விளக்கம், சூத்திரங்கள், தீர்க்கப்பட்ட எடுத்துக்காட்டு சிக்கல்கள் - ஓம் விதி | 12th Physics : UNIT 2 : Current Electricity
ஓம்
விதி
ஓம் விதியானது
என்ற சமன்பாட்டிலிருந்து
பெறப்படுகிறது. l நீளமும் A குறுக்கு வெட்டு பரப்பும் கொண்ட கம்பியின் ஒரு பகுதியை
கருதுவோம்.

கம்பியின் முனைகளுக்கிடையே V எனும் மின்னழுத்த
வேறுபாட்டை அளிக்கும்போது, கம்பியில் நிகரமின்புலம் தோன்றிமின்னோட்டத்தை உருவாக்கும்.
கம்பியின் நீளம் முழுவதும் மின்புலமானது சீரானதாக உள்ளதாகக் கருதினால், மின்னழுத்த
வேறுபாடு (வோல்டேஜ்) V யை பின்வருமாறு எழுதலாம்.
V = EI
மின்னோட்ட
அடர்த்தியின் எண்மதிப்பு

அதேபோல் J = I/A எனவே சமன்பாடு (2.14) ஐபின்வருமாறு
எழுதலாம்

மேற்கண்ட சமன்பாட்டை மாற்றி அமைக்கும்போது,
நமக்கு கிடைப்பது

இச்சமன்பாட்டில்
என்பது கடத்தியின்மின்தடை
R ஆகும். இதிலிருந்து நாம் அறிவது,
ஒரு கடத்தியின் மின்தடையானது கடத்தியின் நீளத்திற்கு
நேர்த்தகவிலும், அக்கடத்தியின் குறுக்கு வெட்டுப் பரப்பிற்கு எதிர்த்தகவிலும் அமைகிறது
என்பதே. எனவே ஓம் விதியின் பயன்பாட்டு வடிவத்தை பின்வருமாறு எழுதலாம்.

மேற்கண்டசமன்பாட்டின்படி, கடத்தியின் மின்தடை
என்பது கடத்தியின் முனைகளுக்கிடையே உள்ள மின்னழுத்த வேறுபாட்டிற்கும் கடத்தியின் வழியே
மின்னோட்டத்திற்கும் உள்ள தகவாகும்.

மின்தடையின் SI அலகு ஓம் (Ω). சமன்பாடு
(2.16) இன் மூலம் நாம் அறிவது, மின்னோட்டம் மற்றும் மின்னழுத்த வேறுபாட்டிற்கும் (வோல்டேஜ்)இடைப்பட்ட
வரைபடம் ஒரு நேர்க்கோடாகும். இந்த நேர்கோட்டின் சாய்வு மின்தடை R ன் தலைகீழ் மதிப்புக்குச்
சமமாகும். இதனை படம் 2.8 (அ) ன் மூலம் உணரலாம்.

படம் 2.8 மின்னோட்டம் மற்றும் மின்னழுத்த வேறுபாடு
வரைபடம் (அ) ஓம் விதிக்கு உட்படும் கடத்தி (ஆ) ஓம் விதிக்கு உட்படாத கருவி (டையோடு).
[டையோடு பற்றி பனிரெண்டாம் வகுப்பு பாடம் 9ல் விவரிக்கப்பட்டுள்ளது].
ஒரு பொருளின் மீது செல்லும் மின்னோட்டம் மற்றும்
அப்பொருளின் குறுக்கே உள்ள மின்னழுத்த வேறுபாடு ஆகிய இரண்டிற்குமான வரைபடம் நேர்க்கோடாக
அமைந்தால், அப்பொருட்கள் ஓம் விதிக்கு உட்படும் பொருட்கள் ஆகும் (படம் 2.8 (அ)).
படம் 2.8 (ஆ) ல் உள்ளவாறு மின்னோட்டம் மற்றும்
மின்னழுத்த வேறுபாட்டிற்கான வரைபடம் நேர்கோடாக அமையாமல் சிக்கலான வடிவில் இருந்தால்
இவ்வகை பொருட்கள் அல்லது கருவிகள் ஓம் விதிக்கு உட்படுவதில்லை. மேலும் இவ்வகை பொருட்களுக்கு
மின்தடை மாறிலியாகவும் அமையாது.
எடுத்துக்காட்டு
2.5
24 Ω மின்தடையின்
குறுக்கே மின்னழுத்த வேறுபாடு 12 V எனில், மின்தடை வழியே செல்லும் மின்னோட்டத்தின்
மதிப்பு என்ன?
தீர்வு

