நிலை மின்னியல் - கூலூம் விதி | 12th Physics : UNIT 1 : Electrostatics
கூலூம் விதி
வெற்றிட வெளியில் (free space) நிலையாக உள்ள
இரு புள்ளி மின் துகள்களுக்கு இடையே காணப்படும் விசைக்கான கோவையை 1786 ஆம் ஆண்டில்
கூலூம் என்பவர் தருவித்தார். படம் 1.2 இல் உள்ளவாறு வெற்றிடத்தில் r தொலைவில் பிரித்து
வைக்கப்பட்டுள்ள இரு நிலையாகவுள்ள புள்ளி மின் துகள்களைக் கருதுவோம். அவற்றின் மின்னூட்டங்கள்
முறையே q1 மற்றும் q2, ஆகும். கூலூம் விதிப்படி, புள்ளி மின்துகள்
q2வின் மீது புள்ளி மின்துகள் q1 செயல்படுத்தும் விசையானது பின்வருமாறு
எழுதப்படுகிறது.

இங்கு r12 என்பது q1
இலிருந்து q2 வை நோக்கி வரையப்படும் ஓரலகு வெக்டர் மற்றும் k என்பது தகவு
மாறிலி .

(i) நிலைமின் விசையானது புள்ளி மின்துகள்களின்
மின்னூட்ட மதிப்பின் பெருக்கற்பலனுக்கு நேர்த்தகவிலும் அவற்றிற்கு இடையே உள்ள தொலைவின்
இருமடிக்கு எதிர்த்தகவிலும் இருக்கும்.
(ii) q2 மின்துகளின் மீது q1
மின்துகள் செலுத்தும் விசை அவற்றை இணைக்கும் கோட்டின் திசையிலேயே இருக்கும். இதில்
r^12 என்ற ஓரலகுவெக்டரானது மின்துகள் q1 லிருந்து q2
வை நோக்கிய திசையிலிருக்கும் [படம் 1.2]. அதேபோல், q1 இன் மீது q2,
செலுத்தும் விசை -r^12 திசையிலிருக்கும் (அதாவது r^12 ன் திசைக்கு
எதிர்த்திசையில்)
(iii) SI அலகு முறையில்,
மற்றும்
k ன்மதிப்பு 9 x 109 Nm2C-2என்றும் கண்டறியப்பட்டுள்ளது.
இங்கு €0 என்பது வெற்றிடத்தின் விடுதிறன் (Permittivity of free space)
எனப்படும். அதன் மதிப்பு

(iv) ஒரு கூலூம் மின்னூட்ட மதிப்பு கொண்ட ஒரு
மீட்டர் இடைவெளியில் வைக்கப்பட்டுள்ள இரு மின்துகள்களுக்கு இடையே செயல்படும் விசையின்
மதிப்பைப் பின்வருமாறு கணக்கிடலாம்.

