சாதாரண வகைக்கெழுச் சமன்பாடுகள் | கணிதவியல் - பயிற்சி 10.9 : சரியான அல்லது மிகவும் ஏற்புடைய விடையினைத் தேர்ந்தெடுக்கவும் | 12th Maths : UNIT 10 : Ordinary Differential Equations
பயிற்சி 10.9
கொடுக்கப்பட்ட நான்கு மாற்று விடைகளிலிருந்து சரியான அல்லது மிகவும் ஏற்புடைய விடையினைத் தேர்ந்தெடுக்கவும் :
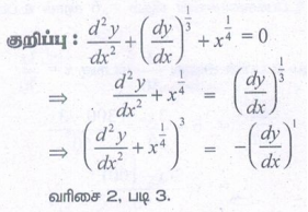
1.
எனும் வகைக்கெழுச் சமன்பாட்டின் வரிசை மற்றும் படி முறையே
(1) 2, 3
(2) 3, 3
(3) 2, 6
(4) 2, 4
விடை : (1) 2, 3

2. y = A cos(x + B), இங்கு A, B என்பன எதேச்சை மாறிலிகள் எனும் சமன்பாட்டைக் கொண்ட வளைவரை குடும்பத்தின் வகைக்கெழுச் சமன்பாடு
(1) d2y/dx2 –y = 0
(2) d2y/dx2 + y = 0
(3) d2y/dx2 = 0
(4) d2x/dy2 = 0
விடை : (2) d2y/dx2 + y = 0

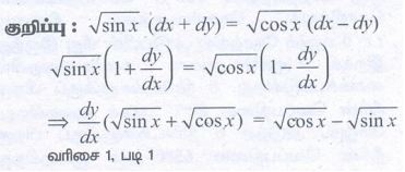
3. √sin x(dx+dy)=cosx(dx-dy) எனும் வகைக்கெழுச் சமன்பாட்டின் வரிசை மற்றும் படி
(1) 1, 2
(2) 2, 2
(3) 1, 1
(4) 2, 1
விடை : (3) 1, 1

4. மையம் (h, k) மற்றும் ஆரம் 'a' கொண்ட எல்லா வட்டங்களின் வகைக்கெழுச் சமன்பாட்டின் வரிசை
(1) 2
(2) 3
(3) 4
(4) 1
விடை : (1) 2

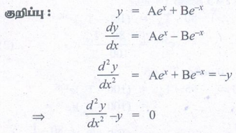
5. y = Aex + Be-x, இங்கு A, B என்பன ஏதேனும் இரு மாறிலிகள், எனும் வளைவரைத்தொகுதியின் வகைக்கெழுச் சமன்பாடு
(1) d2y/dx2 + y = 0
(2) d2y/dx2 – y = 0
(3) dy/dx + y = 0
(4)dy/dx – y = 0
விடை : (2) d2y/dx2 – y = 0

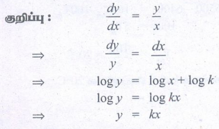
6. dy/dx = y/x எனும் வகைக்கெழுச் சமன்பாட்டின் பொதுத்தீர்வு
(1) xy = k
(2) y = k log x
(3) y = kx
(4) log y = kx
விடை : (3) y = kx

7. 2x dy/dx – y = 3 எனும் வகைக்கெழுச் சமன்பாட்டின் தீர்வு குறிப்பிடுவது
(1) நேர்க்கோடுகள்
(2) வட்டங்கள்
(3) பரவளையம்
(4) நீள்வட்டம்
விடை : (3) பரவளையம்

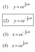
8. dy/dx + p(x)y = 0.-ன் தீர்வு

விடை :

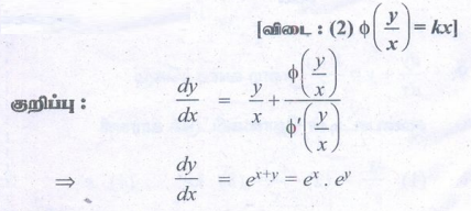
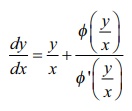
9. dy/dx + y = 1+y/x -என்ற வகைக்கெழுச் சமன்பாட்டின் தொகையீட்டுக் காரணி
(1) x/ex
(2) ex/x
(3) λex
(4) ex
விடை : (2) ex/x

10. dy/dx + P(x)y = Q(x) என்ற வகைக்கெழுச் சமன்பாட்டின் தொகையீட்டுக் காரணி x எனில்,P(x) என்பது
(1) x
(2) x2/2
(3) 1/x
(4) 1/x2
விடை : (3) 1/x
11.
எனும் வகைக்கெழுச் சமன்பாட்டின் படி
(1) 2
(2) 3
(3) 1
(4) 4
விடை : (3) 1
12. p மற்றும் q என்பன முறையே
எனும் வகைக்கெழுச்சமன்பாட்டின் வரிசை மற்றும் படி எனில்,
(1) p < q
(2) p = q
(3) p > q
(4) இவற்றில் எதுவுமில்லை
விடை : (3) p > q
குறிப்பு : p = 2, q = 1 p > q
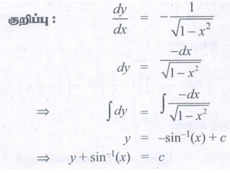
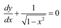
13. dy/dx + 1/ √1-x2 = 0
எனும் வகைக்கெழுச் சமன்பாட்டின் தீர்வு
(1) y + sin−1 x = c
(2) x + sin−1 y = 0
(3) y2 + 2 sin−1 x = C
(4) x2 + 2 sin−1 y = 0
விடை : (1) y + sin−1 x = c