V= 12 V மேலும் R = 24Ω
மின்னோட்டம், I = ?
ஓம் விதியிலிருந்து, I = V/R = 12/24 =
0.5 A
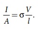
ஒரு கடத்தியின் மின்தடை

என முன்பகுதியில் கண்டோம். இங்கு σஎன்பது
அக்கடத்தியின் மின்கடத்து எண் ஆகும். இது கடத்தி செய்யப்பயன்படும் பொருளின் தன்மையை
மட்டுமே சார்ந்தது. ஆனால் கடத்தியின் அளவையோ, வடிவத்தையோ பொறுத்தது அல்ல.
ஒரு பொருளின் மின்தடை எண் என்பது அதன் மின்கடத்து
எண்ணின் தலைகீழ் மதிப்புக்குச் சமமாகும்.

சமன்பாடு (2.19) ஐப் பயன்படுத்தி சமன்பாடு
(2.18) ஐ மாற்றி அமைக்க

எனவே ஒரு பொருளின் மின்தடையானது அதன் நீளத்திற்கு
நேர்த்தகவிலும், அப்பொருளின் குறுக்கு வெட்டு பரப்பிற்கு எதிர்த்தகவிலும் அமையும்.மேலே
காணும் சமன்பாட்டில் உள்ள தகவு மாறிலிp ஆனது பொருளின் மின்தடை எண் எனப்படும்.
l = 1 m மற்றும் A = 1 m2 எனில்,
மின்தடை R = P ஆகும். இதனை வேறுவிதமாக கூறினால் பொருளின் மின்தடை எண் என்பது ஓரலகு
நீளமும் ஓரலகு குறுக்கு வெட்டு பரப்பும் கொண்ட கடத்தியானது மின்னோட்டத்திற்கு அளிக்கும்
மின்தடை ஆகும். இதன் SI அலகு ஓம் - மீட்டர் (Ωm).
மின்தடை எண்ணைப் பொருத்து பொருட்களை கடத்திகள்,
குறைக்கடத்திகள், மின் கடத்தாப்பொருட்கள் (Insulators) என வகைப்படுத்தலாம். கடத்திகள்
மிகக் குறைந்த மின் தடை எண்ணையும், மின்கடத்தாப்பொருட்கள் மிக அதிக மின்தடை எண்ணையும்
மற்றும் குறைகடத்திகளின் மின்தடை எண் கடத்திகளை விட அதிகமாகவும் ஆனால் மின்கடத்தாப்பொருட்களை
விட குறைவாகவும் அமையும்.
அட்டவணை (2.1) ல் சில கடத்திகள், மின்கடத்தாப்
பொருட்கள் மற்றும் குறை கடத்திகளின் மின்தடை எண்கள் தரப்பட்டுள்ளன.