இது மிகப்பெரிய விசையாகும். கிட்டத்தட்ட ஒரு
மில்லியன் டன் நிறை கொண்ட பொருளின் எடைக்குச் சமமாகும். நடைமுறையில் 1 கூலூம் அளவு
மின்னூட்டம் கொண்ட மின் துகள்களை நாம் எதிர்கொள்வதே இல்லை. நம் அன்றாட வாழ்வில் நிகழும்
பெரும்பாலான மின் நிகழ்வுகளில்µC (மைக்ரோ கூலூம்) மற்றும் nC (நேனோ கூலூம்) அளவிலான
மின்னூட்டங்கள் கொண்ட மின்துகள்களே இடம்பெறுகின்றன.
(v) SI அலகு முறையில், வெற்றிடத்திற்கான கூலும்
விதியின் வடிவம்
விடுதிறன் € மதிப்புடைய வேறொரு ஊடகத்தில் வைக்கப்பட்டுள்ள
புள்ளி மின் துகள்களுக்குஇடையே செயல்படும் விசை 
ஆனால், € > €0 எனவே, வெற்றிடத்தில் உள்ள புள்ளி மின் துகள்களுக்கு இடையிலான விசையை விட பிற ஊடகங்களில் செயல்படும் விசை குறைவாக இருக்கும். மேலும் ஒரு ஊடகத்தின் சார்பு விடுதிறனை (Relative permittivity) நாம் பின்வருமாறு வரையறுக்கலாம். €r = €/€0 வெற்றிடம் மற்றும் காற்றில் €r = 1 மற்ற ஊடகங்களுக்கு €r> 1.
(vi) கூலூம் விதி நியூட்டனின் ஈர்ப்பு விதியின்
அமைப்பையே கொண்டுள்ளது. இவ்விரண்டிலும் விசையானது, இடைத்தொலைவின் இருமடிக்கு எதிர்த்தகவில்
உள்ளவாறு அமைந்துள்ளன. நிலைமின் விசை, புள்ளி மின்துகள்களில் உள்ள மின்னூட்டங்களின்பெருக்கலுக்கு
நேர்த்தகவிலும், ஈர்ப்பு விசை புள்ளி நிறைகளின் பெருக்கலுக்கு நேர்த்தகவிலும் அமைந்துள்ளன.
ஆனால், இவற்றிற்கிடையே சில முக்கிய வேறுபாடுகளும் உள்ளன.
• இரு நிறைகளுக்கு இடையேயான ஈர்ப்பு விசை எப்போதும்
கவரும் விசையாகவே உள்ளது. கூலூம் விசையோ, மின் துகள்களின் இயல்பை பொருத்து கவரும் விசையாகவோ
விலக்கு விசையாகவோ இருக்கின்றது.
• ஈர்ப்பியல் மாறிலியின் மதிப்பு G = 6.67
x 10-11 Nm2 kg-2. ஆனால், கூலூம் விதியில் உள்ள மாறிலியின்
மதிப்பு k = 9X 109 N m2 C-2 kன் மதிப்பு G ஐ விட
மிகவும் அதிகமாதலால் நிறை குறைவான பொருள்களுக்கு ஈர்ப்பு விசையைக் காட்டிலும் நிலைமின்
விசையின் மதிப்பு மிகவும் அதிகமாகவே இருக்கும்.
• இரு நிறைகளுக்கு இடையில் உள்ள ஈர்ப்பு விசை
அது வைக்கப்பட்டிருக்கும் ஊடகத்தைச் சார்ந்ததல்ல. எடுத்துக்காட்டாக, காற்றிலோ அல்லது
நீரிலோ, எதில் வைக்கப்பட்டிருந்தாலும் இரு 1 kg நிறைகளுக்கிடையே செயல்படும் ஈர்ப்பு
விசையின் மதிப்பு மாறாது. ஆனால், இரு மின்துகள்களுக்கு இடையே செயல்படும் நிலைமின் விசையோ
அவை வைக்கப்பட்டுள்ள ஊடகத்தின் தன்மையை சார்ந்து இருக்கும்.
(vii) மின்துகள் q1, இன் மீது மின்துகள்
q2 செலுத்தும் விசை

இங்கு r^21 என்பது q2 விலிருந்து q1 ஐ நோக்கிய திசையிலுள்ள ஓரலகு வெக்டராகும். ஆனால், r^12 = -r^21 எனப் பிரதியிட்டால்,

எனவே நிலை மின் விசை நியூட்டனின் மூன்றாம்
விதிக்குட்பட்டது.
(viii) கூலூம் விதி புள்ளி மின் துகள்களுக்கு மட்டுமே பொருந்தும். ஆனால், புள்ளி மின்துகள் என்பது ஒரு கருத்தாக்கம் மட்டுமே. நடைமுறையில் சாத்தியமில்லை. மின்துகள்களுக்கு இடையே உள்ள தொலைவை ஒப்பிடும்போது அவற்றின் உருவ அளவு மிகவும் சிறியதாக இருந்தால், கூலூம் விதியை நாம் பயன்படுத்தலாம். இன்னும் சொல்லப்போனால் கூலூம் தன் சோதனையில், முறுக்குத்தராசு (torsion balance) ஒன்றில் வைக்கப்பட்ட மின்னூட்டம் பெற்ற இரு கோளங்களைப் புள்ளி மின் துகள்களாகக் கருதியே அவர் தம் விதியைக் கண்டறிந்தார். அந்த ஆய்வில், கோளங்களின் ஆரங்களை விட அவற்றிற்கிடையேயான தொலைவு மிக அதிகம்.
படத்தில் இரு புள்ளி மின்துகள்கள் q1
மற்றும் q2 நிலையாக உள்ளன.