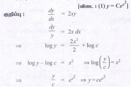
14. dy/dx = 2xy எனும் வகைக்கெழுச் சமன்பாட்டின் தீர்வு
(1) y = Cex2
(2) y = 2x2 + C
(3) y = Ce−x2 + C
(4) y = x2 + C
விடை : (1) y = Cex2

15. log(dy/dx) = x+y எனும் வகைக்கெழுச் சமன்பாட்டின் பொதுத்தீர்வு
(1) ex + ey = C
(2) ex + e-y = C
(3) e−x + ey = C
(4) e−x + e−y = C
விடை : (2) ex + e-y = C

16. dy/dx = 2y-x ன் தீர்வு
(1) 2x + 2y = C
(2) 2x - 2y = C
(3) 1/2x - 1/2y = C
(4) x + y = C
விடை : (3) 1/2x - 1/2y = C

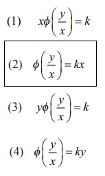
17.
எனும் வகைக்கெழுச் சமன்பாட்டின் தீர்வு

விடை :

18. dy/dx + Py = Q எனும் நேரியல் வகைக்கெழுச் சமன்பாட்டின் தொகையீட்டுக் காரணி sin xஎனில், P என்பது
(1) log sin x
(2) cos x
(3) tan x
(4) cot x
விடை : (4) cot x

19. வரிசை n மற்றும் n + 1 கொண்ட வகைக்கெழுச் சமன்பாடுகளின் பொதுத் தீர்வுகளில் உள்ளமாறத்தக்க மாறிலிகளின் எண்ணிக்கை முறையே
(1) n-1, n
(2) n, n+1
(3) n+1, n +2
(4) n+1, n
விடை : (2) n, n + 1
20. மூன்றாம் வரிசை வகைக்கெழுச் சமன்பாட்டின் குறிப்பிட்டத் தீர்வில் உள்ள மாறத்தக்க மாறிலிகளின் எண்ணிக்கை
(1) 3
(2) 2
(3) 1
(4) 0
விடை : (4) 0
21. dy/dx = x+y+1 / x+1 எனும் வகைக்கெழுச் சமன்பாட்டின் தொகையீட்டுக் காரணி
(1) 1/x+1
(2) x+1
(3) 1/√x+1
(4) √x+1
விடை : (1) 1/x+1

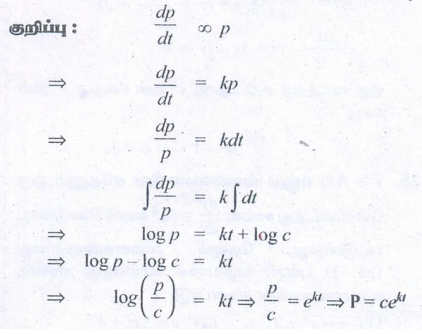
22. ஏதேனும் ஒரு வருடம் t-ல் உள்ள P-ன் பெருக்க வீதமானது மக்கள் தொகைக்கு விகிதமாக அமையும் எனில், பின்னர்
(1) P = Cekt
(2) P = Ce−k
(3) P = Ckt
(4) P = C
விடை : (1) P = Cekt

23. t எனும் நேரத்திற்குப் பிறகு மீதமுள்ள ஒரு பொருளின் அளவு P ஆகும். பொருள் ஆவியாகும்வீதமானது அந்நேரத்தில் மீதமிருக்கும் பொருளின் அளவிற்கு விகிதமாக அமைந்துள்ளது எனில், பின்னர்
(1) P = Cekt
(2) P = Ce−kt
(3) P = Ckt
(4) Pt = C
விடை : (2) P = Ce−kt

24. dy/dx = (ax+3/2y+f) எனும் வகைக்கெழுச் சமன்பாட்டின் தீர்வு ஒரு வட்டத்தைக் குறிக்குமானால்,a-ன் மதிப்பு
(1) 2
(2) -2
(3) 1
(4) -1
விடை : (2) -2

25. y = f(x) எனும் வளைவரையின் ஏதேனும் ஒரு புள்ளியிடத்து சாய்வு dy/dx = 3x2 எனக்கொடுக்கப்பட்டுள்ளது. மேலும் வளைவரையானது (-1,1) புள்ளி வழியாகச் செல்கிறது எனில், வளைவரையின் சமன்பாடு
(1) y = x3 + 2
(2) y = 3x2 + 4
(3) y = 3x3 + 4
(4) y = x3 + 5
விடை : (1) y = x3 + 2

பயிற்சி 10.9