எடுத்துக்காட்டு
2.6
ஒரு கம்பியின் மின்தடை 20 Ω. இக்கம்பி
தனது ஆரம்ப நீளத்திலிருந்து எட்டு மடங்கு நீளம் அதிகரிக்குமாறு சீராக நீட்டப்பட்டால்,
கம்பியின் புதிய மின்தடை என்ன?
தீர்வு
R1 = 20Ω, R2=
?
ஆரம்ப நீளம் I1, என்பதை l எனக்
கொள்வோம்.
புதிய நீளம், I2, = 8l1,
அதாவது l2, = 8l
ஆரம்ப மின்தடை, 
புதிய மின்தடை 
கம்பி நீட்டப்பட்டாலும், அதன் பருமன் மாறாது.
ஆரம்ப பருமன் = இறுதி பருமன்


எனவே, கம்பியை நீட்டும் போது அதன் மின்தடையும்
அதிகரிக்கிறது.
எடுத்துக்காட்டு
2.7
படத்தில் காட்டப்பட்டுள்ளவாறு A உயரம், B அகலம்
மற்றும் C நீளம் கொண்ட ஒரு செவ்வக வடிவ உலோக பெட்டியைக் கருதுவோம்.

பெட்டியின் A மற்றும் B முகங்களுக்கிடையே
V என்ற மின்னழுத்த வேறுபாடு அளிக்கப்படுகிறது எனில் (படம் (அ)) IABஎன்றமின்னோட்டம்
பாய்கிறது. பெட்டியின் B மற்றும் C முகங்களுக்கிடையே V என்ற அதே மின்னழுத்த வேறுபாட்டை
அளித்தால் (படம் (ஆ)) உருவாகும் மின்னோட்டத்தை கண்டுபிடி. உனது விடையை மின்னோட்டம்
IAB மதிப்பின் மடங்காக எழுதுக?
தீர்வு
முதல் நேர்வில், பெட்டியின் மின்தடை

உங்களுக்குத் தெரியுமா?
மனித உடலில் அதிக அளவு நீர்உள்ளதால் மின்தடை குறைவாககிட்டத்தட்ட
200Ω அளவே இருக்கும்.மேலும்
உலர்ந்த தோலின் மின்தடை மிக அதிகமாக கிட்டத்தட்ட 500k Ωஅளவு இருக்கும். ஆனால் தோலானது
ஈரமானதாக இருந்தால் மின்தடையின் மதிப்பு குறைந்து கிட்டத்தட்ட 1000 Ω அளவே இருக்கும். எனவே மின்
இணைப்புகளை ஈரமான கைகளுடன் தொடுவது மிகவும் ஆபத்தானதாகும்.
ஒரு மின் சுற்றில் மிக அதிக எண்ணிக்கையில்
மின்தடையாக்கிகள் பல்வேறு வழிகளில் இணைக்கப்பட்டிருக்கும். ஒவ்வொரு வகை மின்சுற்றிலும்மின்தடையாக்கிகளின்
இணைப்பிற்கேற்ப தொகுபயன் மின்தடையை நாம் கணக்கிடலாம்.
தொடரிணைப்பில்
மின்தடையாக்கிகள்
இரண்டு அல்லது அதற்கு மேற்பட்ட மின்தடையாக்கிகள்
ஒன்றன்பின் ஒன்றாக இணைப்பது தொடரிணைப்பு ஆகும். இவை எளிய மின்தடையாக்கிகளாகவோ அல்லது
மின்விளக்குளாகவோ (light bulb) அல்லது வெப்பமேற்றும் சாதனங்களாகவோ அல்லது வேறு மின்சாதனங்களாகவோ
அமையலாம். படம் 2.9 (அ) வில் R1, R2 மற்றும் R3 ஆகிய
மின்தடையாக்கிகள் தொடரிணைப்பில் உள்ளன.
மின்துகள்கள் மின்சுற்றில் எங்கும் சேகரமாகாது
என்பதால் R1ல் பாயும் அதே அளவு மின் துகள்களே R2 மற்றும் R3
வழியாகவும் பாயும். எனவே, எல்லா மின்தடையாக்கிகளிலும் ஒரே அளவான மின்னோட்டமே (I) பாயும்.
ஓம் விதிப்படி ஒரே அளவுள்ள மின்னோட்டம் தொடரிணைப்பில்
உள்ள வெவ்வேறு மதிப்புடைய

