கேள்விகளுக்கான பதில்கள், தீர்வுகள் - பயிற்சி 2.7: கலப்பு எண்களின் துருவ வடிவம் மற்றும் ஆய்லர் வடிவம் (Polar and Euler form of a Complex Number) | 12th Maths : UNIT 2 : Complex Numbers
பயிற்சி 2.7
1. கீழ்காணும் கலப்பெண்களின் துருவ வடிவினைக் காண்க.
(i) 2 + i2√3

(ii) 3 − i√3

(iii) −2 − i2



2. பின்வருவனவற்றை செவ்வக வடிவில் எழுதுக.


3. (x1 + iy1) (x2 + iy2) (x3 + iy3) ... (xn + iyn) = a + ib எனில்,
(i) (x12 + y12) (x22 + y22) (x32 + y32) ... (xn2 + yn2) = a2 + b2

(ii)
, k ∈ ℝ எனக்காட்டுக.

4. (1 + z)/(1− z) = cos 2θ + isin 2θ , z = i tan θ என நிறுவுக.

5. cos α + cos β + cos γ = sin α + sin β + sin γ = 0, எனில்,
(i) cos 3α + cos 3β + cos 3γ = 3cos(α + β + γ) மற்றும்
(ii) sin 3α + sin 3β + sin 3γ = 3 sin (α + β + γ) என நிறுவுக.

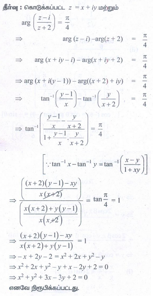
6. z = x + iy மற்றும் arg [(z − i)/(z + 2)] = π/4 எனில், x2 + y2 + 3x − 3y + 2 = 0 எனக்காட்டுக.