அவை 1 m இடைவெளியில் பிரித்து வைக்கப்பட்டுள்ளன.
பின்வரும் நேர்வுகளுக்கு அவற்றுக்கு இடையே செயல்படும் விசையை கணக்கிடுக.
(அ) q1 = +2μC மற்றும்
q2= +3 μC
(ஆ) q1= +2μC மற்றும்
q2 =-3μC
(இ) q1 = +2μC மற்றும்
q2 = -3μC நீரில் (∈r =
80)
வைக்கப்படும்போது

(அ) q1 = +2 µC, q2
= +3 μC மற்றும்
r = 1m. இங்கு இரண்டுமே நேர் மின் துகள்கள். ஆதலால், இவற்றிற்கு இடையே விலக்கு விசை
செயல்படும்.
மின்துகள் q1 ஆல் மின்துகள் q2
உணரும் விசை

இங்கு r^12 என்பது q1 லிருந்து
q2 ஐ நோக்கிய திசையிலுள்ள ஓரலகு வெக்டர். q1 க்கு வலது பக்கத்தில்
q2உள்ளதால்,


நியூட்டனின் மூன்றாம் விதிப்படி, மின்துகள்
q2 ஆல் q1 உணரும் விசை 

மற்றும்
ஆகியவற்றின் திசைகள்
படத்தில் (நேர்வு (அ)) காட்டப்பட்டுள்ளது.
(ஆ) q1 = +2 μC, q2
=-3 μC மற்றும்
r = 1m. இவை வேறின மின் துகள்களாதலால் இவற்றிற்கிடையே கவரும் விசை செயல்படும். மின்துகள்
q1 ஆல் q2 உணரும் விசை

எனவே, மின்துகள் q2 ஆனது q1ஐ நோக்கிய திசையில் (அதாவது எதிர்க்குறிx
திசையில்) ஒரு கவரும் விசையை உணரும்.
நியூட்டனின் மூன்றாம் விதிப்படி, மின்துகள்
q2 ஆல் q1 உணரும் விசை
அதாவது

மற்றும்
ஆகிய விசைகளின்
திசை படத்தில் (நேர்வு - ஆ) காட்டப்பட்டுள்ளது.
(இ) இரு மின்துகள்களும் நீருக்குள் வைக்கப்பட்டால் q2 உணரும் விசை

குறிப்பு
இரு மின்துகள்களுக்கிடையே வெற்றிடத்தில் செயல்படும் விசையை விட
அவை நீருக்குள் வைக்கப்படும்போது செயல்படும் விசை 1/80 பங்காகக்குறைந்துள்ளதைக் கவனிக்கவும்.
சாதாரண உப்பை (NaCl) நீரில் இடும்போது, நீரின் அதிக மதிப்புடைய சார்பு விடுதிறனால்
(€r = 80), Na மற்றும் CI அயனிகளுக்கு இடையே நிலவும் நிலைமின் விசை குறைந்து
விடுகிறது. இதனால் தான் நீர் ஒரு சிறந்த கரைப்பானாக உள்ளது.
ஒவ்வொன்றும் 1g நிறையுடைய, சிறிய உருவளவு கொண்ட,
இரு ஒரே மாதிரியான கோளங்கள் சமநிலையில் உள்ளவாறு, படத்தில் காட்டப்பட்டுள்ளன. நூலின்
நீளம் 10 cm மற்றும் செங்குத்துத் திசையுடன் நூல் உருவாக்கும் கோணம் 30o
எனில் கோளம் ஒவ்வொன்றிலும் உள்ள மின்னூட்டத்தைக் கணக்கிடுக. (g= 10 ms-2
என எடுத்துக்கொள்க)

கோளங்கள் இரண்டும் மின்னூட்டம் அற்றவையாக இருந்தால்,
அவை தொங்கவிடப்படும்போது அவற்றுக்கு இடையே உருவாகும் கோணம் 00 ஆக இருக்கும்.
ஆனால் அவை நேர் மின்னூட்டம் பெற்ற கோளங்கள் ஆதலால், அவற்றுக்கிடையே விலக்கு விசை செயல்பட்டு,
செங்குத்து திசைக்கு 30oகோணத்தில் அவை சமநிலைக்கு வருகின்றன.சமநிலையில்
ஒவ்வொரு கோளமும் உணரும் நிகர விசை சுழியாகும். அவற்றுள் ஏதேனும் ஒரு கோளத்திற்கான தனித்த
பொருள் விசைப்படத்தை நாம் வரைந்து, செங்குத்து மற்றும் கிடைமட்டத் திசைகளில் நியூட்டனின்
இரண்டாம் விதியைப் பயன்படுத்துவோம்.

