கலப்பெண்களின் அடிப்படை இயற்கணிதப் பண்புகள் (Basic Algebraic Properties of Complex Numbers)
கலப்பெண்களின் கூட்டல் மற்றும் பெருக்கல் பண்புகள் மெய் எண்களின் பண்புகளைப் போலவே இருக்கும். கீழே சில அடிப்படை இயற்கணித பண்புகளை பட்டியலிட்டுள்ளோம். அவற்றில் சிலவற்றை சரிபார்த்துள்ளோம்.

• கலப்பு எண்கள் கூட்டலைப் பொருத்து கலப்பு கீழ்க்காணும் பண்புகளை நிறைவு செய்யும்.
(i) அடைவுப் பண்பு
z1 மற்றும் z2 என்ற ஏதேனும் இரு கலப்பெண்களுக்கு இவற்றின் கூடுதல் z1 + z2 –யும் ஒரு கலப்பெண் ஆகும்.
(ii) பரிமாற்றுப் பண்பு
z1 மற்றும் z2 என்ற ஏதேனும் இரு கலப்பெண்களுக்கு
z1 + z2 = z2 + z1
(iii) சேர்ப்புப் பண்பு
z1, z2, மற்றும் z3 என்ற ஏதேனும் மூன்று கலப்பெண்களுக்கு
(z1 + z2) + z3 = z1 + (z2 + z3).
(iv) கூட்டல் சமனி
எந்த ஒரு கலப்பெண் z −க்கும் 0 = 0 + 0i என்ற ஒரு கலப்பெண்ணினை
z + 0 = 0 + z = z
என்றவாறு காணலாம்.
0 = 0 + 0 i என்ற கலப்பெண்ணினை கூட்டல் சமனி என்கிறோம்.
(v) கூட்டல் நேர்மாறு
எந்த ஒரு கலப்பெண் z -க்கும் –z என்ற ஒரு கலப்பெண்ணினை,
z + (−z) = (−z) + z = 0
என்றவாறு காணலாம்.
z −ன் கூட்டல் நேர்மாறு −z என்கிறோம்.
(vi) பங்கீட்டு விதி (கூட்டலின் மேல் பெருக்கலின் பங்கீட்டு விதி)
z1, z2, மற்றும் z3 என்ற ஏதேனும் மூன்று கலப்பெண்களுக்கு
z1 (z2 + z3) = z1 z2 + z1 z3 மற்றும் (z1 + z2)z3 = z1 z3 + z2z3 ஆகும்.
• கலப்பு எண்கள் பெருக்கலைப் பொருத்து கீழ்க்காணும் பண்புகளை நிறைவு செய்யும்.
(i) அடைவுப் பண்பு
z1 மற்றும் z2 என்ற ஏதேனும் இரு கலப்பெண்களுக்கு இவற்றின் பெருக்கல் z1z2 –யும் ஒரு கலப்பெண் ஆகும்.
(ii) பரிமாற்றுப் பண்பு
z1 மற்றும் z2 என்ற ஏதேனும் இரு கலப்பெண்களுக்கு
z1 z2 = z2 z1
(iii) சேர்ப்புப் பண்பு
z1, z2, மற்றும் z3 என்ற ஏதேனும் மூன்று கலப்பெண்களுக்கு
(z1 z2) z3 = z1(z2 z3).
(iv) பெருக்கல் சமனி
எந்த ஒரு கலப்பெண் z −க்கும் 1=1+ 0i என்ற ஒரு கலப்பெண்ணினை
z1=1z = z
என்றவாறு காணலாம்.
1 = 1 + 0i என்ற கலப்பெண்ணினை பெருக்கல் சமனி என்கிறோம்.
(v) பெருக்கல் நேர்மாறு
எந்த ஒரு பூஜ்ஜியமற்ற கலப்பெண் z −க்கும் w என்ற ஒரு கலப்பெண்ணினை
zw = wz = 1
என்றவாறு காணலாம்.
z −ன் பெருக்கல் நேர்மாறு w ஆகும்.
w −வை z−1 எனக் குறிப்பர்.
