வாயுக்களின் தன்வெப்ப ஏற்புத்திறனில் ஆற்றல் சமபங்கீட்டு விதியின் பயன்பாடு
ஒரு மோல் அளவுள்ள நல்லியல்பு வாயு ஒன்றின் மோலார் தன்வெப்ப ஏற்புத்திறன்களுக்கிடையே உள்ள தொடர்பை, மேயர் தொடர்பு CP − CV = R கொடுக்கிறது.
ஆற்றல் சமபங்கீட்டு விதியைப் பயன்படுத்தி CP − CV மதிப்பையும் மேலும் அவற்றிற்கிடையேயான விகிதம் γ = CP / CV யையும் கணக்கிடலாம். இங்கு γ என்பது வெப்பப்பரிமாற்றமில்லா அடுக்குக் குறியீடு.
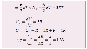
i. ஓரணு மூலக்கூறு
மூலக்கூறு ஒன்றின் சராசரி இயக்க ஆற்றல்

ஒரு மோல் வாயுவின் மொத்த ஆற்றல்

நாம் அறிந்தபடி ஒரு மோல் வாயுவின், பருமன் மாறா மோலார் தன் வெப்ப ஏற்புத்திறன்

எனவே மோலார் தன்வெப்ப ஏற்புத்திறன்களின் தகவு
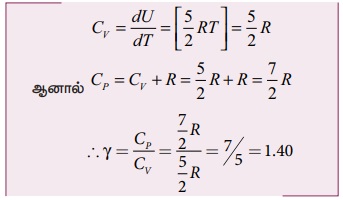
ii ஈரணு மூலக்கூறு
தாழ் வெப்பநிலையில் உள்ள ஈரணு மூலக்கூறு ஒன்றின் சராசரி இயக்க ஆற்றல் = 5/2kT
ஒரு மோல் வாயுவின் மொத்த ஆற்றல்

(இங்கு, மொத்த அக ஆற்றல் முழுவதும் இயக்க ஆற்றல் வடிவில் உள்ளது)
ஒரு மோல் வாயுவின், பருமன் மாறா மோலார் தன்வெப்ப ஏற்புத்திறன்
உயர் வெப்பநிலையிலுள்ள ஈரணு மூலக்கூறு ஒன்றின் அக ஆற்றல் 7/2 RT

CV மற்றும் CP இன் மதிப்பானது ஓரணு மூலக்கூறுகளைவிட, ஈரணு மூலக்கூறுகளுக்கு அதிகமாக உள்ளதை இங்கு கவனிக்க வேண்டும். இதிலிருந்து நாம் அறிவது என்னவென்றால் ஓரணு வாயு மூலக்கூறுகளின் வெப்பநிலையை 1°C உயர்த்துவதற்குத் தேவைப்படும் வெப்பத்தைவிட ஈரணு வாயு மூலக்கூறுகளுக்கு அதிக வெப்பம் தேவைப்படும்.

iii. மூவணு மூலக்கூறு
(a) நேர்க்கோட்டிலமைந்த மூவணு மூலக்கூறு
ஒரு மோல் மூவணு மூலக்கூறின் அக ஆற்றல்

(b) நேர்க்கோட்டில் அமையாத மூவணு மூலக்கூறு
ஒரு மோல் மூவணு மூலக்கூறின் அக ஆற்றல்

வாயுக்களின் இயக்கவியல் கொள்கையின் மாதிரியின் அடிப்படையில், பருமன் மாறா தன்வெப்ப ஏற்புத்திறன் மற்றும் அழுத்தம் மாறா தன்வெப்ப ஏற்புத்திறன் இவை இரண்டும் வெப்பநிலையைச் சார்ந்ததல்ல என்பதைக் கவனத்தில் கொள்ள வேண்டும். ஆனால் நடைமுறையில் இக்கூற்று முற்றிலும் சரி எனக் கருத இயலாது. உண்மையில் வெப்ப ஏற்புத்திறன்கள் வெப்ப நிலையைப் பொருத்து மாற்றமடையும் தன்மையுடையவை ஆகும்.
எடுத்துக்காட்டு 9.5
இயல்பு வெப்பநிலையிலுள்ள (27°C) ஓரணு வாயு மூலக்கூறுகள் மற்றும் ஈரணு வாயு மூலக்கூறுகளின் அளவுகள் முறையே μ1 மோல் மற்றும் μ2 மோல் ஆகும். இவ்வாயுக்கலவையின் வெப்பபரிமாற்றமில்லா அடுக்குக்குறியீடு γ வின் மதிப்பைக் கணக்கிடுக.
தீர்வு
ஒரு மோல் ஓரணுவாயு மூலக்கூறின் பருமன் மாறா மோலார் தன்வெப்ப ஏற்புத்திறன் Cv = 3/2R μ1 மோல் வாயுவிற்கு,

ஒரு மோல் ஈரணு வாயு மூலக்கூறின் பருமன் மாறா மோலார் தன்வெப்ப ஏற்புத்திறன் Cv = 5/2R μ2 மோல் வாயுவிற்கு,

வாயுக்கலவையின் பருமன் மாறா மோலார் தன்வெப்ப ஏற்புத்திறன்

வாயுக்கலவையின் அழுத்தம் மாறா மோலார் தன்வெப்ப ஏற்புத்திறன்

வெப்ப பரிமாற்றமில்லா அடுக்குக் குறியீடு
