கேள்விகளுக்கான பதில்கள், தீர்வுகள் - பயிற்சி 10.8 : முதல்வரிசை சாதாரணவகைக்கெழுச்சமன்பாடுகளின் பயன்பாடுகள் (Applications of First Order Ordinary Differential Equations) | 12th Maths : UNIT 10 : Ordinary Differential Equations
பயிற்சி 10.8
1. நுண்ணுயிர்களின் பெருக்கத்தில், பாக்டீரியாக்களின் எண்ணிக்கையின் பெருக்க வீதமானது அதில் காணப்படும் பாக்டீரியாக்களின் எண்ணிக்கையின் விகிதமாக உள்ளது. இப்பெருக்கத்தால் பாக்டீரியாவின் எண்ணிக்கை மும்மடங்காகிறது எனில், 10 மணி நேர முடிவில் பாக்டீரியாக்களின் எண்ணிக்கை என்னவாக இருக்கும்?

2. ஒரு நகரத்தின் மக்கள் தொகை வளர்ச்சி வீதம் t நேரத்தில் உள்ள மக்கள் தொகையின் விகிதமாக அமைந்துள்ளது. மேலும் நகரத்தின் மக்கள் தொகை 40 ஆண்டுகளில் 3,00,000லிருந்து 4,00,000 ஆக அதிகரித்துள்ளது எனக் கொடுக்கப்பட்டுள்ளது எனில், t நேரத்தில் அந்நகரத்தின் மக்கள் தொகையைக் காண்க.

3. மின்தடை மற்றும் தன் மின் தூண்டல் கொண்ட ஒரு மின் சுற்றின் மின் இயக்கு விசையின் சமன்பாடு E = Ri + L (/di/dt) ஆகும். இங்கு E என்பது மின் சுற்றுக்கு கொடுக்கப்படும் மின் இயக்கு விசை, R என்பது மின்தடை மற்றும் L என்பது தன் மின் தூண்டல் எண் ஆகும். E = 0 எனும்போது t நேரத்தில், மின்சாரம் iஐக் காண்க.

4. வினாடிக்கு 10 மீட்டர் வேகத்தில் இயங்கும் ஒரு மின்விசைப் படகின் இயந்திரம் நிறுத்தப்படுகிறது. அதன் பின்னர் ஏதேனும் ஒரு நேரத்தில் (இயந்திரம் நிறுத்தப்பட்ட பிறகு) மின் விசைப் படகின் வேகம் குறையும் வீதமானது அந்நேரத்தில் அதன் திசைவேகத்திற்கு சமமாக உள்ளது எனக் கொடுக்கப்பட்டுள்ளது. இயந்திரம் நிறுத்தப்பட்ட 2 வினாடிகளுக்குப் பிறகு விசைப்படகின் திசைவேகம் காண்க.

5. வருடத்திற்கு 5% தொடர் கூட்டு வீதத்தில் ஒருவர் 10,000-த்தை வங்கிக் கணக்கில் முதலீடு செய்கிறார். 18 மாதங்களுக்குப் பின்னர் அவர் வங்கிக் கணக்கில் எவ்வளவு தொகை இருக்கும்?

6. ஒரு மாதிரியில் காணப்படும் கதிரியக்க அணுக்கருக்கள் சிதைவுறும் வீதமானதுஅந்நேரத்தில் அந்த மாதிரியில் காணப்படும் அணுக்கருக்களின் எண்ணிக்கைக்கு விகிதமாக அமைந்துள்ளது. 100 ஆண்டு கால இடைவெளியில் ஒரு மாதிரியில் ஆரம்பத்தில் காணப்படும் கதிரியக்க அணுக்கருக்களின் எண்ணிக்கையில் 10% சிதைவுறுகிறது. 1000 ஆண்டுகள் முடிவில் ஆரம்பத்தில் காணப்படும் கதிரியக்க அணுக்கருக்களின் எண்ணிக்கையில் எவ்வளவு மீதமிருக்கும்?

7. வெப்பநிலை 25°C ஆக உள்ள ஒரு அறையில் வைக்கப்பட்டுள்ள நீரின் வெப்பநிலை 100° C ஆகும். 10 நிமிடங்களில் நீரின் வெப்பநிலை 80°C ஆகக் குறைந்து விடுகிறது எனில்,
(i) 20 நிமிடங்களுக்குப் பின்னர் நீரின் வெப்பநிலை
(ii) வெப்பநிலை 40° C ஆக இருக்கும் போது நேரம் காண்க.
[ loge (11/15) = −0.3101; loge 5 = 1.6094 ]

