மின்னியல் தூண்டல்: தீர்க்கப்பட்ட எடுத்துக்காட்டு சிக்கல்கள்
எடுத்துக்காட்டு 1.19
படத்தில் கொடுத்துள்ளவாறு +q மின்னூட்ட மதிப்பும் m நிறையும் கொண்ட மின்கடத்து பொருளாலான சிறிய பந்து ஒன்று கிடைமட்டத்திற்கு θகோணத்தில் v0என்ற தொடக்க திசைவேகத்துடன் மேல்நோக்கி எறியப்படுகிறது. g மதிப்புடைய ஈர்ப்புப் புலத்தின் திசையிலேயே, சீரான மதிப்புடைய E என்ற மின்புலம் அங்கு செயல்படுகிறது எனில் மின்னோட்டம் பெற்ற அப்பந்தின் கிடைத்தள நெடுக்கம், பெரும உயரம் மற்றும் பறக்கும் நேரம் ஆகியவற்றைக் கணக்கிடுக. காற்றினால் ஏற்படும் விளைவைப் புறக்கணிக்க; மேலும் பந்தை ஒரு புள்ளி நிறையாகக் கருதுக.
தீர்வு
கடத்தியின் நிகர மின்னூட்டம் சுழியெனில் அதன் இயக்கம், நாம் இயக்கவியல் (+1 இயற்பியல், தொகுதி – I, அலகு -2) அறிந்த m நிறை கொண்ட ஒரு எறிபொருளின் இயக்கத்தை ஒத்ததே. ஆனால் இந்தக் கணக்கில் கீழ்நோக்கிய திசையில் செயல்படும் ஈர்ப்பு விசையுடன் சேர்ந்து சீரான நிலைமின் விசையையும் அப்பந்து உணர்கிறது.
ஈர்ப்பு விசையினால் அப்பந்திற்கு அளிக்கப்படும்
முடுக்கம் = -g
சீரான மின்புலத்தினால் அப்பந்திற்கு அளிக்கப்படும்
முடுக்கம் = -q E/mJ^
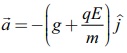
மின்னூட்டம் பெற்ற பந்து கீழ்நோக்கிய திசையில் அடையும் மொத்த முடுக்கம் 
இங்கே பந்தின் முடுக்கம் அதன் நிறையைச் சார்ந்துள்ளதைக் கவனிக்கவும். அனைத்து பொருள்களும் புவியை நோக்கி ஒரே முடுக்கத்துடன் வீழ்கின்றன என்ற கலிலியோவின் கூற்று சீரான ஈர்ப்புப் புலத்திற்கு மட்டுமே பொருந்தும். சீரான மின்புலத்தை சேர்க்கும்போது மின்னூட்டம் பெற்ற பொருளின் முடுக்கம் அதன் நிறையையும் மின்னூட்டத்தையும் சார்ந்து இருக்கின்றது.
இருப்பினும் அதன் முடுக்கமானது, 
இயக்கம் முழுவதிலும் சீராகவே இருக்கும். எனவே இயக்கவியல் சமன்பாடுகளைப் பயன்படுத்திகிடைத்தள நெடுக்கம், பெரும உயரம் மற்றும் பறக்கும் நேரம் ஆகியவற்றைக் கணக்கிடலாம். எறிபொருளுக்கான அளவுகளின் சமன்பாடுகளில் g க்கு பதிலாக
என்று பிரதியிட்டுமேற்கூறிய மூன்று அளவுகளையும் தருவிக்கலாம்.

பறக்கும் நேரம், பெரும உயரம், நெடுக்கம் ஆகிய இம்மூன்றுமே பொருளின் முடுக்கத்திற்கு எதிர்த்தகவில் உள்ளதை கவனிக்கவும். மேலும்,
(g + qE/m) > g ஆகையால், T,hmax ’R இம்மூன்றுஅளவுகளுமே மின்னூட்டமற்ற நிலையில் உள்ள அளவுகளை விடக் குறைந்த மதிப்பைப் பெற்றிருக்கும். மின்னூட்டமானது -q எனில்,
(g + qE/m) < g. ஆகையால் இம்மூன்றுமே அதிகமதிப்பு பெற்றிருக்கும். இருப்பினும் பொருளின் பாதை இன்னமும் பரவளையமாகவே உள்ளது. [காண்க படம்]
