தீர்க்கப்பட்ட எடுத்துக்காட்டு கணக்குகள் | அளவியல் | கணிதம் - இணைந்த உருவங்களின் கன அளவு மற்றும் புறப்பரப்பு | 10th Mathematics : UNIT 7 : Mensuration
இணைந்த உருவங்களின் கன அளவு மற்றும் புறப்பரப்பு
(Volume and Surface Area of Combined Solids)
படம் 7.37-ல் கொடுக்கப்பட்டுள்ள உருவங்களை உற்று நோக்குக.

இவைகள் இணைந்த உருவங்கள் ஆகும். இரண்டு அல்லது அதற்கு மேற்பட்ட திண்மங்களை இணைப்பதன் மூலம் கிடைக்கும் ஒரு திண்மம் ‘இணைந்த உருவம்’ எனப்படும்.
இணைந்த உருவங்கள் எனும் கருத்து பொம்மைகள் செய்தல், கட்டுமானம் மற்றும் தச்சு போன்ற துறைகளில் பயன்படுகிறது.
இணைந்த உருவங்களின் புறப்பரப்பு என்பது அவற்றின் வெளியே கண்ணுக்குப் புலப்படும் புறப்பரப்பு ஆகும். எடுத்துக்காட்டாக, ஒரு கூம்பு மீது ஓர் அரைக்கோளம் பொருந்தினால் அமையும் திண்மத்தின் புறப்பரப்பு என்பது கூம்பின் வளைபரப்பு மற்றும் அரைக்கோளத்தின் வளைபரப்பு ஆகியவற்றின் கூடுதல் ஆகும். இங்குக் கூம்பு மற்றும் அரைக்கோளம் ஆகிய இரண்டின் அடிப்பரப்புகள் சேர்க்கப்படவில்லை. ஏனெனில், கூம்பு மற்றும் அரைக்கோளம் இரண்டும் இணைந்தபின் அவற்றின் அடிப்புறப்பரப்புகள் கண்ணுக்குத் தெரிவதில்லை.
ஆனால், இரு திண்ம உருவங்களின் கன அளவுகளின் கூடுதல் இணைந்த உருவத்தின் கன அளவு ஆகும் என்பதை நினைவில் கொள்க.
எடுத்துக்காட்டு 7.24
ஓர் உருளையின் மீது ஓர் அரைக்கோளம் இணைந்தவாறு உள்ள ஒரு பொம்மையின் மொத்த உயரம் 25 செ.மீ ஆகும். அதன் விட்டம் 12 செ.மீ எனில், பொம்மையின் மொத்தப் புறப்பரப்பைக் காண்க.
தீர்வு
r மற்றும் h என்பன முறையே உருளையின் ஆரம் மற்றும் உயரம் என்க.
இங்கு, விட்டம் d = 12 செ.மீ அதாவது, ஆரம் r = 6 செ.மீ

மொத்த உயரம் h = 25 செ.மீ
எனவே, உருளையின் உயரம் = 25 – 6 = 19 செ.மீ
பொம்மையின் மொத்தப் புறப்பரப்பு = உருளையின் வளைபரப்பு + அரைக்கோளத்தின் வளைபரப்பு + உருளையின் அடிப்பரப்பு
= 2πrh + 2πr2 + πr2
= πr (2h + 3r) ச. அ
= (22/7) × 6 × (38 + 18)
= (22/7) × 6 ×56 = 1056
ஆகவே, பொம்மையின் மொத்தப் புறப்பரப்பு 1056 ச. செ.மீ ஆகும்.
எடுத்துக்காட்டு 7.25
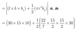
ஒரு கனச்செவ்வகத்தின் மீது அரை உருளை உள்ளவாறு ஒரு நகைப்பெட்டி (படம் 7.39) உள்ளது. கனச் செவ்வகத்தின் பரிமாணங்கள் 30 செ.மீ × 15 செ.மீ × 10 செ.மீ எனில், நகைப்பெட்டியின் கன அளவு காண்க.