மின்தடையாக்கிகள் வழியே பாயும்போது, மின்தடையாக்கிகளின்
குறுக்கே உருவாகும் மின்னழுத்த வேறுபாடுகள் மாறுபடும்.
V1, V2 மற்றும் V3
என்பன முறையே R1, R2 மற்றும் R3 மின்தடையாக்கிகளில்
குறுக்கே உள்ள மின்னழுத்த வேறுபாடுகள் (வோல்டேஜ்) எனில், V1 = IR1,
V2 = IR2, V3 = IR3 ஆகும். ஆனால் மொத்த
மின்னழுத்த வேறுபாடு V ஆனது மின்தடையாக்கிகளின் குறுக்கே உள்ள தனித்தனி மின்னழுத்த
வேறுபாடுகளின் கூடுதலுக்குச் சமமாகும்.

இங்கு Rs என்பது தொகுபயன் மின்தடையைக்
குறிக்கிறது.

எனவே பல மின் தடையாக்கிகள் தொடரிணைப்பில் உள்ள
போது, மொத்த அல்லது தொகுபயன் மின்தடையானது தனித்தனி மின்தடைகளின் கூடுதலுக்குச் சமமாகும்.
இது படம் 2.9(ஆ)ல் காட்டப்பட்டுள்ளது.
குறிப்பு: தொடரிணைப்பில்
உள்ள மின்தடையாக்கிகளின்தொகுபயன் மின்தடையானது தனித்தனி மின்தடைகளின் மதிப்புகளை விட
அதிகமாக அமையும்.
எடுத்துக்காட்டு
2.8
24 V மின்கலத்துடன் இணைக்கப்பட்டுள்ள 4Ω மற்றும்
6Ω
மின்தடையாக்கிகளுக்கு
குறுக்கே உள்ள மின்னழுத்த வேறுபாடுகளை காண்க. மேலும் இந்த மின்சுற்றில் உள்ள தொகுபயன்
மின்தடையைக் காண்க.

தீர்வு
தொடரிணைப்பில் உள்ள மின்தடையாக்கிகளின்
தொகுபயன் மின்தடை = 4 Ω + 6Ω = 10Ω
மின்சுற்றில் பாயும் மின்னோட்டம் = V/Req
= 24/10 = 2.4 A
4Ωமின்தடையாக்கியின்
குறுக்கே உள்ளே மின்னழுத்த வேறுபாடு

6Ω மின்தடையாக்கியின்
குறுக்கே உள்ளே மின்னழுத்த வேறுபாடு

பக்க
இணைப்பில் மின்தடையாக்கிகள்
ஒரு மின்னழுத்த வேறுபாட்டின் குறுக்கே பல மின்தடையாக்கிகளை
இணைத்தால் அவை பக்க இணைப்பில் உள்ளன எனலாம். இது படம் 2.10(அ) வில் காட்டப்பட்டுள்ளது.
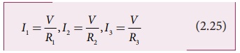
இவ்வகை சுற்றுகளில், மின்கலத்திலிருந்து வெளியேறும்
மொத்த மின்னோட்டம் I ஆனது மூன்று பாதைகளில் பிரிகிறது. R1, R2
மற்றும் R3 வழியே பாயும் மின்னோட்டங்கள் முறையே I1, I2,
மற்றும் I3, என்க. மின்னூட்டங்களின் மாறாவிதிப்படி மொத்த மின்னோட்டம் I
ஆனது இம்மின்தடையாக்கிகள் வழியே பாயும் மின்னோட்டங்களின் கூடுதலுக்குச் சமமாகும்.

மேலும் ஒவ்வொரு மின்தடையாக்கிக்கும் குறுக்கேயும்
உள்ள மின்னழுத்த வேறுபாடும் சமம் என்பதால், ஒவ்வொரு மின்தடையாக்கிக்கும் நாம் ஓம் விதியை
பயன்படுத்தலாம்.

