எடுத்துக்காட்டு 2.28
z = (cos θ + isin θ) எனில், zn + 1/zn = 2 cos nθ மற்றும் zn − 1/zn = 2isin nθ என நிறுவுக.
தீர்வு
z = (cos θ + isin θ) என்க
டி மாய்வரின் தேற்றப்படி
zn = (cos θ + isin θ)n = (cos nθ + isin nθ)
1/zn = z−n = cos nθ − isin nθ
ஆகவே, zn + 1/zn = (cos nθ + isin nθ) + (cos nθ − isin nθ)
zn + 1/zn = 2 cos nθ
இதுபோலவே,
zn − 1/zn = (cos nθ + isin nθ) − (cos nθ − isin nθ)
zn − 1/zn = 2 isin nθ
எடுத்துக்காட்டு 2.29
சுருக்குக 
தீர்வு
ஆக எழுதலாம்.
இருபுறமும் 18−ன் அடுக்கிற்கு உயர்த்த,

எடுத்துக்காட்டு 2.30
சுருக்குக 
தீர்வு
z = cos 2θ + isin 2θ என்க

= cos 60θ + isin 60θ .
எடுத்துக்காட்டு 2.31
சுருக்குக (i) (1 + i)l8
(ii) (−√3 + 3i)31
தீர்வு
(i) (1 + i)l8
1 + i = r (cos θ + isin θ) என்க
r = √[12 + 12 ] = √2 ; α = tan−1[1/1] = π/4 ,
θ = α = π/4 (∵ 1 + i ஆனது முதலாம் கால் பகுதியில் உள்ளதால்)
ஆகவே, 1 + i = √2 ( cos π/4 + isin π/4 )
இருபுறமும் 18−ன் அடுக்கிற்கு உயர்த்த,

டி மாய்வரின் தேற்றப்படி,

θ = π – α = π – π/3 = 2π/3 (∵−√3 + 3i ஆனது II−ஆம் கால் பகுதியில் உள்ளதால்)
ஆகவே, −√3 + 3i = 2√3 (cos 2π/3 + isin 2π/3)
இருபுறமும் 31−ன் அடுக்கிற்கு உயர்த்த,

எடுத்துக்காட்டு 2.32
ஒன்றின் மூன்றாம் படிமூலங்களைக் காண்க.
தீர்வு

நாம் 11/3 ஐ காணவேண்டும். z = 11/3 எனில், z3 = 1 ஆகும்.
z3 =1 என்ற சமன்பாட்டை துருவ வடிவில் எழுத
z3 = cos(0 + 2kπ) + isin (0 + 2kπ) = ei2kπ, k = 0, 1, 2,...
எனவே, z = cos(2kπ/3) + isin (2kπ/3) = ei [2kπ / 3] , k = 0, 1, 2.
k = 0, 1, 2 எனப்பிரதியிட
k = 0, z = cos 0 + i sin 0 = 1.

ஆகவே, ஒன்றின் மூன்றாம் படிமூலங்கள்
1, [−1 + i√3] / 2 , [ −1− i√3] / 2 ⇒ 1, ω , மற்றும் ω2 இங்கு ω = ei (2π/3) = [−1 + i√3] / 2.
எடுத்துக்காட்டு 2.33
ஒன்றின் நான்காம் படிமூலங்களைக் காண்க.
தீர்வு

நாம் 11/4 ஐ காண வேண்டும். z = 11/4 எனில் z4 = 1 ஆகும்.
z4 = 1 என்ற சமன்பாட்டை துருவ வடிவில் எழுத,
z = cos(0 + 2kπ) + isin (0 + 2kπ) = ei2kπ ‚k = 0, 1, 2, ...
எனவே,
k = 0, 1, 2, 3
k = 0, 1, 2, 3 எனப்பிரதியிட
k = 0, z = cos 0 + i sin0 = 1.
k = 1, z = cos(π/2) + isin (π/2) = i.
k = 2, z = cos π + isin π = −1.
k = 3, z = cos(3π/2) + isin (3π/2) = − cos(π/2) − isin (π/2) = − i
ஒன்றின் நான்காம் படிமூலங்கள் 1, i, − 1, − i ⇒ 1, ω , ω2 மற்றும் ω3 இங்கு ω = ei [2π/4] = i .
எடுத்துக்காட்டு 2.34
z3 + 8i = 0 என்ற சமன்பாட்டைத் தீர்க்க. இங்கு z ∈ ℂ.
தீர்வு
z3 + 8i = 0 என்க.
⇒ z3 = −8i

z −ன் மதிப்புகள் √3 − i, 2i, மற்றும் −√3 − i.
எடுத்துக்காட்டு 2.35
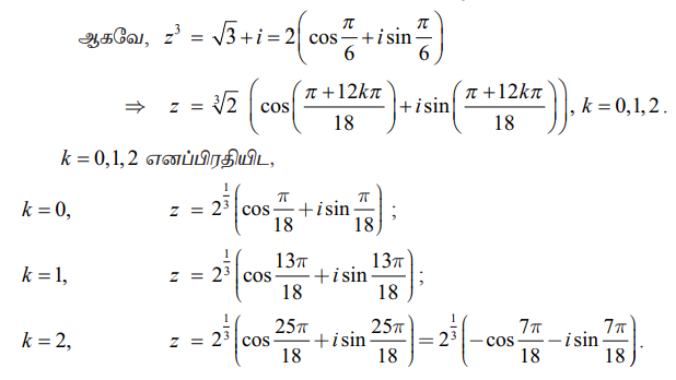
√3 + i −ன் எல்லா மூன்றாம் படிமூலங்களையும் காண்க.
தீர்வு
நாம் (√3 + i)1/3 −ன் மதிப்புகளை காண வேண்டும். z = (√3 + i)1/3 எனில்
z3 = 3 + i = r(cos θ + isin θ) ஆகும்.
r = √[3 + 1] = 2, மற்றும் α = θ = π/6 (√3 + i I கால்பகுதியில் அமைவதால்)
ஆகவே,

எடுத்துக்காட்டு 2.36
z1, z2, மற்றும் z3 ஆகியவை |z| = 2 என்ற வட்டத்தின் மீதமைந்த சமபக்க முக்கோணத்தின் உச்சிப்புள்ளிகள் என்க. மேலும் z1 = 1 + i√3 எனில், z2 மற்றும் z3 −ஐக் காண்க.
தீர்வு
|z| = 2 என்பது (0,0) −வை மையமாகவும். 2 ஐ ஆரமாகவும் கொண்ட வட்டத்தைக் குறிக்கும். A, B, மற்றும் C ஆகியவை முக்கோணத்தின் முனைப்புள்ளிகள் என்க. z1, z2 மற்றும் z3 ஆகியவை |z| = 2 என்ற வட்டத்தின் மீதமைந்த சமபக்க முக்கோணத்தின் உச்சிப்புள்ளிகள். எனவே, AB, BC, மற்றும் CA என்ற பக்கங்கள் ஆதியை பொருத்து (முக்கோணத்தின் சுற்று வட்ட மையம்) 2π/3 ரேடியன்கள் (120°) கோண இடைவெளி விட்டு அமையும். (zeiθ என்பது z −ஐ ஆதியைப் பொருத்து θ கோணம் கடிகார எதிர்திசையில் சுற்றுவது ஆகும்)

ஆகவே, z1 −ஐ முறையே 2π/3 மற்றும் 4π/3 கோணங்கள் சுற்றுவதால் z2 மற்றும் z3 ஆகியவற்றை பெறலாம்.

ஆகவே, z2 = −2 and z3 = 1 − i√3