(vi) பங்கீட்டு விதி (கூட்டலின் மேல் பெருக்கலின் பங்கீட்டு விதி)
z1, z2, மற்றும் z3 என்ற ஏதேனும் மூன்று கலப்பெண்களுக்கு
z1 (z2 + z3) = z1 z2 + z1 z3 மற்றும் (z1 + z2)z3 = z1 z3 + z2z3 ஆகும்.
இவற்றில் சிலவற்றை கீழே நிறுவுவோம்.
பண்பு
கூட்டலின் பரிமாற்று விதி
ஏதேனும் இரு கலப்பெண்கள் z1 மற்றும் z2 −விற்கு z1 + z2 = z2 + z1 என பெறலாம்.
நிரூபணம்
z1 = x1 + iy1 , z2 = x2 + iy2, இங்கு x1, x2, y1, மற்றும் y2 ∈ ℝ என்க.
z1 + z2 = (x1 + iy1) + (x2 + iy2)
= (x1 + x2 ) + i (y1 + y2)
= (x2 + x1 ) + i (y2 + y1) (∵ x1, x2, y1, மற்றும் y2 ∈ ℝ)
= (x2 + iy2) + (x1 + iy1 )
= z2 + z1
பண்பு
பெருக்கலுக்கான நேர்மாறுப் பண்பு
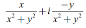
பூஜ்ஜியமற்ற எந்த ஒரு கலப்பெண் z = x + iy −க்கும் பெருக்கல் நேர்மாறானது
ஆகும்.
நிரூபணம்
பெருக்கல் நேர்மாறு கூட்டல் நேர்மாறைப்போல வெளிப்படையாகக் காண இயலாது.
z−1 = u + iv என்பது z = x + iy −ன் நேர்மாறு என்க.
zz−1 = 1 என்பதால்
(x + iy) (u + iv) = 1
(xu − yv) + i(xv + uy) = 1 + i0
மெய் மற்றும் கற்பனைப் பகுதிகளைச் சமப்படுத்த
xu – yv = 1 மற்றும் xv + uy = 0 .
மேற்கண்ட சமன்பாட்டுத் தொகுப்பினை u மற்றும் v−க்குத் தீர்க்க நாம்
u = x / (x2 + y2) மற்றும் v = −y / (x2 + y2) எனப்பெறலாம் (∵ z பூஜ்ஜியமற்றது ⇒ x2 + y2 > 0)
z = x + iy, எனில் z−1 = x/(x2 + y2) + i [−y/(x2 + y2)]
ஆகும்.
(∵ z = 0 எனும்போது z−1 வரையறுக்கப்படவில்லை).
இதிலிருந்து z என்ற கலப்பெண்ணின் நேர்மாறு z−1 −ஐப் பெறலாம். z என்ற கலப்பெண்ணின் நேர்மாறை வசதிக்காக z−1 = 1/z என நாம் பயன்படுத்துகிறோம். z1 மற்றும் z2 என்ற இரு கலப்பெண்களில் z2 ≠ 0 எனில், z1 மற்றும் 1/z1 −ன் பெருக்கற்பலனை z1/ z2 என குறிப்பிடுகின்றோம்.
இதுபோலவே மற்ற பண்புகளையும் நாம் சரிபார்க்கலாம். அடுத்த பாடப் பகுதியில், நாம் ஒரு கலப்பெண்ணின் இணைக் கலப்பெண்ணினை வரையறுப்போம். இது ஒரு கலப்பெண்ணின் நேர்மாறை எளிதாக காண நமக்கு பயன்படும்.
கலப்பு எண்கள் அடுக்குக் குறியீட்டின் விதிகளை நிறைவு செய்யும்
(i) zmzn = zm+n
(ii) zm/zn = zm−n , z ≠ 0
(iii) (zm)n = zmn
(iv) (z1 z2)m = z1m z2m