8. காலை 10.00 மணிக்கு பெண் ஒருவர் தன்னுடைய மைக்ரோ அலை சமையல் அடுப்பிலிருந்து சூடான காபியை வெளியில் எடுத்து அது குளிர்வதற்காக அருகில் உள்ள சமையல் அறையில் வைக்கிறார். அந்நேரத்தில் காபியின் வெப்பநிலை 180°F ஆகும். மேலும், 10 நிமிடங்களுக்குப் பிறகு அதன் வெப்பநிலை 160°F ஆகும். சமையல் அறையின் நிலையான வெப்பநிலை 70° F எனில்
(i) காலை 10.15 மணிக்கு காபியின் வெப்பநிலைக் காண்க. [ log(9/11) = −0.6061]
(ii) வெப்பநிலை 130°F க்கும் 140°F க்கும் இடைப்பட்டதாக இருக்கும் போது அவர் காபியைஅருந்த நினைத்தால், எந்நேரத்திற்கு இடையில் அவர் காபியை அருந்த வேண்டும்? [log 6/11 = -2006]

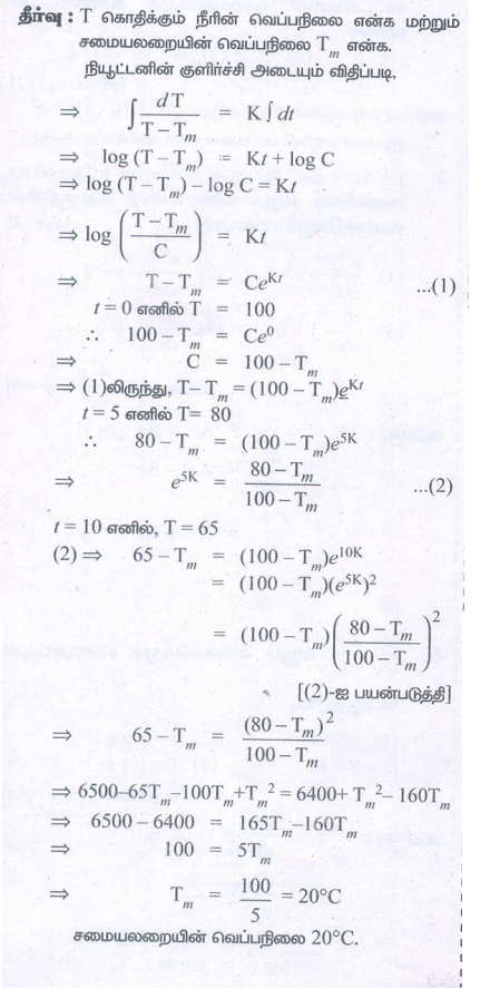
9. ஒரு பாத்திரத்தில் 100°C வெப்பநிலையில் கொதித்துக் கொண்டிருக்கும் நீரானது t = 0 எனும் நேரத்தில் அடுப்பின் மீது இருந்து இறக்கி குளிர்வதற்காக சமையலறையில் வைக்கப்படுகிறது. 5 நிமிடங்களுக்குப் பிறகு நீரின் வெப்பநிலை 80°C ஆகக் குறைகிறது. மேலும், அடுத்த 5 நிமிடங்களுக்குப் பிறகு நீரின் வெப்பநிலை 65°C ஆக குறைகிறது எனில், சமையலறையின் வெப்பநிலையைக் காண்க.

10. ஆரம்பத்தில் ஒரு தொட்டியில் 50 லிட்டர் தூய்மையான தண்ணீர் உள்ளது. தொடக்க நேரம் t = 0 -ல் ஒரு லிட்டர் ஒரு லிட்டர் நீரில் 2 கிராம் வீதம் கரைக்கப்பட்ட உப்புக் கரைசலானது ஒரு நிமிடத்திற்கு 3 லிட்டர் வீதம் தொட்டியில் விடப்படுகிறது. இக்கலவையானது தொடர்ந்து கலக்கப்பட்டு சீராக வைக்கப்படுகிறது. மேலும், அதே நேரத்தில் நன்கு கலக்கப்பட்ட இக்கலவையானது அதே வீதத்தில் தொட்டியிலிருந்து வெளியேறுகிறது. t > 0 எனும் ஏதேனும் ஒரு நேரத்தில் தொட்டியில் உள்ள உப்பின் அளவினைக் காண்க.

1. எனவே 10 மணி நேர முடிவில் பாக்டீரியாக்களின் எண்ணிக்கை தொடக்கத்தில் இருந்தது போல் 9 மடங்காகும்
2. P = 300000 (4/3)t/40
3. i = Ce – Rt/L
4. v = 10/e2
5. P = 10000e0.075
6. எனவே 1000 ஆண்டுகள் முடிவில் மீதம் இருக்கும் அணுக்களின் எண்ணிக்கை
7. (i) 65.33ºC (ii) 51.91 mts
8. (i) T ≈ 151ºF (ii) t = 22.523. 10.22 நிமிடத்திலிருந்து 10.30 நிமிடத்திற்குள் அவர் காபியை அருந்த வேண்டும் .
9. 20º
10. x = 100 ( 1− e − 3t/50)