வெக்டர்களின் கூடுதல் தீர்க்கப்பட்ட எடுத்துக்காட்டு கணக்குகள்
எடுத்துக்காட்டு 2.1
மற்றும்
என்ற இரண்டு வெக்டர்கள் ஒன்றுக்கொன்று 60° கோணத்தில் சாய்ந்த நிலையில் உள்ளன. அவற்றின் எண்மதிப்புகள் முறையே 5 அலகுகள் மற்றும் 7 அலகுகள் ஆகும். தொகுபயன் வெக்டரின் எண்மதிப்பு மற்றும்
p யைப் பொருத்து தொகுபயன் வெக்டரின் திசை ஆகியவற்றைக் காண்க.

தீர்வு
வெக்டர்களின் முக்கோணவிதிப்படி

கீழ்க்கண்ட படம் வெக்டர்களின் கூடுதலை எவ்வாறு முக்கோணவிதியின் அடிப்படையில் காணலாம் என்பதை விளக்குகிறது.

மற்றும்
க்கு இடையே உள்ள கோணம் α (தொகுபயன் வெக்டரின் திசை) கீழ்க்கண்டவாறு கணக்கிடப்படுகிறது.


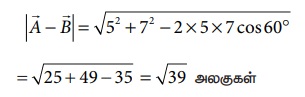
வெக்டர்களின் கழித்தல் தீர்க்கப்பட்ட எடுத்துக்காட்டு கணக்குகள்
எடுத்துக்காட்டு 2.2
மற்றும்
என்ற இரண்டு வெக்டர்கள் ஒன்றுக்கொன்று 60° கோணத்தில் சாய்ந்த நிலையில் உள்ளன. அவற்றின் எண்மதிப்புகள் முறையே 5 அலகுகள் மற்றும் 7 அலகுகள் ஆகும். தொகுபயன் வெக்டர்
-
இன் எண்மதிப்பையும்,
வெக்டரைப் பொருத்து தொகுபயன் வெக்டர்
-
திசையையும் காண்க
தீர்வு
சமன்பாடு (2.4) லிருந்து

