இயற்பியல் - இயக்கவியல் : முக்கியமான கேள்விகள் | 11th Physics : UNIT 2 : Kinematics
சிறுவினாக்கள்
1. கார்டீசியன் ஆய அச்சுத்தொகுப்பு என்றால் என்ன?
2. வெக்டர் - வரையறு, எடுத்துக்காட்டுகள் தருக.
3. ஸ்கேலர் - வரையறு, எடுத்துக்காட்டுகள் தருக.
4. இரண்டு வெக்டர்களின் ஸ்கேலர் பெருக்கல் பற்றி சிறுகுறிப்பு வரைக.
5. இரண்டு வெக்டர்களின் வெக்டர் பெருக்கல் பற்றி சிறுகுறிப்பு வரைக.
6. இரண்டு வெக்டர்கள் ஒன்றுக்கொன்று செங்குத்தாக உள்ளனவா என எவ்வாறு கண்டறிவாய்?
7. இடப்பெயர்ச்சி மற்றும் கடந்தத் தொலைவை வரையறு.
8. திசைவேகம் மற்றும் வேகத்தை வரையறு.
9. முடுக்கம் வரையறு.
10. திசைவேகம், மற்றும் சராசரித் திசைவேகம் இவற்றிக்கிடையேயான வேறுபாடுகள் யாவை?
11. ஒரு ரேடியன்-வரையறு.
12. கோண இடப்பெயர்ச்சி மற்றும் கோணத் திசைவேகம் இவற்றை வரையறு.
13. சீரற்ற வட்ட இயக்கம் என்றால் என்ன?
14. கோண இயக்கத்தின் இயக்க சமன்பாடுகளை எழுதுக.
15. சீரற்ற வட்ட இயக்கத்தில் தொகுபயன் முடுக்கம் - ஆரவெக்டருடன் ஏற்படுத்தும் கோணத்திற்கான கோவையை எழுதுக.
நெடு வினாக்கள்
1. வெக்டர் கூடுதலின் முக்கோண விதியை விரிவாக விளக்கவும்.
2. ஸ்கேலார் மற்றும் வெக்டர் பெருக்கல்களின் பண்புகளை விவரி.
3. மாறாத முடுக்கம் பெற்ற பொருளின் இயக்கச்சமன்பாடுகளை வருவிக்கவும்.
4. பின்வரும் பொருட்களின் இயக்கச் சமன்பாடுகளை வருவிக்கவும்.
5. கிடைத்தளத்துடன் θ கோணம் சாய்வாக எறியப்பட்ட எறிபொருள் ஒன்றின் கிடைத்தள நெடுக்கம், மற்றும் பெரும உயரம் ஆகியவற்றிற்கான சமன்பாடுகளைப் பெறுக.
6. மையநோக்கு முடுக்கத்திற்கான கோவையைப் பெறுக.
7. சீரற்ற வட்ட இயக்கத்தின் தொகுபயன் முடுக்கத்திற்கான கோவையைப் பெறுக.
பயிற்சி கணக்குகள்
1. துகளொன்றின் நிலை வெக்டரின் நீளம் 1m. அது x அச்சுடன் 30° கோணத்தில் உள்ளது எனில், நிலைவெக்டரின் x மற்றும் y கூறுகளின் நீளங்களைக் காண்க.




6. பொருளொன்றை கிடைத்தளத்துடன் எக்கோணத்தில் எறிந்தால், அப்பொருளின் கிடைத்தள நெடுக்கம் பெரும உயரத்தைப் போன்று நான்கு மடங்காக இருக்கும்?
[விடை : θ = 45°]

7. பின்வரும் திசைவேகம் - நேரம் வரைபடங்களினால் குறிப்பிடப்படும் துகளின் இயக்க வகையினைக் காண்க.

விடைகள்:
a)
= மாறிலி துகள் சீரான முடுக்கத்துடன் இயங்குகிறது.
b)
= மாறிலி துகள் சீரான திசைவேகத்துடன் இயங்குகிறது - முடுக்கம் சுழி
c)
= மாறிலி ஆனால் முதல் வரைபடத்தை விட அதிகம் சுழி நிலையில் இல்லை முடுக்கம் சீராக உயர்கிறது
d)
= மாறக்கூடியது சமகால இடைவெளியில் திசைவேகத்தின் பெரும மாற்றம் காட்டுகிறது. சீரான முடுக்கம் உள்ளது
8. நேர்குறி x அச்சுத்திசையில் இயங்கும் துகளொன்றின் திசைவேகம் - நேரம் வரைபடம் காட்டப்பட்டுள்ளது. 0 விலிருந்து 7 வினாடி வரை உள்ள கால இடைவெளியில் அத்துகளின் இயக்கத்தினைப் பகுப்பாய்வு செய்க. மேலும் 0 முதல் 2 வினாடி வரை துகள் அடைந்த இடப்பெயர்ச்சி மற்றும் அத்துகள் கடந்த தொலைவு ஆகியவற்றைக் கணக்கிடுக.

