இரு முனை சந்தி டிரான்சிஸ்டர் (BJT) - டிரான்சிஸ்டர் அலை இயற்றியாகச் செயல்படுதல் | 12th Physics : UNIT 10a : Semiconductor Electronics
டிரான்சிஸ்டர் அலை இயற்றியாகச் செயல்படுதல்
ஓர் எலக்ட்ரானியல் அலை இயற்றி என்பது, dc ஆற்றலை,
குறைந்த அதிர்வெண் (Hz) முதல் மிக அதிக அதிர்வெண் (MHz) வரை
உள்ள ac ஆற்றலாக மாற்றும் சாதனமாகும். எனவே, இது மாறுதிசை மின்னோட்டம் அல்லது மாறுதிசை
மின்னழுத்த மூலமாகும். பெருக்கியைப்போல் அல்லாமல் அலை இயற்றி செயல்பட , புற சைகை மூலம்
(external signal source) ஏதும் தேவைப்படுவதில்லை.
அடிப்படையில், அலை இயற்றிகள் இரு வகைப்படும்.
சைன் வடிவமுள்ள மற்றும் சைன் வடிவமற்ற அலை இயற்றிகள் ஆகும். சைன் வடிவமுள்ள அலை இயற்றியானது
மாறாத வீச்சு மற்றும் அதிர்வெண் கொண்ட சைன் அலைகளை ஏற்படுத்தும். இது படம் 9.37(அ
) இல் காட்டப்பட்டுள்ளது. ஆனால் சைன் வடிவமற்ற அலை இயற்றிகள் சைன் வடிவமற்ற சதுர அலை,
முக்கோண அலை அல்லது ரம்பப்பல் அலை போன்ற அலைகளை உருவாக்கும். இது படம் 9.36(ஆ, இ, ஈ)
இல் காட்டப்பட்டுள்ளது.

படம் 9.37 (அ) சைன் வடிவமுள்ள அலை வடிவம்
(ஆ) சதுர அலை வடிவம் (இ) முக்கோண அலை வடிவம் (ஈ) ரம்பப் பல் அலை வடிவம்
சைன் வடிவமுள்ள அலைவுகள் இரு வகைப்படும். அவை
தடையுறு அலைவுகள் மற்றும் தடையற்ற அலைவுகள். தடையுறு அலைவுகளில் ஆற்றல் இழப்பின் காரணமாகக்
காலத்தைப் பொருத்து மின் அலைவுகளின் வீச்சு குறையும். இது படம் 9.38(அ) இல் காட்டப்பட்டுள்ளது.
தடையற்ற அலைகள் படம் 9.38(ஆ) இல் காட்டப்பட்டுள்ளது.

படம் 9.38 (அ ) தடையுறு அலைகள் (ஆ) தடையற்ற
அலைகள்
டிரான்சிஸ்டர்
அலை இயற்றி
அலை இயற்றிச் சுற்றில் தொட்டிச் சுற்று, பெருக்கி
மற்றும் பின்னூட்டச்சுற்று ஆகியவை படம் 9.39 இல் காட்டியுள்ளவாறு இருக்கும். தொட்டிச்
சுற்றானது மின் அலைவுகளைத் தோற்றுவித்து, டிரான்சிஸ்டர் பெருக்கிக்கு ac உள்ளீடு சைகையை
அளிக்கும் மூலமாகச் செயல்படுகிறது. பெருக்கியானது உள்ளீடு ac சைகையைப் பெருக்குகிறது.
பின்னூட்டச் சுற்றானது வெளியீட்டின் ஒரு பகுதியைத் தொட்டிச் சுற்றுக்கு அளித்து அதன்
மூலம் ஆற்றல் இழப்பின்றித் தடையற்ற அலைவுகளை ஏற்படுத்துகிறது. எனவே, அலை இயற்றிக்குப்
புற உள்ளீடு சைகை தேவைப்படுவதில்லை. வெளியீடானது தாமாகவே தொடர்ச்சியாக அமையும்.
பெருக்கி டிரான்சிஸ்டர்
பெருக்கிச் சுற்று முன்னரே, பகுதி 9.4.5 இல்
விவரிக்கப்பட்டுள்ளது.