இம்மதிப்புகளை சமன்பாடு (2.24)ல் பிரதியிட


இங்கு Rpஎன்பது பக்க இணைப்பில்
உள்ள மின்தடையாக்கிகளின் தொகுபயன் மின்தடை ஆகும். எனவே பல மின்தடையாக்கிகள் பக்க இணைப்பில்
இணைக்கப்படும்போது, தனித்தனி மின்தடைகளின் தலைகீழ் மதிப்புகளின் கூடுதல், தொகுப்பயன்
மின்தடையின் தலைகீழ் மதிப்புக்குச் சமம். இதனை படம் 2.10 (ஆ)ல் காணலாம்.

குறிப்பு:
பக்க இணைப்பில் மின்தடையாக்கிகள் இணைக்கப்படும் போது தொகுபயன் மின்தடை தனித்தனி மின்தடைகளின்
மதிப்பை விட குறைவானதாக இருக்கும்.
வீட்டு உபயோக சாதனங்கள் எப்போதும் பக்க இணைப்பில்
இணைக்கப்பட்டிருக்கும். அப்போதுதான் ஏதாவது ஒரு சாதனம் பழுதடைந்தால் அதைத் தவிர்த்து
மற்ற சாதனங்கள் வேலை செய்யும்.
எடுத்துக்காட்டு
2.9
பின்வரும் மின்சுற்றில் தொகு பயன் மின்தடையைக்
காண்க. மேலும் I, I1மற்றும் 12 ஆகிய மின்னோட்டங்களையும் கண்டுபிடி

தீர்வு
மின்தடையாக்கிகள் பக்க இணைப்பில் இணைக்கப்பட்டுள்ளதால்,
தொகுபயன் மின்தடை

மின்தடையாக்கிகள் பக்க இணைப்பில் உள்ளதால்,
எல்லா மின்தடையாக்கிகளின் குறுக்கேயும் மின்னழுத்த வேறுபாடு சமமாக இருக்கும்.

மின்சுற்றில் பாயும் மொத்த மின்னோட்டம்

எடுத்துக்காட்டு
2.10
இரண்டு மின்தடையாக்கிகள் தொடரிணைப்பு மற்றும்
பக்க இணைப்புகளில் இணைக்கப்படும் போது தொகுபயன் மின்தடைகள் முறையே 15 Ωமற்றும்
56/15 Ωஎனில்
தனித்தனி மின்தடைகளின்மதிப்புகளை காண்க.
தீர்வு


சமன்பாடு (1) லிருந்து R1 + R2
மதிப்பை சமன்பாடு (2) ல் பிரதியிட
சமன்பாடு (3) லிருந்து R2 ன் மதிப்பை
சமன்பாடு (1) ல் பிரதியிட

இச்சமன்பாட்டை காரணிப்படுத்துதல் மூலமாகத்
தீர்க்கலாம்.
R1= 8Ω எனில்
சமன்பாடு (1) இல் பிரதியிட
8 + R2 = 15
R2 = 15 - 8=7Ω,
R2=7Ω,
i.e, (அதாவது R1 = 8Ω ; R2 =7Ω )
R1=70 எனில்
சமன்பாடு (1) இல் பிரதியிட
7 + R2= 15
R2 = 8Ω,
i.e, (அதாவது R1 = 7 Ω; R2 = 8Ω )
எடுத்துக்காட்டு
2.11
கொடுக்கப்பட்டுள்ள படத்தில் உள்ள A மற்றும்
B புள்ளிகளுக்கிடையே உள்ள தொகுபயன் மின்தடையைக் காண்க.