நேர்க்குறி x - திசையில் கோளத்தின் நிகர முடுக்கம்
சுழி.

இங்கு T என்பது நூலினால் கோளத்தின் மீது செலுத்தப்படும்
இழுவிசை மற்றும் Fe என்பது இரு கோளங்களுக்கு இடையிலான நிலைமின் விசை
y - திசையிலும் கூட, கோளத்தின் நிகர முடுக்கம்
சுழி. எனவே

சமன்பாடு (1) ஐ (2) ஆல் வகுக்க,

இரு கோளங்களும் சம மின்னூட்டம் பெற்றுள்ளதால்,
நிலைமின் விசையின் எண்மதிப்பு

ஹைடிரஜன் அணுவில் உள்ள புரோட்டானுக்கும் எலக்ட்ரானுக்கும்இடையேயான
நிலைமின் விசை மற்றும் ஈர்ப்பு விசையைக்கணக்கிடுக. அவற்றின் இடைத்தொலைவு 5.3x 10-11
m. எலக்ட்ரான் மற்றும் புரோட்டான் இவையிரண்டிற்கும்மின்னூட்டமதிப்பு 1.6x10-19
C. எலக்ட்ரானின் நிறை me = 9.1 x 10-31 kg மற்றும் புரோட்டானின்
நிறை mp = 1.6 x 10-27 kg.
புரோட்டானும் எலக்ட்ரானும் ஒன்றையொன்று கவருகின்றன.
இவ்விரு மின் துகள்களுக்கும் இடையேயான நிலைமின் விசையின் எண்மதிப்பு

புரோட்டான் மற்றும் எலக்ட்ரானுக்கு இடையேயான
புவியீர்ப்பு விசையும்கவர்விசையே. இவ்விரு துகள்களுக்கும் இடையே நிலவும் ஈர்ப்பு விசையின் எண்மதிப்பு

இவ்விரு விசைகளுக்குமான விகிதம்

புரோட்டானுக்கும் எலக்ட்ரானுக்கும் இடையேயான
நிலைமின் விசையானது அவற்றுக்கிடையே நிலவும் ஈர்ப்பு விசையைவிட பல மடங்கு மிகப்பெரியது.
எனவே, சிறிய நிறை கொண்ட பொருள்கள் மற்றும் அணுநிலை அளவுகள் (atomic domain) உள்ளிட்ட
பல சூழ்நிலைகளில் நிலைமின் விசையை ஒப்பிடுகையில் ஈர்ப்பு விசை புறக்கணிக்கத்தக்கதே.
இதனால் தான், மின்னூட்டமற்ற சிறு காகிதத்துண்டு ஒன்று புவியின் ஈர்ப்பு விசையினால்
கவரப்பட்டாலும் அதைவிட அதிக வலிமையுடன் மின்னூட்டம் பெற்ற சீப்பு ஒன்றினால் (அக்காகிதத்துண்டை)
கவர முடிகிறது.

இரு புள்ளி மின் துகள்களுக்கு இடையே ஏற்படும்
இடைவினையை கூலூம் விதி விளக்குகிறது. இரண்டிற்கு மேற்பட்ட மின் துகள்கள் இருந்தால்,
ஒவ்வொரு மின்துகளின் மீதும் மற்ற அனைத்து மின் துகள்களும் செலுத்தும் விசையைக் கணக்கிட
வேண்டும். இத்தகைய சூழ்நிலைகளுக்கு கூலூம் விதியினால் மட்டுமே விசை காண இயலாது. பல
மின்துகள் அமைப்புகளில் ஏற்படும் இடைவினைகளைப் பற்றி மேற்பொருந்துதல் தத்துவம் விளக்குகிறது.
மேற்பொருந்துதல் தத்துவத்தின் படி, ஒரு குறிப்பிட்ட
மின்துகள் மீது செயல்படும் மொத்த விசையானது மற்ற அனைத்து மின் துகள்கள் அதன்மீது செயல்படுத்தும்
விசைகளின் வெக்டர் கூடுதலுக்குச் சமமாகும்
q1, q2, q3……..qn
ஆகிய மின்னூட்ட மதிப்புகளையுடைய n மின் துகள்களை உள்ளடக்கிய அமைப்பு ஒன்றைக்
கருதுக. q1ன் மீது q2செலுத்தும் விசை

