எடுத்துக்காட்டு கணக்குகள் - மடக்கை வகையிடல் (Logarithmic Differentiation) | 11th Mathematics : UNIT 10 : Differential Calculus: Differentiability and Methods of Differentiation
மடக்கை வகையிடல் (Logarithmic Differentiation)
y = xx போன்ற சார்பினைத் தவிர, வகையிடல் விதிகளையும், அடிப்படைச் சார்புகளின் வகையிடல் அட்டவணையையும் பயன்படுத்துவதன் மூலம் தொடக்கத்தில் பயன்படுத்தப்படும் எந்தவொரு சார்பிற்கும் எளிதாக வகையிடல் காண இயலும். இத்தகைய சார்புகள் அடுக்கு/படிக்குறி சார்புகளாக குறிப்பிடப்படுகின்றன. இவற்றில் பொதுவாக அந்த சார்பின் அடிமானமும், படியும் சாரா மாறியைப் பொறுத்ததாக அமையும்.
அடுக்குப் படிக்குறிச் சார்பான y = x x -க்கு வகையிடல் காண இரு பக்கமும் மடக்கையினை பயன்படுத்த வேண்டும்.
log y = x log x, x > 0 எனக் கிடைக்கும்.
இது ஒரு முற்றொருமையாதலால் இடப்பக்க வகைக்கெழுவும் வலப்பக்க வகைக்கெழுவும் சமமாக இருத்தல் வேண்டும். x-ஐப் பொறுத்து வகையிடலின்போது (இடப்பக்கத்தில் உள்ள சார்பு, சார்பின் சார்பு என்பதை நினைவில் கொள்க)

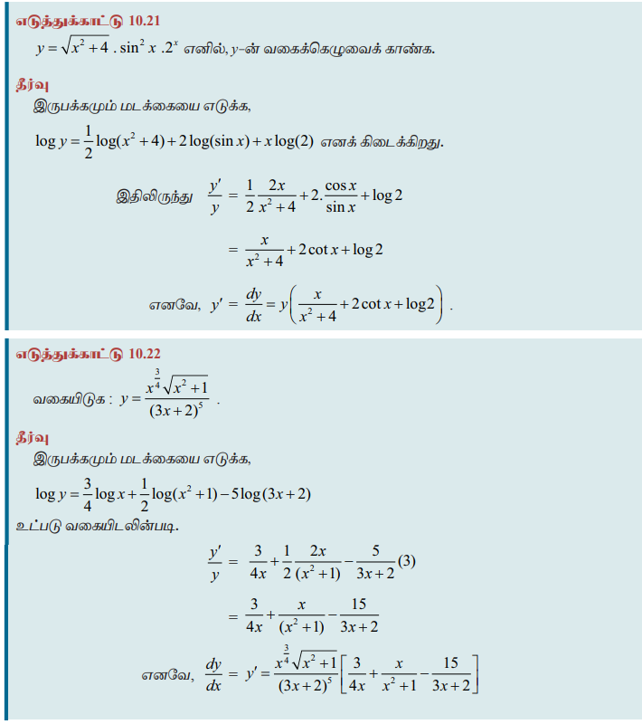
ƒ(x) என்ற சார்பினுக்கு மடக்கை கண்டு (e அடிமானம்) பின்னர் வகையிடலைப் பயன்படுத்தும் முறை மடக்கை வகையிடல் என்று அழைக்கப்படுகிறது.

இம்முறையின் மூலம் பெருக்கல், வகுத்தல் அல்லது அடுக்குகள் கொண்ட கடினமான சார்புகளின் வகையீடுகளை மடக்கை வகையிடலைப் பயன்படுத்தி எளிதாகக் காணலாம்.

(1) y = ƒ(x) என்ற சமன்பாட்டின் இருமருங்கும் இயற்கை மடக்கை எடுத்து மடக்கை விதிகளைப் பயன்படுத்தி எளிமையாக்குதல் வேண்டும்.
(2) x -ஐப் பொறுத்து உட்படு வகையிடல் காணவேண்டும்.
(3) y-க்காகத் தீர்வு காணுதல் வேண்டும்.
பொதுவாக, படிக்குறி மற்றும் அடிமானம் பொறுத்து நான்கு வகைகள் உள்ளன.
