கேள்விகளுக்கான பதில்கள், தீர்வுகள் - பயிற்சி 2.1: கலப்பெண்கள் அறிமுகம் (Introduction to Complex Numbers) | 12th Maths : UNIT 2 : Complex Numbers
Posted On : 21.02.2024 11:52 pm
12 ஆம் வகுப்பு கணிதம் : அத்தியாயம் 2 : கலப்பு எண்கள்
பயிற்சி 2.1: கலப்பெண்கள் அறிமுகம் (Introduction to Complex Numbers)
12 ஆம் வகுப்பு கணிதம் : அத்தியாயம் 2 : கலப்பு எண்கள் : பயிற்சி 2.1: கலப்பெண்கள் அறிமுகம் (Introduction to Complex Numbers) :
பயிற்சி 2.1
பின்வருவனவற்றை சுருக்குக :
1. i1947 + i1950

2. i1948 − i−1869


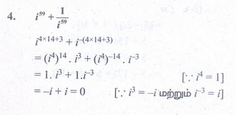
4. i59 + 1/i59

5. i i2 i3... i2000