தீர்வு
பக்க இணைப்பு
பகுதி I
பகுதி II
பகுதி III
1/Rp3 = 1/6 + 1/6 = 2/6,
1/Rp3 = 1/3, Rp3 = 3 Ω
R = Rp1 + Rp2 + Rp3
R = 1Ω + 2Ω + 3Ω = 6Ω
மின்சுற்று பின்வருமாறு அமையும்,
எனவே A மற்றும் B புள்ளிகளுக்கிடையே தொகுபயன்
மின்தடை 6 Ωஆகும்.

எடுத்துக்காட்டு
2.12
ஐந்து மின்தடையாக்கிகள் பின்வரும் படத்தில்
காட்டியுள்ள வடிவமைப்பில் இணைக்கப்பட்டுள்ளன. aமற்றும் b புள்ளிகளுக்கிடையே உள்ள தொகுபயன்
மின்தடையைக் காண்க.

தீர்வு
a மற்றும் b புள்ளிகளுக்கிடையே தொகுப்பயன்
மின்தடையைக் காண, மின்னோட்டமானது a சந்தி வழியாக மின்சுற்றில் நுழைவதாக கொள்வோம். அமைப்பில்
வெளிப்புற மின்தடைகள் அனைத்தும் சமமாக 1Ω அளவில்
இருப்பதால் ac மற்றும் ad பிரிவுகளில் சம அளவு மின்னோட்டம் பாயும். இதனால் c மற்றும்
d புள்ளிகள் சம மின்னழுத்தத்தில் அமைவதால் 5 Ω மின்தடையாக்கி
வழியே எவ்வித மின்னோட்டமும் பாயாது. எனவே தொகுபயன் மின்தடையைக் காண 5Ω மின்தடையானது
எவ்வித பங்கையும் செலுத்தாது. எனவே 5 Ω மின்தடையை
நாம் புறக்கணித்து மின்சுற்றை பின்வருமாறு எளிமைப்படுத்தி வரையலாம்.

எனவே மின்சுற்றின் தொகுபயன் மின்தடை 1Ω.
கார்பன் மின்தடையாக்கிகளில் பீங்கான் உள்ளகத்தின்
மீது மெல்லிய கார்பன் படிகம் வார்க்கப்பட்டிருக்கும் (படம் 2.11). இந்த மின்தடையாக்கிகள்
செலவு குறைவானதாகவும் சிறிய அளவிலும், நீண்ட நாள் உழைக்கக்கூடியனவாகவும் அமைகின்றன.
மின்தடையாக்கிகளின் மதிப்பைக்கான அதன்மீது வரையப்பட்ட நிற வளையங்கள் பயன்படுகின்றன.
இதனை அட்டவணை 2.2 ல் காணலாம்.
முதல் இரண்டு வளையங்கள் மின்தடையின் முக்கிய
எண்ணுருக்களாகவும், மூன்றாவது வளையத்திற்குறிய எண் குறியீடு பத்தின் அடுக்கு பெருக்கலாகவும்
அமையும். நான்காவது வளையம் மின்தடை மாறுபடும் அளவை (Tolerance) குறிக்கும்.

நான்காவது வளையம் இடம் பெறவில்லையெனில் மாறுபடும்
அளவு 20% ஆகும்.
படம் 2.12 ல் காட்டப்பட்டுள்ள மின்தடையாக்கியில்,
முதல் இலக்கம் = 5 (பச்சை), இரண்டாவது இலக்கம் = 6 (நீலம்), பத்தடிமான பெருக்கம் =
103 (ஆரஞ்சு) மற்றும் மாறுபடும் அளவு = 5% (தங்கம்). மின்தடையாக்கியின்
மதிப்பு = 56 X 103Ωஅல்லது 56 k Ωமற்றும்
மாறுபடும் அளவு 5%.

