், tan : [−π/2, π/2] → ℝ மற்றும் tan–l : ℝ → [−π/2, π/2] என்பதை நினைவில் கொள்ளவேண்டும்.
(ii) கட்டுப்படுத்தப்பட்ட சார்பகமான [−π/2, π/2] என்பது தொடுகோட்டுச் சார்பின் முதன்மை சார்பகமாகும். y = tan–l x, x ∈ ℝ, எனும் மதிப்புகள் y = tan–l x வின் முதன்மை மதிப்புகளாகும்.
y = tan–l x ன் சார்பு மெய்யெண் கோட்டின் முழுவதுமான (−∞, ∞) −ஐ சார்பகமாகவும் மற்றும் [−π/2, π/2] −ஐ வீச்சகமாகவும் கொண்டுள்ளது. இங்கு −π/2 மற்றும் π/2 ஆகிய இடங்களில் தொடுகோட்டுச் சார்பு வரையறுக்கப்படவில்லை என்பது குறிப்பிடத்தக்கது. எனவே y = tan–l x வரைபடமானது y = −π/2 மற்றும் y = π/2 ஆகிய இரு கோடுகளுக்கிடையே மட்டும்தான் அமையப்பெற்றிருக்கும் மற்றும் அவ்விரு கோடுகளையும் எவ்விடத்திலும் தொடுவதில்லை. மாறாக, y = −π/2 மற்றும் y = π/2 ஆகிய இவ்விரு கோடுகளும் y = tan–l x−க்கு கிடைமட்ட தொலைத் தொடுகோடுகளாக இருக்கின்றன.
படம் 4.17 மற்றும் படம் 4.18 ஆகிய இரு படங்களும் முறையே [−π/2, π/2] எனும் சார்பகத்தைக் கொண்ட y = tan x ன் வரைபடத்தையும் மற்றும் (−∞, ∞) எனும் சார்பகத்தைக் கொண்ட y = tan–l x ன் வரைபடத்தையும் சித்தரிக்கிறது.

குறிப்பு
(i) நேர்மாறு தொடுகோட்டுச் சார்பு திடமாக ஏறும் சார்பு மற்றும் (−∞, ∞) எனும் சார்பகத்தில் தொடர்ச்சியானது.
(ii) y = tan–l x −ன் வரைபடம் ஆதி வழியாகச் செல்கிறது.
(iii) ஆதியைப் பொறுத்து வளைவரை சமச்சீராக இருப்பதால் சார்பு y = tan–l x ஆனது ஒரு ஒற்றைச் சார்பாகும்.
எடுத்துக்காட்டு 4.8
முதன்மை மதிப்பு காண்க: tan–l (√3).
தீர்வு
tan–l (√3) = y என்க. எனவே, tan y = √3. ஆகையால், y = π/3 ஏனெனில் π/3 ∈ [−π/2, π/2] எனவே, tan–l (√3) ன் முதன்மை மதிப்பு π/3 ஆகும்.
எடுத்துக்காட்டு 4.9
மதிப்பு காண்க
(i) tan–l (−√3)
(ii) tan–l[tan(3π/5)]
(iii) tan(tan–l (2019))
தீர்வு
(i) tan–l (−√3) = tan–l[tan(−π/3)] = −π/3 , ஏனெனில் −π/3 ∈ [−π/2, π/2].
(ii) tan–l[tan(3π/5)]
tan θ = tan(3π/5) எனுமாறு θ ∈ [−π/2, π/2]. ஐ நாம் கண்டறிய வேண்டும்.
தொடுகோட்டுச் சார்பின் காலம் π என்பதால், tan(3π/5) = tan(3π/5 −π) = tan(−2π/5)
எனவே, tan–l[tan(3π/5)] = tan–l[tan(−2π/5)] = −2π/5 , ஏனெனில் −2π/5 ∈ [−π/2, π/2].
(iii) tan(tan–l x) = x, x ∈ ℝ என்பதால், tan(tan–l (2019)) = 2019 ஆகும்.
எடுத்துக்காட்டு 4.10
மதிப்பு காண்க tan–l(−1) + cos–l(1/2) + sin–l(−1/2).
தீர்வு
tan–l (−1) = y என்க. எனவே, tan y = −1 = − tan(π/4) = tan(−π/4).
இங்கு −π/4 ∈ [−π/2, π/2] என்பது குறிப்பிடதக்கது. எனவே, tan–l (−1) = −π/4 .
இனி, cos–l (1/2) = y எனில் cos y = 1/2 = cos π/3 .
π/3 ∈ [0, π] என்பதால் cos–l (1/2) = π/3
மேலும், sin–l(−1/2) = y எனில் sin y = −1/2 = sin(−π/6)
−π/6 ∈ [−π/2, π/2] என்பதால் sin–l(−1/2) = −π/6 .
எனவே , tan–l(−1) + cos–l(1/2) + sin–l(−1/2) = −π/4 + π/3 − π/6 = − π/12 .
எடுத்துக்காட்டு 4.11
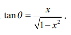
நிரூபி tan(sin–l x) = 
தீர்வு
x = 0 எனில், இருபுறமும் 0 ஆகும்.
0 < x < 1. என்க.
θ = sin–l x என்க. எனவே 0 < θ < π/2 ஆகும். தற்போது sin θ = x /1 என்பதால்,
.
எனவே tan (sin–l x) = 
அடுத்தாக −1 < x < 0 என்க. எனவே, θ = sin–l x என்பதிலிருந்து −π/2 < θ < 0.
sin θ = x /1 என்பதால், tan θ = 
இம்முறையிலும் tan (sin–l x) =
என கிடைக்கின்றது.
சமன்பாடுகள் (1), (2) மற்றும் (3) ஆகியவற்றிலிருந்து tan (sin–l x) =
, −1 < x < 1 என நிறுவப்படுகின்றது.