ஓம் விதி: தீர்க்கப்பட்ட எடுத்துக்காட்டு சிக்கல்கள்
எடுத்துக்காட்டு 2.5
24 Ω மின்தடையின் குறுக்கே மின்னழுத்த வேறுபாடு 12 V எனில், மின்தடை வழியே செல்லும் மின்னோட்டத்தின் மதிப்பு என்ன?
தீர்வு

V= 12 V மேலும் R = 24Ω
மின்னோட்டம், I = ?
ஓம் விதியிலிருந்து, I = V/R = 12/24 = 0.5 A
மின்தடை எண்: தீர்க்கப்பட்ட எடுத்துக்காட்டு சிக்கல்கள்
எடுத்துக்காட்டு 2.6
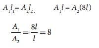
ஒரு கம்பியின் மின்தடை 20 Ω. இக்கம்பி தனது ஆரம்ப நீளத்திலிருந்து எட்டு மடங்கு நீளம் அதிகரிக்குமாறு சீராக நீட்டப்பட்டால், கம்பியின் புதிய மின்தடை என்ன?
தீர்வு
R1 = 20Ω, R2= ?
ஆரம்ப நீளம் I1, என்பதை l எனக் கொள்வோம்.
புதிய நீளம், I2, = 8l1, அதாவது l2, = 8l
ஆரம்ப மின்தடை, 
புதிய மின்தடை 
கம்பி நீட்டப்பட்டாலும், அதன் பருமன் மாறாது.
ஆரம்ப பருமன் = இறுதி பருமன்


எனவே, கம்பியை நீட்டும் போது அதன் மின்தடையும் அதிகரிக்கிறது.
எடுத்துக்காட்டு 2.7
படத்தில் காட்டப்பட்டுள்ளவாறு A உயரம், B அகலம் மற்றும் C நீளம் கொண்ட ஒரு செவ்வக வடிவ உலோக பெட்டியைக் கருதுவோம்.

பெட்டியின் A மற்றும் B முகங்களுக்கிடையே V என்ற மின்னழுத்த வேறுபாடு அளிக்கப்படுகிறது எனில் (படம் (அ)) IABஎன்றமின்னோட்டம் பாய்கிறது. பெட்டியின் B மற்றும் C முகங்களுக்கிடையே V என்ற அதே மின்னழுத்த வேறுபாட்டை அளித்தால் (படம் (ஆ)) உருவாகும் மின்னோட்டத்தை கண்டுபிடி. உனது விடையை மின்னோட்டம் IAB மதிப்பின் மடங்காக எழுதுக?
தீர்வு
முதல் நேர்வில், பெட்டியின் மின்தடை

மின்தடையாக்கிகள் தொடரிணைப்பு மற்றும் பக்க இணைப்பு: தீர்க்கப்பட்ட
எடுத்துக்காட்டு சிக்கல்கள்
எடுத்துக்காட்டு 2.8
24 V மின்கலத்துடன் இணைக்கப்பட்டுள்ள 4Ω மற்றும் 6Ω மின்தடையாக்கிகளுக்கு குறுக்கே உள்ள மின்னழுத்த வேறுபாடுகளை காண்க. மேலும் இந்த மின்சுற்றில் உள்ள தொகுபயன் மின்தடையைக் காண்க.

தீர்வு
தொடரிணைப்பில் உள்ள மின்தடையாக்கிகளின்
தொகுபயன் மின்தடை = 4 Ω + 6Ω = 10Ω
மின்சுற்றில் பாயும் மின்னோட்டம் = V/Req = 24/10 = 2.4 A
4Ωமின்தடையாக்கியின் குறுக்கே உள்ளே மின்னழுத்த வேறுபாடு

6Ω மின்தடையாக்கியின் குறுக்கே உள்ளே மின்னழுத்த வேறுபாடு

எடுத்துக்காட்டு 2.9
பின்வரும் மின்சுற்றில் தொகு பயன் மின்தடையைக் காண்க. மேலும் I, I1மற்றும் 12 ஆகிய மின்னோட்டங்களையும் கண்டுபிடி

தீர்வு
மின்தடையாக்கிகள் பக்க இணைப்பில் இணைக்கப்பட்டுள்ளதால், தொகுபயன் மின்தடை

மின்தடையாக்கிகள் பக்க இணைப்பில் உள்ளதால், எல்லா மின்தடையாக்கிகளின் குறுக்கேயும் மின்னழுத்த வேறுபாடு சமமாக இருக்கும்.