விடைகள் :

(a) + 0 முதல் 1.55 வரை துகள் எதிர்திசையில் இயங்குகிறது.
● 1.5s முதல் 2s வரை துகளின் திசைவேகம் அதிகரிக்கிறது.
● 2s முதல் 5s வரை துகளின் திசைவேகம் மதிப்பு 1ms-1 என்பது மாறிலியாக உள்ளது.
● 5s முதல் 6s வரை துகளின் திசைவேகம் குறைக்கிறது.
● 6s முதல் 7s வரை துகள் ஒய்வு நிலையில் உள்ளது.
(b) தொலைவு = (v-t) வரைபடத்தின் பரப்பு
= ½ × 2 × 1.5 + ½ × 1 × 0.5
தொலைவு = 1.5 + 0.25 = 1.75 m
இடப்பெயர்ச்சி = ½ × 2 × 1.5 + ½ × 1 × 0.5
= -1.5 + 0.25
இடப்பெயர்ச்சி = -1.25 m
9. பொருளொன்று கிடைத்தளத்துடன் θ கோணத்தில் எறியப்படுகின்றது. இந்நிகழ்வினை அடிப்படையாகக் கொண்டு கீழ்க்கண்டவற்றைப் பொருத்துக.
vx = குறையும் மற்றும் அதிகரிக்கும்.
vy = மாறாது
முடுக்கம் = மாற்றமடையும்
நிலை வெக்டர் = எப்போதும் கீழ்நோக்கிச் செயல்படும்.

விடை :
vx = மாறாது
vy = குறையும் மற்றும் அதிகரிக்கும்.
முடுக்கம் = எப்போதும் கீழ்நோக்கிச் செயல்படும்.
நிலை வெக்டர் = மாற்றமடையும்
10. தரையிலுள்ள நீர்த்தெளிப்பான் ஒன்று அதனைச் சுற்றியுள்ள பகுதி முழுவதும் நீரினைத் தெளிக்கிறது. நீர்த்தெளிப்பானி லிருந்து வெளியேறும் நீரின் வேகம் v எனில் நீர் தெளிக்கப்பட்ட பரப்பினைக் காண்க.
நீரின் வேகம் = v
பெரும நெடுக்கம் θ = 45°

11. பின்வரும் அட்டவணை வெவ்வேறு கோள்களில் எறியப்பட்ட எறிபொருள் அடைந்த கிடைத்தள நெடுக்கத்தினைக் காட்டுகிறது. அனைத்து பொருட்களும் ஒரே கிடைத்தள கோணத்துடனும் சம ஆரம்பத்திசை வேகத்துடனும் எறியப்பட்டுள்ளன. இவ்விவரங் களிலிருந்து மிக அதிக மற்றும் மிகக் குறைந்த ஈர்ப்பு முடுக்கமுடைய கோள்களைக் கண்டுபிடி. மேலும் கோள்களை அவற்றின் ஈர்ப்பு முடுக்கத்தின் (g) அடிப்படையில் ஏறுவரிசையில் அமைக்கவும்.

கோள் - கிடைத்தள வீச்சு
வியாழன் 50m
புவி 75m
செவ்வாய் 90m
புதன் 95m
நெடுக்கம் = v2/g sin 2θ
ஃ g α 1 / நெடுக்கம்
புவிஈர்ப்பு முடுக்கத்தை பொருத்து கோள்களின் ஏறுவரிசை புதன், செவ்வாய், புவி, வியாழன். வியாழன் - g மதிப்பு பெரியது, புதன் - g மதிப்பு சிறியது.
12. A மற்றும் B வெக்டர்களின் தொகுபயன் வெக்டர், A வெக்டருக்கு செங்குத்தாக உள்ளது. மேலும் தொகுபயன் வெக்டரின் எண்மதிப்பு B வெக்டரின் எண்மதிப்பில் பாதியாக உள்ளது எனில், A மற்றும் B வெக்டர்களுக்கு இடைப்பட்ட கோணத்தின் மதிப்பு என்ன?
a) 30° b) 45° c) 150° d) 120°
C = 1/2
(எண் மதிப்பு பாதி)
α = 90° (செங்குத்தாக)
A + B = C

13. கொடுக்கப்பட்ட வெக்டர்களின் கூறுகளை ஒப்பிடுக.

விடை:
a) T - mg = ma

d) T + mg = ma
14.
வெக்டர்களை பக்கங்களாகக் கொண்ட முக்கோணத்தின் பரப்பினைக் கணக்கிடுக.

