உறவுகளும் சார்புகளும் | கணக்கு - பலவுள் தெரிவு வினாக்கள் | 10th Mathematics : UNIT 1 : Relation and Function
பயிற்சி 1.6
பலவுள் தெரிவு வினாக்கள்
1. n(A× B) = 6 மற்றும் A = {1,3} எனில், n(B) ஆனது
(அ) 1
(ஆ) 2
(இ) 3
(ஈ) 6
தீர்வு

2. A = {a, b, p}, B = {2, 3}, C = {p, q, r, s} எனில், n[(A ∪ C)× B] ஆனது
(அ) 8
(ஆ) 20
(இ) 12
(ஈ) 16
தீர்வு

3. A = {1,2}, B = {1,2,3,4}, C = {5,6} மற்றும் D = {5, 6, 7, 8} எனில் கீழே கொடுக்கப்பட்டவைகளில் எது சரியான கூற்று?
(அ) (A×C) ⊂ (B × D)
(ஆ) (B × D) ⊂ (A×C)
(இ) (A× B) ⊂ (A× D)
(ஈ) (D × A) ⊂ (B × A)
தீர்வு

4. A = {1, 2, 3, 4, 5} - லிருந்து, B என்ற கணத்திற்கு 1024 உறவுகள் உள்ளது எனில் B –ல் உள்ள உறுப்புகளின் எண்ணிக்கை
(அ) 3
(ஆ) 2
(இ) 4
(ஈ) 8
தீர்வு

5. R = {(x, x2) | x ஆனது 13-ஐ விடக் குறைவான பகா எண்கள்} என்ற உறவின் வீச்சகமானது
(அ) {2,3,5,7}
(ஆ) {2,3,5,7,11}
(இ) {4,9,25,49,121}
(ஈ) {1,4,9,25,49,121}
தீர்வு

6. (a + 2, 4) மற்றும் (5,2a + b) ஆகிய வரிசைச் சோடிகள் சமம் எனில், (a, b) என்பது
(அ) (2, -2)
(ஆ) (5, 1)
(இ) (2, 3)
(ஈ) (3, -2)
தீர்வு

7. n(A) = m மற்றும் n(B) = n என்க. A -லிருந்து B -க்கு வரையறுக்கப்பட்ட வெற்று கணமில்லாத உறவுகளின் மொத்த எண்ணிக்கை
(அ) mn
(ஆ) nm
(இ) 2mn – 1
(ஈ) 2mn
தீர்வு
உறவுகளின் மொத்த எண்ணிக்கை = 2pq = 2mn
8. {(a, 8), (6, b)} ஆனது ஒரு சமனிச் சார்பு எனில், a மற்றும் b மதிப்புகளாவன முறையே
(அ) (8,6)
(ஆ) (8,8)
(இ) (6,8)
(ஈ) (6,6)
தீர்வு

9. Let A = {1, 2, 3, 4} and B = {4, 8, 9,10} என்க. சார்பு f: A → B ஆனது f = {(1, 4),(2, 8),(3, 9),(4,10)} எனக் கொடுக்கப்பட்டால் f -என்பது
(அ) பலவற்றிலிருந்து ஒன்றுக்கான சார்பு
(ஆ) சமனிச் சார்பு
(இ) ஒன்றுக்கொன்றான சார்பு
(ஈ) உட்சார்பு
தீர்வு

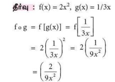
10. f (x) = 2x2 மற்றும் g(x) = 1/3x எனில் f o g ஆனது

விடை: (இ)
தீர்வு

11. f: A → B ஆனது இருபுறச் சார்பு மற்றும் n(B) = 7 எனில் n(A) ஆனது
(அ) 7
(ஆ) 49
(இ) 1
(ஈ) 14
தீர்வு

12. f மற்றும் g என்ற இரண்டு சார்புகளும்
f = {(0,1), (2,0), (3,-4), (4,2), (5,7)}
g = {(0, 2), (1, 0), (2, 4), (-4, 2), (7, 0)} எனக் கொடுக்கப்பட்டால் f o g-ன் வீச்சகமானது
(அ) {0,2,3,4,5}
(ஆ) {-4,1,0,2,7}
(இ) {1,2,3,4,5}
(ஈ) {0,1,2}
தீர்வு

13. f(x) =
எனில்
(அ) f (xy) = f (x).f (y)
(ஆ) f (xy) ≥ f (x).f (y)
(இ) f (xy) ≤ f (x).f (y)
(ஈ) இவற்றில் ஒன்றுமில்லை
தீர்வு

14. g = {(1,1), (2,3), (3, 5), (4,7)} என்ற சார்பானது g(x) = αx + β எனக் கொடுக்கப்பட்டால் α மற்றும் β - வின் மதிப்பானது
(அ) (-1,2)
(ஆ) (2, -1)
(இ) (-1, -2)
(ஈ) (1,2)
தீர்வு

15. f (x) = (x + 1)3 − (x − 1)3 குறிப்பிடும் சார்பானது
(அ) நேரிய சார்பு
(ஆ) ஒரு கனச் சார்பு
(இ) தலைகீழ்ச் சார்பு
(ஈ) இருபடிச் சார்பு
தீர்வு

விடைகள் :