குறிப்பு
மின்தடைகளின் நிறக்குறியீடுகளை காணும்போது
மூன்று வளையங்கள்உள்ள பகுதி நமக்கு இடது புறம்இருக்குமாறு வைத்துக்கொள்ள வேண்டும்.
மின்தடைகளில் உலோக நிற வளையங்கள் இடது புறமாக இருக்காது.
பொருட்களின் மின்தடை எண் வெப்பநிலையைச் சார்ந்து
அமையும். பரந்த வெப்பநிலை நெடுக்கங்களுக்கு, கடத்திகளில் வெப்பநிலை உயரும்போது மின்தடை
எண் அதிகரிக்கும் என ஆய்வுகள் மூலம் நிரூபிக்கப்பட்டுள்ளது. இதனை பின்வரும் சமன்பாடு
மூலம் அறியலாம்.

இங்கு Pr என்பது T°C வெப்பநிலையில்
மின்தடை எண், P0 என்பது T0 வெப்பநிலையில் அதன் (உம் 20°C) மின்தடை
எண் மற்றும் a என்பது மின்தடை வெப்பநிலை எண் (Temperature coefficient of
resistivity) ஆகும்.
மின்தடை வெப்பநிலை எண் என்பது ஒரு டிகிரி வெப்பநிலை
உயர்வில் ஏற்படும் மின்தடை எண் அதிகரிப்பிற்கும் T0 வெப்பநிலையில் உள்ள
மின்தடை எண்ணுக்கும் இடையே உள்ள விகிதம் ஆகும்.
சமன்பாடு (2.27) லிருந்து pr –
p0 = ap0(T-T0) என எழுதலாம்.

இங்கு ∆p =
pr– p0 என்பது∆T =
T – T0 எனும் வெப்பநிலை மாறுபாட்டால் ஏற்படும் மின்தடை எண் மாறுபாடு ஆகும்.
இதன் அலகு /°C ஆகும்.
கடத்திகளுக்கு a நேர்க்குறியுடையது. கடத்திகளின்
வெப்பநிலை அதிகரிக்கும்போது, கடத்தியில் உள்ள எலக்ட்ரான்களின் சராசரி இயக்க ஆற்றல்
அதிகரிக்கும். இதன் விளைவாக மோதல்களின் எண்ணிக்கை அதிகரித்து மின்தடை எண்ணும் அதிகரிக்கும்.
சமன்பாடு (2.27) க்கான வரைபடம் படம் 2.13 ல் காட்டப்பட்டுள்ளது.
கடத்திகளிலும் உலோகங்களைப் போல் பரந்த வெப்பநிலை
அளவுகளுக்கு மின்தடை எண் நேர்விகிதத் தன்மையுடன் (linear) இருப்பினும், மிகக்குறைந்த
வெப்பநிலைகளில் நேர் விகிதமற்றத் தன்மையும் காணப்படும்.
வெப்பநிலை மதிப்பு தனிச்சுழி வெப்பநிலையை
(absolute temperature) நெருங்கும்போது மின்தடை எண் ஒரு குறிப்பிட்ட வரையறுக்கப்பட்ட
மதிப்பைப் பெறும்.

P=R A/I என்ற கோவையை சமன்பாடு (2.27)
இல் பிரதியிட்டு, ஒரு குறிப்பிட்ட வெப்பநிலையில்
கடத்தியின் மின்தடையை பின்வரும் சமன்பாட்டின் மூலம் குறிப்பிடலாம்.

சமன்பாடு (2.28) லிருந்தும் மின்தடை வெப்பநிலை
எண்ணைப் பெறலாம்.
இங்கு∆R = RT – R0என்பது ∆T = T –T0 எனும் வெப்பநிலை மாற்றத்தில் ஏற்படும் மின்தடை மாறுபாடு ஆகும்.
குறைகடத்திகளில், வெப்பநிலை அதிகரித்தால் மின்தடை
எண் குறையும். வெப்பநிலை உயரும்போது [பாடம் 9 இல் குறைகடத்திகளில் மின்னோட்டம் பற்றி
விவரிக்கப்பட்டுள்ளது] குறைகடத்தியின் அணுக்களில் இருந்து அதிக எண்ணிக்கையில் எலக்ட்ரான்கள்
விடுபடும்.