பரப்பு = 21 பரப்பு அலகு
[விடை: பரப்பு = 21]
15. ஒரு முழு சுற்றினை நிறைவு செய்ய புவி எடுத்துக் கொள்ளும் நேரம் 24 மணி நேரமாகும். இந்நிலையில் புவி ஒரு மணி நேரத்தில் அடைந்த கோண இடப்பெயர்ச்சியைக் கணக்கிடுக. விடையை ரேடியன் மற்றும் டிகிரி இரண்டிலும் தருக.
பூமியின் அலைவுக்காலம் = 24 மணி
பூமி 24 மணி நேரத்தில் 360° கோணம் கடக்கிறது.
1 மணி நேரத்தில் கோண இடப்பெயர்ச்சி =
360° / 24° = 15° = π/12
ரேடியனில் கோண இடப்பெயர்ச்சி = 15° / 57.295°
= 0.26 rad
16. எறிபொருளொன்று 30° எறிகோணத்தில் எறியப்படுகிறது. அதன் ஆரம்பத்திசைவேகம் 5ms-1 எனில் எறிபொருள் அடைந்த பெரும உயரம் மற்றும் கிடைத்தள நெடுக்கத்தைக் கணக்கிடுக.

17. ஒரு கால்பந்து வீரர் 20 ms-1 திசைவேகத்தில் கிடைத்தளத்துடன் 30° கோணத்தில் பந்து ஒன்றினை உதைக்கிறார். பந்தின் இயக்கம் படத்தில் காட்டப்பட்டுள்ளது. இலக்குக் கம்பங்கள் (goal post) அவரிடமிருந்து 40m தொலைவில் உள்ளன, பந்து இலக்கினை அடையுமா?

u = 20 ms-1, θ = 30°, இலக்கு கம்பத்தின் தொலைவு = 40m

பந்தின் நெடுக்கம் 35.35 m. ஆனால் இலக்கு கம்பம் 40 m தொலைவில் உள்ளது. எனவே பந்து இலக்கு கம்பத்தை அடையாது.
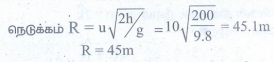
18. 100m உயரம் உள்ள கட்டிடம் ஒன்றின் உச்சியிலிருந்து, 10ms-1 திசைவேகத்துடன் எறிபொருளொன்று கிடைத்தளத்தில் வீசி எறியப்படுகிறது. எறிபொருள் அடைந்த கிடைத்தள நெடுக்கம் என்ன?
u = 10 ms-1, h = 100 m, R =?
g = -9.8 m/s2

[விடை : R= 45 m]
19. பொருளொன்று π/12 rads-1 என்ற கோண - வேகத்துடன் சீரான வட்ட இயக்கத்தினை மேற்கொள்கிறது. t = 0 வினாடியில் அப்பொருள் A புள்ளியிலிருந்து வட்ட இயக்கத்தினை மேற்கொள்கிறது எனக் கருதுக. 4 வினாடிகளுக்குப் பிறகு அப்பொருள் அடைந்த கோண இடப்பெயர்ச்சி என்ன?
கோணதிசைவேகம் = π /12 rads/s
கோணதிசைவேகம் = கோண இடப்பெயர்ச்சி / காலம் = θ/t

20. x அச்சினை கிழக்குத் திசையாகவும் y அச்சினை. வடக்குத்திசையாகவும் மேலும் z அச்சினை செங்குத்தான மேல்நோக்கிய திசையாகவும் கருதி கீழ்க்கண்டவற்றை வெக்டர் முறையில் குறிப்பிடுக.
(a) 5மீட்டர் வடகிழக்கு மற்றும் 2மீட்டர் மேல் நோக்கியத் திசையில்
(b) 4மீட்டர் தென்கிழக்கு மற்றும் 3மீட்டர் மேல் நோக்கியத் திசையில்
(c) 2மீட்டர் வடமேற்கு மற்றும் 4மீட்டர் மேல் நோக்கியத் திசையில்


21. நிலவு, புவியை தோராயமாக 27 நாட்களுக்கு ஒருமுறை முழு சுற்று சுற்றி வருகிறது. இந்நிலையில் நிலவு ஒரு நாளில் பூமியை சுற்றும் கோணத்தின் மதிப்பு என்ன?
நிலவின் அலைவுக்காலம் = 27 மணி
27 நாட்களில் நிலவு 360° கோணம் சுழல்கிறது.
ஒரு நாளில் நிலவு சுற்றும் கோணம் = 360°/27 = 13°3’
22. m நிறையுடைய பொருளொன்றின் கோண முடுக்கம் α = 0.2 rad s-2 வினாடிகளில் அப்பொருள் எவ்வளவு கோண இடப்பெயர்ச்சியை அடையும்? (பொருள் சுழி திசைவேகத்துடன் சுழி கோணத்தில் தன்னுடைய இயக்கத்தை துவக்குகிறது எனக் கருதுக).

1 rad = 57.295°= 0.9 × 57.295°
θ = 51°
[விடை: 0.9 rad or 51°]