கேள்வி பதில்கள், தீர்வுகள் | எண்கள் | அலகு 1 | 8 ஆம் வகுப்பு கணக்கு - பயிற்சி 1.6 (அடுக்குக்குறிகளும் படிகளும்) | 8th Maths : Chapter 1 : Numbers
பயிற்சி 1.6
1. கோடிட்ட இடங்களை நிரப்புக:
(i) (−1)இரட்டை முழு எண் என்பது ___1_____ ஆகும்.
(ii) a ≠ 0 எனில், a0 ___1_____ ஆகும்.
(iii) 4−3 × 5−3 = ___20−3_____ ஆகும்.
(iv) (−2)−7 = ____ −1 / 128____ ஆகும்.
(v)
= ____ −243____ ஆகும்.
2. சரியா? தவறா? எனக் கூறுக:
(i)
எனில், x இன் மதிப்பு −2 ஆகும். விடை: சரி
(ii) (256)(−1/4) × 42 இன் சுருங்கிய வடிவம்
ஆகும். விடை: தவறு
(iii) படி விதியைப் பயன்படுத்தி, (37)−2 = 35 ஆகும். விடை: தவறு
(iv) 2 × 10−4 இன் திட்ட வடிவம் 0.0002 ஆகும். விடை: சரி
(v) 123.456 இன் அறிவியல் குறியீடு 1.23456 × 10−2 ஆகும். விடை: தவறு
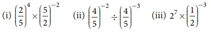
3. மதிப்பு காண்க:


4. மதிப்பு காண்க:


5. மதிப்பு காண்க:
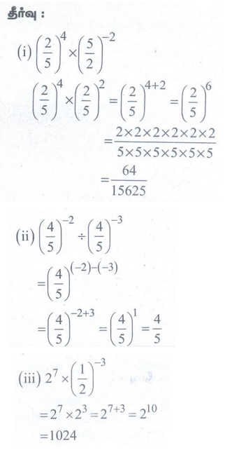
(i) (50 + 6−1) × 32
(ii) (2−1 + 3−1) ÷ 6−1
(iii) (3−1 + 4−2 + 5−3)0

6. சுருக்குக:
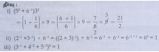
(i) (32)3 × (2 × 35)−2 × (18)2


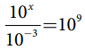
7. x இக்கு தீர்வு காண்க:


8. அடுக்குகளைப் பயன்படுத்தி விரிவாக்கம் செய்க:
(i) 6054.321
(ii) 897.14

9. எண்ணைத் திட்ட வடிவில் காண்க:
(i) (8 × 104) + (7 × 103) + (6 × 102) + (5 × 101) + (2 × 1) + (4 × 10−2) + (7 × 10−4)
(ii) (5 × 103) + (5 × 101) + (5 × 10−1) + (5 × 10−3)
(iii) ஹைட்ரஜன் அணுவின் ஆரம் 2.5 × 10−11 மீ.

10. பின்வரும் எண்களை அறிவியல் குறியீட்டில் எழுதவும்.
(i) 467800000000
(ii) 0.000001972
(iii) 1642.398
(iv) பூமியின் கன அளவு சுமார் 1,083,000,000,000 கன கிலோ மீட்டர்கள்.
(v) நீ ஒரு வாளியில் தூசுத் துகள்களைக் கொண்டு நிரப்பினால், பூமியின் முழு பகுதியில் வாளியிலுள்ள தூசுத் துகள்களின் எடையானது 0.0000000000000000000000016 கி.கி. ஆக இருக்கும்.

கொள்குறி வகை வினாக்கள்
11. (−4)−1 உடன் எந்த எண்ணைப் பெருக்கினால், பெருக்கலானது 10−1 என ஆகும்?

விடை: (ஆ) −2 / 5
12. (−2)−3 × (−2)−2 என்பது ________ ஆகும்.

(இ) 32
(ஈ) −32
விடை: (அ) −1 / 32
13. எது சரியல்ல?

விடை: (ஈ) −(1/4)2 = 16−1
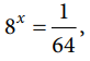
14.
எனில் x ஆனது ________ ஆகும்.
(அ) 4
(ஆ) 5
(இ) 6
(ஈ) 7
விடை: (இ) 6
15. 0.0000000002020 இன் அறிவியல் குறியீடு ________ ஆகும்.
(அ) 2.02 × 109
(ஆ) 2.02 × 10−9
(இ) 2.02 × 10−8
(ஈ) 2.02 × 10−10
விடை: (ஈ) 2.02 × 10−10