மின்சுற்றில் பாயும் மொத்த மின்னோட்டம்

எடுத்துக்காட்டு 2.10
இரண்டு மின்தடையாக்கிகள் தொடரிணைப்பு மற்றும் பக்க இணைப்புகளில் இணைக்கப்படும் போது தொகுபயன் மின்தடைகள் முறையே 15 Ωமற்றும் 56/15 Ωஎனில் தனித்தனி மின்தடைகளின்மதிப்புகளை காண்க.
தீர்வு


சமன்பாடு (1) லிருந்து R1 + R2 மதிப்பை சமன்பாடு (2) ல் பிரதியிட
சமன்பாடு (3) லிருந்து R2 ன் மதிப்பை சமன்பாடு (1) ல் பிரதியிட

இச்சமன்பாட்டை காரணிப்படுத்துதல் மூலமாகத் தீர்க்கலாம்.
R1= 8Ω எனில்
சமன்பாடு (1) இல் பிரதியிட
8 + R2 = 15
R2 = 15 - 8=7Ω,
R2=7Ω, i.e, (அதாவது R1 = 8Ω ; R2 =7Ω )
R1=70 எனில்
சமன்பாடு (1) இல் பிரதியிட
7 + R2= 15
R2 = 8Ω, i.e, (அதாவது R1 = 7 Ω; R2 = 8Ω )
எடுத்துக்காட்டு 2.11
கொடுக்கப்பட்டுள்ள படத்தில் உள்ள A மற்றும் B புள்ளிகளுக்கிடையே உள்ள தொகுபயன் மின்தடையைக் காண்க.

தீர்வு
பக்க இணைப்பு
பகுதி I
பகுதி II
பகுதி III
1/Rp3 = 1/6 + 1/6 = 2/6,
1/Rp3 = 1/3, Rp3 = 3 Ω
R = Rp1 + Rp2 + Rp3
R = 1Ω + 2Ω + 3Ω = 6Ω
மின்சுற்று பின்வருமாறு அமையும்,
எனவே A மற்றும் B புள்ளிகளுக்கிடையே தொகுபயன் மின்தடை 6 Ωஆகும்.

எடுத்துக்காட்டு 2.12
ஐந்து மின்தடையாக்கிகள் பின்வரும் படத்தில் காட்டியுள்ள வடிவமைப்பில் இணைக்கப்பட்டுள்ளன. aமற்றும் b புள்ளிகளுக்கிடையே உள்ள தொகுபயன் மின்தடையைக் காண்க.

தீர்வு
a மற்றும் b புள்ளிகளுக்கிடையே தொகுப்பயன் மின்தடையைக் காண, மின்னோட்டமானது a சந்தி வழியாக மின்சுற்றில் நுழைவதாக கொள்வோம். அமைப்பில் வெளிப்புற மின்தடைகள் அனைத்தும் சமமாக 1Ω அளவில் இருப்பதால் ac மற்றும் ad பிரிவுகளில் சம அளவு மின்னோட்டம் பாயும். இதனால் c மற்றும் d புள்ளிகள் சம மின்னழுத்தத்தில் அமைவதால் 5 Ω மின்தடையாக்கி வழியே எவ்வித மின்னோட்டமும் பாயாது. எனவே தொகுபயன் மின்தடையைக் காண 5Ω மின்தடையானது எவ்வித பங்கையும் செலுத்தாது. எனவே 5 Ω மின்தடையை நாம் புறக்கணித்து மின்சுற்றை பின்வருமாறு எளிமைப்படுத்தி வரையலாம்.

எனவே மின்சுற்றின் தொகுபயன் மின்தடை 1Ω.
எடுத்துக்காட்டு 2.13
20°C வெப்பநிலையில் ஒரு கம்பிச் சுருளின் மின்தடை 3Ω மற்றும் a = 0.004/°C எனில் 100°C வெப்பநிலையில் அதன் மின்தடையைக் காண்க?
தீர்வு
R0= 30 Ω, T = 100°C, T0 = 20°C
a = 0.004/°C, RT= ?
RT= R0(1 + a(T-T0))
R100= 3(1 + 0.004 x 80)
R100 = 3.96 Ω
எடுத்துக்காட்டு 2.14
20°C மற்றும் 40°C வெப்பநிலைகளில் ஒரு பொருளின் மின்தடைகள் முறையே 45Ω மற்றும் 85Ω ஆகும் எனில் அதன் வெப்பநிலை மின்தடை எண்ணைக் கண்டுபிடி.
தீர்வு
T0 = 20°C, T = 40°C, R0 = 45Ω, R = 85Ω
a= 1/R0∆R/∆T
a= 1/45 (85 – 45/40- 20) = 1/45 =(2)
a = 0.044 per°C