எண்கள் | அலகு 1 | 8 ஆம் வகுப்பு கணக்கு - அடிப்படைச் செயல்கள் மீதான வார்த்தைக் கணக்குகள் | 8th Maths : Chapter 1 : Numbers
அடிப்படைச் செயல்கள் மீதான வார்த்தைக் கணக்குகள்
எடுத்துக்காட்டு 1.16
இரு விகிதமுறு எண்களின் கூடுதல்
ஆகும். ஓர் எண்
எனில், மற்றோர் எண்ணைக் காண்க.
தீர்வு:
மற்றோர் எண்ணை x என்க

எடுத்துக்காட்டு 1.17
இரு விகிதமுறு எண்களின் பெருக்கல் பலன்
ஆகும். ஓர் எண்
எனில் மற்றோர் எண்ணைக் காண்க.
தீர்வு :

எடுத்துக்காட்டு 1.18
ஒரு நாடாச் சுருளின் நீளம்
மீ ஆகும். சங்கரியிடம் 4 முழுச் சுருள்களும், ஒரு சுருளின் மூன்றில் ஒரு பகுதியும் உள்ளன எனில், சங்கரியிடம் மொத்தமாக எத்தனை மீட்டர் நாடா உள்ளது?

தீர்வு :
சங்கரியிடம் இருக்கும் நாடாவின் மொத்த நீளம்

எடுத்துக்காட்டு 1.19
எந்த விகிதமுறு எண்களைக் கூட்ட மற்றும் கழிக்க அவை
என்ற கூடுதலை அருகிலுள்ள முழு எண்ணாக மாற்றும் எனக் காண்க.
தீர்வு :
இங்கு,

ஆனது, முழு எண்கள் 7 மற்றும் 8 இக்கு இடையில் அமைகிறது.
இலிருந்து
ஐ கழித்தால், அது 7 ஆக மாறும். நாம்
ஐ கூட்டினால்
அது
ஆக மாறும்.
எடுத்துக்காட்டு 1.20
ஒரு மாணவர் ஓர் எண்ணை
ஆல் பெருக்குவதற்குப் பதிலாக, தவறுதலாக
ஆல் வகுத்து விட்டார். அவருக்குக் கிடைத்த விடைக்கும், சரியான விடைக்குமான வித்தியாசம் 34 எனில், அந்த எண்ணைக் காண்க.
தீர்வு:
அந்த எண்ணை x என்க.

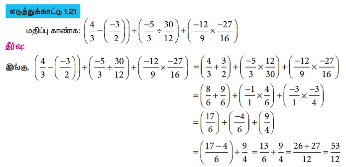
எடுத்துக்காட்டு 1.21