படம் 9.39 (அ) அலை இயற்றியின் கட்டப்படம்
(ஆ) தொட்டிச்சுற்று
பின்னூட்ட வலை அமைப்பு
வெளியீட்டின் ஒரு பகுதியை உள்ளீடிற்கு அளிக்கும்
சுற்று பின்னூட்டச் சுற்று எனப்படும். வெளியீட்டின் ஒரு பகுதியைச் சமமான கட்டத்தில்
உள்ளீடுடன் பின்னூட்டம் செய்யும் போது உள்ளீடு சைகையின் எண் மதிப்பு அதிகரிக்கும்.
இதுவே தொடர்ச்சியான அலைவுகளுக்குத் தேவையானது ஆகும். தொட்டிச்சுற்று
LC தொட்டிச் சுற்றில் ஒரு மின் நிலைமமும்,
ஒரு மின்தேக்கியும் படம் 9.39 இல் காட்டியவாறு பக்க இணைப்பில் இணைக்கப்பட்டுள்ளன.
DCமூலத்தின் மூலம் தொட்டிச்சுற்றுக்கு ஆற்றல் அளிக்கும் போது மின் நிலைமம் மற்றும்
மின்தேக்கியில் ஆற்றல் அடுத்தடுத்துச் சேகரிக்கப்படுகிறது. இது குறிப்பிட்ட அதிர்வெண்
கொண்ட மின் அலைவுகளைத் தோற்றுவிக்கிறது. (பார்க்க +2, வகுப்பு இயற்பியல் தொகுதி I பகுதி
4.9.1). ஆனால், நடைமுறை அலை இயற்றிகளில் மின்தடைகள், மின்நிலைமச் சுருள்கள், மின்தேக்கி
ஆகியவற்றில் ஆற்றல் இழப்பு ஏற்படுகிறது. மின்தேக்கியில் ஒவ்வொரு முறையும் மின்னேற்றமும்
மின்னிறக்கமும் நடைபெறும் போது, இந்த ஆற்றல் இழப்பைச் சரிசெய்ய அலையின் சிறிதளவு ஆற்றல்
பயன்படுத்தப்படுகிறது. இதனால் அலைவுகளின் வீச்சு படிப்படியாகக் குறையும். தொட்டிச்சுற்று
தடையுறு மின் அலைவுகளைத் தோற்றுவிக்கும். எனவே, தடையற்ற அலைவுகளைத் தோற்றுவிக்க வெளியீட்டுச்
சுற்றிலிருந்து உள்ளீட்டுச் சுற்றுக்கு நேர்பின்னூட்டம் அளிக்கப்படுகிறது.
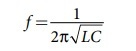
L மற்றும் C இன் மதிப்புகளைப் பின்வரும் சமன்பாட்டில்
பயன்படுத்த அலைவுகளின் அதிர்வெண் கண்டறியப்படுகிறது.

தொடர்ச்சியான அலைவுகளுக்கானப் பர்க்கௌசன்
(Barkhausen) நிபந்தனைகள்
அலை இயற்றிகளில் தொடர்ச்சியான அலைவுகள் ஏற்பட
பின்வரும் நிபந்தனைகள் பூர்த்தி செய்யப்படவேண்டும். அவை பர்க்கௌசன் நிபந்தனைகள் எனப்படும்.
• மின்சுற்று வலையைச் சுற்றி கட்ட வேறுபாடு 0° அல்லது 2 π -ன் முழு எண் மடங்காக இருக்க வேண்டும்.
• வலை பெருக்கம் ஒன்றாக இருக்க வேண்டும் |Aβ| =1
இங்கு A என்பது பெருக்கியின் மின்னழுத்த பெருக்கம்
என்பது பின்னூட்டத்தகவு (உள்ளீட்டில் அளிக்கப்படும் வெளியீட்டின் சிறு பகுதி).
வெவ்வேறு வகையான தொட்டிச் சுற்றுகளின் அடிப்படையில்
அலை இயற்றிச் சுற்றுகள் பலவகைப்படும். எடுத்துக்காட்டு: ஹார்ட்லி அலை இயற்றி, கால்பிட்
அலை இயற்றி, கட்டப்பெயர்ச்சி அலை இயற்றி மற்றும் படிக அலை இயற்றி போன்றவை.
அலை இயற்றிகளின்
பயன்பாடுகள்
* காலத்தைப் பொருத்து மீண்டும் மீண்டும் ஏற்படும்
சைன் வடிவமுள்ள மற்றும் சைன் வடிவமற்ற அலைகளைத் தோற்றுவிக்கின்றன.
* ரேடியோ அதிர்வெண் ஊர்தி அலைகளைத் தோற்றுவிக்கின்றன.
* ஒலித் தொனியை ஏற்படுத்துகின்றன.
* இலக்கச் சுற்றுகளில் காலச்சைகைகளை தோற்றுவிக்கின்றன.
* தொலைக்காட்சி மற்றும் கேதோடு கதிர் அலை இயற்றிகளில்
அதிர்வெண் மாற்றும் மின் சுற்றுகளாகப் பயன்படுகின்றன.
எடுத்துக்காட்டு
9.9
ஓர் இசைவுறு ஏற்பான் அலை இயற்றியில், 150
uH மாறா மதிப்பு கொண்ட மின் நிலைமம் உள்ளது. அதில் பயன்படுத்தப்படும் மாறும் மின்தேக்கியின்
நெடுக்கத்தைக் கண்டுபிடிக்கவும். அதிர்வெண் பட்டையின் அதிர்வெண் 500 kHz லிருந்து
1500 kHz வரை இருக்கும் எனக் கொள்க.