இங்கு r^21 q1 என்பது
q2 விலிருந்து q1 ஐ இணைக்கும் கோட்டின் திசையில் அமையும் ஓரலகு
வெக்டர் மற்றும் r21 என்பது அவை இரண்டிற்குமான இடைத்தொலைவு ஆகும். இவ்விருமின்துகள்களுக்கு
இடையேயான விசை, சுற்றி அமைந்துள்ள மற்ற மின்துகள்களால் மாற்றப்படுவதில்லை.
q1 ன் மீது q3 செலுத்தும்
விசை

இதேபோல், q1 ன் மீது மற்ற அனைத்து
மின்துகள்களாலும் செலுத்தப்படும் மொத்த நிலைமின் விசை

குறிப்பு
இரு மின்துகள்களை விட அதிக எண்ணிக்கையில் உள்ள மின்துகள் அமைப்புகளில், மேற்பொருந்துதல்தத்துவத்தைப் பயன்படுத்தாமல் கூலூம் விதி முழுமை பெறாது. மேற்பொருந்துதல் தத்துவம் மற்றும் கூலூம் விதி ஆகியவை நிலை மின்னியலின் அடிப்படைத் தத்துவங்களாகும். நிலை மின்னியலில் காணப்படும் அனைத்து நிகழ்வுகளையும் இவ்விரண்டு தத்துவங்கள் விளக்குகின்றன. ஆனாலும் இவ்விரண்டு தத்துவங்களையும் ஒன்றிலிருந்து மற்றொன்றைத்தருவிக்க இயலாது.
ஆரம் 1 m கொண்ட வட்டத்திலுள்ள நான்கு புள்ளிகளில்
நான்கு சமமான மின்னூட்டம் கொண்டமின்துகள்கள் q1, q2, q3
மற்றும் q4=q=+1 μC வைக்கப்பட்டுள்ளன [பார்க்க
படம்). மின்துகள் q1 ன் மீது மற்ற அனைத்து மின்துகள்களாலும் செலுத்தப்படும்
மொத்த விசையைக் கணக்கிடுக.

தீர்வு
மேற்பொருந்துதல் தத்துவத்தின்படி, q1,
ன் மீது செலுத்தப்படும் மொத்த நிலைமின் விசையானது மற்ற மின் துகள்களால் அதன் மீது செலுத்தப்படும்
தனித்தனி விசைகளின் வெக்டர் கூடுதலுக்குச் சமம்.

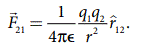
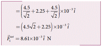
q1ன் மீது செயல்படும் விசை ஒவ்வொன்றின்
திசையும் பின்வரும் படத்தில் காட்டப்பட்டுள்ளது.

q2 மற்றும் q4 ஆகிய
மின்துகள்கள் q1 லிருந்து சம தொலைவில் உள்ளன. எனவே, திசையினால் வேறுபட்டாலும்
மற்றும்
விசைகளின் எண்மதிப்பு சமமாகும். இதனால் தான் அவற்றைக்
குறிப்பிடப் பயன்படுத்திய வெக்டர்கள் சமநீளமுடன் வரையப்பட்டுள்ளன. ஆனால் q2
மற்றும் q4 ஆகியவற்றைக் காட்டிலும் அதிக தொலைவில் மின்துகள் q3
உள்ளது. தொலைவு கூடினால் நிலைமின் விசையின் வலிமை குறையும். ஆதலால், விசைகள்
மற்றும்
ஆகியவற்றை விட
ன் எண்மதிப்பு குறைவு. இதனால் தான் விசைகள்
மற்றும்
ஆகியவற்றின் நீளத்தை விட விசை
ன் நீளம் குறைவாக வரையப்பட்டுள்ளது.


படத்திலிருந்து, θ = 45o. இந்த விசைகள் அவற்றின் வெக்டர்
கூறுகளைக் கொண்டு பின்வருமாறு எழுதப்படுகிறது.

எனவே q1ன் மீது செயல்படும் மொத்த
விசை


இச்சமன்பாட்டில் மதிப்புகளைப் பிரதியிட,

தொகுபயன் விசையா்னது நேர்க்குறி x – அச்சு திசையில் அமைகி்றது