தீர்வு
கனச்செவ்வகத்தின் நீளம், அகலம் மற்றும் உயரம் முறையே l, b மற்றும் h1 என்க.
உருளையின் ஆரம் மற்றும் உயரம் முறையே r மற்றும் h2 என்க.
பெட்டியின் கனஅளவு = கனச்செவ்வகத்தின் கன அளவு + 1/2 (உருளையின் கன அளவு)

= 4500 + 2651.79 = 7151.79
ஆகவே, பெட்டியின் கன அளவு 7151.79 க. செ.மீ ஆகும்.
எடுத்துக்காட்டு 7.26
அருள் தனது குடும்ப விழாவிற்கு 150 நபர்கள் தங்குவதற்கு ஒரு கூடாரம் அமைக்கிறார். கூடாரத்தின் அடிப்பகுதி உருளை வடிவிலும் மேற்பகுதி கூம்பு வடிவிலும் உள்ளது. ஒருவர் தங்குவதற்கு 4 ச. மீ அடிப்பகுதி பரப்பும் 40 க. மீ காற்றும் தேவைப்படுகிறது. கூடாரத்தில் உருளையின் உயரம் 8 மீ எனில், கூம்பின் உயரம் காண்க.
தீர்வு
உருளை மற்றும் கூம்பின் உயரம் முறையே h1 மற்றும் h2 என்க.
இங்கு, ஒருவருக்குத் தேவையான பரப்பு = 4 ச.மீ.
நபர்களின் எண்ணிக்கை = 150

தேவையான மொத்த அடிப்பரப்பு = 150 × 4
πr2 = 600 ….. (1)
ஒருவருக்குத் தேவையான காற்றின் கனஅளவு = 40 க.மீ.
150 நபர்களுக்குத் தேவையான காற்றின் கன அளவு = 150 × 40 = 6000 க. மீ.

ஆகவே, கூம்பின் உயரம் 6 மீ ஆகும்.
எடுத்துக்காட்டு 7.27
ஓர் உருளையின் மீது ஓர் இடைக்கண்டம் இணைந்தவாறு அமைந்த ஒரு புனலின் (funnel) மொத்த உயரம் 20 செ.மீ. உருளையின் உயரம் 12 செ.மீ மற்றும் விட்டம் 12 செ.மீ ஆகும். இடைக்கண்டத்தின் மேற்புற விட்டம் 24 செ.மீ எனில், புனலின் வெளிப்புறப் பரப்பைக் கணக்கிடுக.
தீர்வு
h1 மற்றும் h2 என்பன முறையே இடைக்கண்டம் மற்றும் உருளையின் உயரம் என்க.
R மற்றும் r என்பன இடைக்கண்டத்தின் மேல் மற்றும் கீழ்ப்புற ஆரங்கள் என்க.
இங்கு, R = 12 செ.மீ, r = 6 செ.மீ, h2 = 12 செ.மீ h1 = 20 - 12 = 8 செ.மீ


l = 10 செ.மீ
வெளிப்புறப் பரப்பு = 2πrh2 + π (R + r )l ச.அலகுகள்
= π [2rh2 + (R + r )l]
= π [ (2 × 6 ×12) + (18 ×10)]
= π [144 + 180]
= (22/7) ×324 = 1018.28
ஆகவே, புனலின் வெளிப்புறப் பரப்பு 1018.28 செ.மீ2 ஆகும்.
எடுத்துக்காட்டு 7.28
கனச்சதுரத்தின் ஒரு பகுதியில் l அலகுகள் விட்டமுள்ள (கனசதுரத்தின் பக்க அளவிற்குச் சமமான) ஓர் அரைக்கோளம் (படத்தில் உள்ளது போல) வெட்டப்பட்டால், மீதமுள்ள திண்மத்தின் புறப்பரப்பைக் காண்க.
தீர்வு
அரைக்கோளத்தின் ஆரம் r என்க.
இங்கு, அரைக்கோளத்தின் விட்டம் = கனச்சதுரத்தின் ஒரு பக்கம் = l ஆகும்.
ஆரம் r = l/2 அலகு
தற்போது, மீதமுள்ள திண்மத்தின் மொத்தப்பரப்பு = கனச்சதுரத்தின் மொத்தப்பரப்பு + அரைக்கோளத்தின் வளைபரப்பு - அரைக்கோளத்தின் அடிப்பரப்பு
= 6 × (பக்கம்)2 + 2πr2 − πr2
= 6 × (பக்கம்)2 + πr2

ஆகவே, மீதமுள்ள திண்மத்தின் புறப்பரப்பு = 1/4 (24 + π)l2 ச. அ.
செயல்பாடு 4
