அழுத்தம் - கன அளவு வேலை (P - V வேலை)
அடிப்படை வெப்ப இயக்கவியலில், ஒரு வாயு விரிவடைதலில் (சுருக்கப்படுதலில்) செய்யப்படும் ஒரு வகையான வேலை மட்டுமே பொதுவாக கருத்திற் கொள்ளப்படுகிறது. இவ்வகை வேலையானது அழுத்தம் - கன அளவு வேலை (அ) P - V வேலை (அ) விரிவடைதல் வேலை என அழைக்கப்படுகிறது.
விரிவடைதல் மற்றும் சுருங்குதல் செயல்முறைகளோடு தொடர்புடைய வேலைகள்:
பெரும்பாலான வெப்ப இயக்கவியல் கணக்கீடுகளில் வாயுக்களின் விரிவடைதல், சுருங்குதலோடு தொடர்புடைய வேலையினை நாம் மதிப்பிடுகிறோம். ஒரு அமைப்பில் விரிவடைதல் அல்லது சுருங்குதல் நிகழ, உள் அழுத்தம் (Pint) மற்றும் வெளி அழுத்தம் (Pext) ஆகியவற்றிற்கிடையே கண்டிப்பாக வேறுபாடு இருக்க வேண்டும் என்பது தேவையான முக்கிய நிபந்தனை ஆகும்.
அழுத்தம் - கனஅளவு வேலையை (P - V வேலை) புரிந்துகொள்வதற்காக, ஒரு மோல் நல்லியல்பு வாயுவைக் கொண்டுள்ள A என்ற குறுக்கு வெட்டுப் பரப்புடைய உராய்வற்ற அழுத்தியுடன் (piston) கூடிய கொள்கலனை நாம் கருதுவோம். அமைப்பினுள் உள்ள வாயுவின் தொடக்க கனஅளவு (Vi) மற்றும் அமைப்பினுள் உள்ள வாயுவின் அழுத்தம் (Pint)
வெளி அழுத்தம் (Pext) ஆனது உள் அழுத்தத்தை (Pint), விட அதிகமாக இருக்கும்போது, அழுத்தியானது உள்நோக்கி நகர்கிறது. (Pint) உள்ளழுத்தமானது Pext க்கு சமமாகும் வரையில் நடைபெறும் இந்நிகழ்வு ஒரேபடியில் நிகழ்வதாக கொள்க, மேலும் இறுதி கனஅளவு Vf என்க.
இந்நேர்வில் அமைப்பின் மீது வேலை செய்யப்படுகிறது (+w), இதனை பின்வருமாறு கணக்கிடலாம்.
w = -F. Δx ---------- (7.2)
Δx என்பது சுருங்குதலின் போது அழுத்தியானது நகர்ந்த தூரம், மற்றும், F என்பது வாயுவின் மீது செயல்படும் விசை.

படம் 7.3 சுருங்குதல் செயல்முறையோடு தொடர்புடைய வேலை
F = Pext A ----------- (7.3)
சமன்பாடு 7.3ஐ 7.2ல் பிரதியிட
w = - Pext• A• Δx
A. Δx என்பது கனஅளவில் ஏற்படும் மாற்றம்
= Vf – V1
w = - Pext• (Vf – V1) ------ (7.4)
w = - Pext• (-ΔV) ---------- (7.5)
w = Pext• ΔV
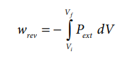
அமைப்பின் மீது வேலை செய்யப்படுவதால், w நேர்க்குறி மதிப்பினைப் பெறுகிறது. அழுத்தமானது (Pext) மாறிலியாக இருப்பதில்லை. ஆனால், செயல்முறையின் போது, எப்பொழுதும் வாயுவின் அழுத்தத்தை காட்டிலும் மிகநுண்ணிய அளவில் அதிகமாக இருக்கும் வகையில் மாற்றமடைகிறது. இந்த சுருங்குதலின் ஒவ்வொரு நிலையிலும், கன அளவானது dV என்ற மிகநுண்ணிய அளவில் குறைகிறது. இத்தகைய நேர்வுகளில் வாயுவின் மீது செய்யப்பட்ட வேலையை பின்வரும் தொடர்பின் மூலம் நாம் கணக்கிட முடியும்.

ஒரு சுருங்குதல் செயல்முறையில் வெளி அழுத்தம் Pext ஆனது அமைப்பின் அழுத்தத்தை காட்டிலும் எப்பொழுதும் அதிகமாக இருக்கும்.
அதாவது Pext = (Pint + dP).
ஒரு விரிவடைதல் செயல்முறையில் வெளிஅழுத்தம் Pext ஆனது அமைப்பின் அழுத்தத்தை விட எப்பொழுதும் குறைவு.
அதாவது Pext = (Pint - dP).

படம் 7.4 P - V வரைபடம்
கனஅளவு Vi லிருந்து Vf க்கு சுருங்கும் போது, அழுத்தம் மாறிலியாக இல்லாமல் இருப்பதுடன், மாற்றங்கள் மிக நுண்ணியபடிகளில் (மீள்நிபந்தனைகளில்), இருக்குமாயின் P - V வரைபடமானது படம் 7.4ல் காட்டப்பட்டுள்ள வரைபடத்திற்கு ஒத்துள்ளது. இந்நிகழ்வில் வாயுவின் மீது செய்யப்பட்ட வேலையானது நிழலிடப்பட்ட பரப்பினால் குறிக்கப்படுகிறது.
ஒரு பொதுவான நேர்வில், மீள் செயல்முறைகளுக்கு நாம் பின்வருமாறு எழுத முடியும்.
Pext = (Pint ± dP).
மீள்நிபந்தனைகளில், ஒரு விரிவடைதல் செயல்முறை வேலையானது அமைப்பின் உள் அழுத்தத்துடன் பின்வரும் சமன்பாட்டின் மூலம் தொடர்பு படுத்த முடியும்.

ஒரு நல்லியல்பு வாயுவைக் கொண்டுள்ள, கொடுக்கப்பட்டுள்ள அமைப்பிற்கு
Pint V = nRT
Pint = nRT / V

Vf > Vi (விரிவடைதல்) எனில் செயல்முறையால் செய்யப்பட்ட வேலையானது எதிர்குறி மதிப்புடையது.
Vf < Vi (சுருங்குதல்) எனில் செயல்முறையால் செய்யப்பட்ட வேலையானது நேர்குறி மதிப்புடையது.
அட்டவணை: 7.3 நடைமுறைக் குறியீடுகளின் சுருக்கமான அட்டவணை

1. அமைப்பினால் வெப்பமானது உறிஞ்சப்படும்போது : +q
2. அமைப்பிலிருந்து வெப்பமானது வெளியேறும்போது : -q
3. அமைப்பினால் வேலை செய்யப்படும்போது : -w
4. அமைப்பின் மீது வேலை செய்யப்படும்போது : +w