கேள்வி பதில்கள் மற்றும் தீர்வுகள் | கணக்கு - பயிற்சி : உறவுகளும் சார்புகளும் | 10th Mathematics : UNIT 1 : Relation and Function
அலகுப் பயிற்சி
1. (x2 − 3x, y2 + 4y) மற்றும் (-2,5) ஆகிய வரிசைச் சோடிகள் சமம் எனில், x மற்றும் y-ஐக் காண்க.

2. A×A கார்டீசியன் பெருக்கல் பலனின், 9 உறுப்புகளில், உறுப்புகள் (-1, 0) மற்றும் (0, 1) – யும் இருக்கிறது எனில், A -யில் உள்ள உறுப்புகளைக் காண்க. மற்றும் A×A -ன் மீதமுள்ள உறுப்புகளைக் காண்க.

3. f (x) =
எனக் கொடுக்கப்பட்டால்,
(i) f (0)
(ii) f (3)
(iii) f (a + 1) (a ≥ 0 எனக் கொடுக்கப்பட்டுள்ளது) ஆகியவற்றை காண்க.

4. A = {9,10,11,12,13,14,15,16,17} என்க. மற்றும் f: A → N ஆனது f (n) = n -ன் அதிகபட்சப் பகா காரணி (n ∈ A) என வரையறுக்கப்பட்டால் f -ன் வரிசைச் சோடிகளின் கணத்தை எழுதுக மற்றும் f -ன் வீச்சகத்தைக் காண்க.

5.
என்ற சார்பின் மதிப்பகத்தைக் காண்க.

6. f (x) = x2, g(x) = 3x மற்றும் h(x) = x − 2 எனில், (f o g) o h = f o (g o h) என நிறுவுக.

7. A = {1,2}, B = {1,2,3,4}, C = {5,6} மற்றும் D = {5,6,7,8} எனில், A×C ஆனது B×D உட்கணமா எனச் சரிபார்க்க.

8. f (x) = [x-1]/[x+1], x ≠ -1 என்க. x ≠ 0 எனில், f (f (x)) = −1/x எனக் காட்டுக.

9. சார்பு f மற்றும் g ஆகியவை f (x) = 6x + 8; g(x) = [x-2]/3 எனில்,
(i) gg(1/2) -யின் மதிப்பைக் காண்க.
(ii) gf (x) -ஐ எளிய வடிவில் எழுதுக.

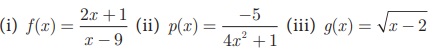
10. பின்வருவற்றின் மதிப்பகங்களை எழுதுக.

(iv) h(x) = x + 6

விடைகள்:
1. 1,2 and -5 ,1
2. {-1, 0, 1}, {(- 1, -1),(- 1, 1),(0, -1),(0, 0),(1, -1),(1, 0),(1, 1)}
3.(i) 4 (ii) √2 (iii) √a
4. {(9, 3),(10, 5),(11, 11),(12, 3),(13, 13),(14, 7),(15, 5),(16, 2),(17, 17)} , {2,3,5,11,13,17}
5. –1 ≤ 0 ≤ 1
9.(i) -5/6 (ii) 2(x + 1)
10.(i) R - {9} (ii) R (iii) [2, ∞) (iv) R