இதனால் மின்னோட்டமும் அதிகரிக்கும். அதனால்
மின்தடை எண் படம் 2.14 ல் காட்டியுள்ளவாறு குறையும். எதிர்க்குறி வெப்பநிலை மின்தடை
எண் உடைய குறைக்கடத்தியானது வெப்ப தடையகம் (Thermistor) எனப்படும்.
அட்டவணை 2.3 ல் பல்வேறு பொருட்களின் மின்தடை
வெப்பநிலை எண்களின் மதிப்புகள் தரப்பட்டுள்ளன.

பின்வரும் கருத்தின் மூலம் மின்தடை எண் வெப்பநிலையை
சார்ந்து இருப்பதை புரிந்து கொள்ளலாம். பகுதி 2.1.3 யில், மின் கடத்து எண் ppppppp
எனக் கண்டோம். மின்தடை எண் ஆனது ppppppppp வின் தலைகீழ் மதிப்பாகும். இதனை கீழ்க்கண்டவாறு
எழுதலாம்.

பொருட்களின் மின்தடை எண் ஆனது
i) எலக்ட்ரான்களின் எண் அடர்த்தி (n) க்குஎதிர்த்தகவில்
அமையும்.
ii) மோதலுக்கு இடைப்பட்ட சராசரி காலத்திற்கு
pppppp எதிர்த்தகவில் அமையும்.
T குறைவைவிட n இன் அதிகரிப்பு ஆதிக்கம் உள்ளது
என்பதால் ஒட்டுமொத்தமாக மின்தடை எண் குறையும்.
உங்களுக்குத்தெரியுமா?
ஒரு சில பொருட்களின் வெப்பநிலையானது ஒருகுறிப்பிட்ட வெப்பநிலைக்கு
கீழே குறையும்போது அதன் மின்தடை எண் சுழியாகும். இந்த வெப்பநிலையானது மாறுநிலை வெப்பநிலை
அல்லது பெயர்வு வெப்பநிலை எனப்படும். இந்த நிகழ்வினை வெளிப்படுத்தும் பொருட்கள் மீக்கடத்திகள்
(Superconductors) எனப்படும். முதன் முதலில் 1911 ல் காமர்லிங் ஒன்ஸ் என்பவர் பாதரசமானது
4.2 K வெப்பநிலையில் மீக்கடத்தும் தன்மையை வெளிப்படுத்துவதைக் கண்டறிந்தார். இந்த மீக்கடத்திகளில்
மின்தடை R = 0 என்பதால் இதில் ஒரு முறை செலுத்தப்படும் மின்னோட்டம் எவ்வித மின்னழுத்த
வேறுபாடும் இன்றி தங்கியிருக்கும்.
எடுத்துக்காட்டு
2.13
20°C வெப்பநிலையில் ஒரு கம்பிச் சுருளின் மின்தடை
3Ω மற்றும்
a = 0.004/°C எனில் 100°C வெப்பநிலையில் அதன் மின்தடையைக் காண்க?
தீர்வு
R0= 30 Ω, T = 100°C, T0 = 20°C
a = 0.004/°C, RT= ?
RT= R0(1 + a(T-T0))
R100= 3(1 + 0.004 x 80)
R100 = 3.96 Ω
எடுத்துக்காட்டு
2.14
20°C மற்றும் 40°C வெப்பநிலைகளில் ஒரு பொருளின்
மின்தடைகள் முறையே 45Ω மற்றும் 85Ω ஆகும்
எனில் அதன் வெப்பநிலை மின்தடை எண்ணைக் கண்டுபிடி.
தீர்வு
T0 = 20°C, T = 40°C, R0
= 45Ω, R
= 85Ω
a= 1/R0∆R/∆T
a= 1/45 (85 – 45/40- 20) = 1/45 =(2)
a = 0.044 per°C