கேள்வி பதில்கள், தீர்வுகள் | எண்கள் | அலகு 1 | 8 ஆம் வகுப்பு கணக்கு - பயிற்சி 1.5 (கனங்களும், கனமூலங்களும்) | 8th Maths : Chapter 1 : Numbers
பயிற்சி 1.5
1. கோடிட்ட இடங்களை நிரப்புக :
(i) 73 இன் கனத்திலுள்ள ஒன்றுகளின் இலக்கம் ____7____ ஆகும்.
(ii) ஓர் ஈரிலக்க எண்ணின் கனத்தில் அதிகபட்சமாக ____6____ இலக்கங்கள் இருக்கும்.
(iii) 3333 உடன் மிகச்சிறிய எண்ணான ____42____ ஐ கூட்டினால், அது ஒரு முழு கன எண்ணாகும்.
(iv) 540 × 50 இன் கனமூலம் ____90____ ஆகும்.
(v) 0.000004913 இன் கனமூலம் ____0.017____ ஆகும்.
2. சரியா? தவறா? எனக் கூறுக:
(i) 24 இன் கனமானது 4 என்ற இலக்கத்தில் முடியும். விடை: சரி
(ii) 1729 இலிருந்து 103 ஐ கழித்தால் 93 கிடைக்கும். விடை: சரி
(iii) 0.0012 இன் கனமானது 0.000001728 ஆகும். விடை: தவறு
(iv) 79570 என்ற எண்ணானது ஒரு முழு கன எண்ணல்ல. விடை: சரி
(v) 250047 இன் கன மூலமானது 63 ஆகும். விடை: சரி
3. 1944 ஒரு முழு கன எண்ணல்ல என நிருபிக்க.

4. 10985 ஐ எந்த மிகச் சிறிய எண்ணால் வகுக்க, ஈவு ஆனது ஒரு முழு கன எண்ணாகும் எனக் காண்க.

5. 200 உடன் எந்த மிகச் சிறிய எண்ணைப் பெருக்க, ஒரு முழு கன எண் கிடைக்கும் எனக் காண்க.

6. 24 × 36 × 80 × 25 இன் கனமூலம் காண்க.

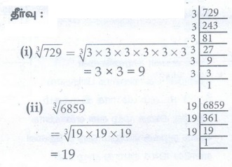
7. பகாக் காரணிப்படுத்துதல் மூலம் 729 மற்றும் 6859 ஆகியவற்றின் கன மூலத்தைக் காண்க.

8. 46656 இன் கனமூலத்தின் வர்க்க மூலம் என்ன?

9. ஓர் வர்க்க எண்ணின் கனமானது 729 எனில், அந்த எண்ணின் வர்க்க மூலத்தைக் காண்க.

10. எந்த இரு மிகச் சிறிய முழு வர்க்க எண்களைப் பெருக்கினால் ஒரு முழு கன எண் கிடைக்கும் எனக் காண்க.

செயல்பாடு
23 − 13 = 1 + 2 × 1 × 3
33 − 23 = 1 + 3 × 2 × 3
43 − 33 = 1 + 4 × 3 × 3
என்பதைக் கவனித்து இந்த அமைப்பைக் கொண்டு 153 −143 இன் மதிப்பைக் காண்க.
13 = 1 = 1
23 = 8 = 3 + 5
33 = 27 = 7 + 9 + 11
என்பதைக் கவனித்து, இந்த அமைப்பைத் தொடர்ந்து, 73 இன் மதிப்பை அடுத்தடுத்த ஒற்றை எண்களின் கூடுதலாகக் காண்க.