கேள்வி பதில்கள் மற்றும் தீர்வுகள் | கணக்கு - பயிற்சி 1.4 : சார்புகளின் வகைகள் | 10th Mathematics : UNIT 1 : Relation and Function
பயிற்சி 1.4
1. கீழே கொடுக்கப்பட்ட வரைபடங்கள் சார்பைக் குறிக்கின்றனவா எனத் தீர்மானிக்கவும். விடைகளுக்கான காரணத்தையும் கொடுக்கவும்.


2. f : A → B என்ற சார்பானது f (x) =( x/2) − 1 என வரையறுக்கப்படுகிறது. இங்கு, A = {2, 4, 6,10,12}, B = {0,1, 2, 4, 5, 9} ஆக இருக்கும்போது சார்பு f-ஐ பின்வரும் முறைகளில் குறிக்க
(i) வரிசைச் சோடிகளின் கணம்
(ii) அட்டவணை
(iii) அம்புக்குறி படம்
(iv) வரைபடம்

3. f = {(1,2), (2,2), (3,2), (4,3), (5, 4)} என்ற சார்பினை
(i) அம்புக்குறி படம்
(ii) அட்டவணை
(iii) வரைபடம் மூலமாகக் குறிக்கவும்.

4. f : N → N என்ற சார்பு f (x) = 2x - 1 என வரையறுக்கப்பட்டால் அது ஒன்றுக்கு ஒன்றான ஆனால் மேல் சார்பு இல்லை எனக் காட்டுக.

5. f : N → N என்ற சார்பு f (m) = m2 + m + 3 என வரையறுக்கப்பட்டால் அது ஒன்றுக்கு ஒன்றான சார்பு எனக் காட்டுக.

6. A = {1,2,3,4} மற்றும் B = N என்க. மேலும் f : A → B ஆனது f (x) = x3 என வரையறுக்கப்படுகிறது எனில்,
(i) f-யின் வீச்சகத்தைக் காண்க.
(ii) f எவ்வகை சார்பு எனக் காண்க.

7. கீழே கொடுக்கப்பட்ட ஒவ்வொரு சார்பும் இருபுறச் சார்பா, இல்லையா? உன் விடைக்கான காரணத்தைக் கூறுக.
(i) f : R → R ஆனது f (x) = 2x + 1
(ii) f : R → R ஆனது f (x) = 3 – 4x2

8. A = {-1,1} மற்றும் B = {0,2} என்க. மேலும், f: A → B ஆனது f (x) = ax + b என வரையறுக்கப்பட்ட மேல் சார்பு எனில், a மற்றும் b -ஐக் காண்க.

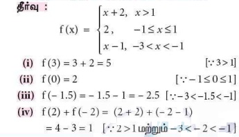
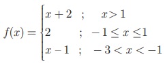
9. f என்ற சார்பானது
என வரையறுக்கப்பட்டால்
(i) f (3)
(ii) f (0)
(iii) f (−1 ⋅ 5)
(iv) f (2) + f (−2)
ஆகியவற்றின் மதிப்புகளைக் காண்க.

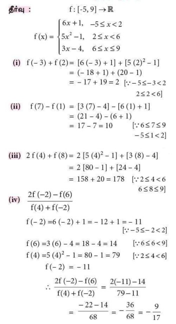
10. f : [−5, 9] → R என்ற சார்பானது பின்வருமாறு வரையறுக்கப்படுகிறது
f (x) =
என வரையறுக்கப்படுகிறது எனில், பின்வருவனவற்றைக் காண்க.
(i) f (−3) + f (2)
(ii) f (7) - f (1)
(iii) 2f (4) + f (8)
(iv) 

11. புவியீர்ப்பு விசையின் காரணமாக t வினாடிகளில் ஒரு பொருள் கடக்கும் தூரமானது S(t) = 1/2 gt2 + at + b எனக் கொடுக்கப்பட்டுள்ளது. இங்கு a, b ஆகியவை மாறிலிகள் (g ஆனது புவியீர்ப்பு விசையின் காரணமாக ஏற்படும் முடுக்கம்). S(t) ஆனது ஒன்றுக்கொன்றான சார்பாகுமா என ஆராய்க.

12. t என்ற சார்பானது செல்சியஸில் (C) உள்ள வெப்பநிலையையும், பாரன்ஹீட்டில் (F) உள்ள வெப்பநிலையையும் இணைக்கும் சார்பாகும். மேலும் அது t(C ) = F என வரையறுக்கப்பட்டால்,
(இங்கு F = 9/5 ( C ) + 32).
(i) t(0)
(ii) t(28)
(iii) t(-10)
(iv) t(C ) = 212 ஆக இருக்கும்போது C - ன் மதிப்பு
(v) செல்சியஸ் மதிப்பும் பாரன்ஹீட் மதிப்பும் சமமாக இருக்கும்போது வெப்பநிலை ஆகியவற்றைக் கண்டறிக.

விடைகள்:
1. (i) சார்பு அல்ல (ii) சார்பு (iii) சார்பு அல்ல (iv) சார்பு
2. (i) {(2,0),(4,1),(6,2),(10,4),(12,5)}

6.(i) {1, 8, 27, 64} (ii) ஒன்றுக்கொன்று மற்றும் உள்நோக்கிய சார்பு
7. (i) இருபுறச் சார்பு (ii) இருபுறச் சார்பு இல்லை 8. a = –1 அல்லது 1, b = 1
9.(i) 5 (ii) 2 (iii) -2. 5 (iv) 1
10.(i) 2 (ii) 10 (iii) 178 (iv) -9/17
11. ஆம் 12. (i) 32°F (ii) 82. 4°F (iii) 14°F (iv) 100°C (v) − 40°