இயற்பியல் - மின்காந்தத்தூண்டலும் மாறுதிசைமின்னோட்டமும்: சரியான விடையைத் தேர்ந்தெடுத்து எழுதுக, சிறு வினாக்கள் | 12th Physics : UNIT 4 : Electromagnetic Induction and Alternating Current
அலகு − 4
மின்காந்தத்தூண்டலும் மாறுதிசை மின்னோட்டமும்
I. சரியான விடையைத் தேர்ந்தெடுத்து எழுதுக
1. படத்தில் காட்டியுள்ளவாறு ஒரு எலக்ட்ரான் நேர்க்கோட்டுப்பாதை XY − இல் இயங்குகிறது. கம்பிச்சுற்று abcd எலக்ட்ரானின் பாதைக்கு அருகில் உள்ளது. கம்பிச்சுற்றில் ஏதேனும் மின்னோட்டம் தூண்டப்பட்டால் அதன் திசை யாது?

(a) எலக்ட்ரான் கம்பிச்சுருளைக் கடக்கும் போது, மின்னோட்டம் அதன் திசையை திருப்புகிறது
(b) மின்னோட்டம் தூண்டப்படாது
(c) abcd
(d) adcb
விடை :
a) எலக்ட்ரான் கம்பிச்சுருளைக் கடக்கும் போது, மின்னோட்டம் அதன் திசையை திருப்புகிறது.
தீர்வு :
ஆரம்பத்தில் abcd திசையில் மின்னோட்டம் உருவாகும். ஆனால் எலக்ட்ரான் கம்பிச்சுருளை கடக்கும் போது சுருளுக்குள் காந்தப்புலம் குறையும் எனவே மின்னோட்டம் அதன் திசையை திருப்பும்.
2. படத்தில் காட்டியுள்ளவாறு, ஒரு மெல்லிய அரைவட்ட வடிவ r ஆரமுள்ள கடத்தும் சுற்று (PQR) கிடைத்தள காந்தப்புலம் B − இல் அதன் தளம் செங்குத்தாக உள்ளவாறு விழுகிறது.

அதன் வேகம் v உள்ள போது சுற்றில் உருவான மின்னழுத்த வேறுபாடு
(a) சுழி
(b)
மற்றும் P உயர் மின்னழுத்தத்தில் இருக்கும்
(c) πrBv மற்றும் R உயர் மின்னழுத்தத்தில் இருக்கும்
(d) 2rBv மற்றும் R உயர் மின்னழுத்தத்தில் இருக்கும்
விடை: d) 2rBv மற்றும் R உயர் மின்னழுத்தத்தில் இருக்கும்
தீர்வு:
EPQR = EPR = BVl = BV(2r) (l = PR = 2r)
ஃ கடத்தும் சுற்றுக்கு குறுக்கே உருவாகும் மின்னழுத்த வேறுபாடு 2r BV ஆனது R உடன் அதிக மின்னழுத்தத்திலிருக்கும்.
3. t என்ற கணத்தில், ஒரு சுருளோடு தொடர்புடைய பாயம் ΦB = 10t2 – 50t + 250 என உள்ளது. t = 3s − இல் தூண்டப்பட்ட மின்னியக்கு விசையானது
(a) −190 V
(b) −10 V
(c) 10 V
(d) 190 V
விடை: (b) −10 V

4. மின்னோட்டமானது 0.05 s நேரத்தில் +2A லிருந்து −2A ஆக மாறினால், சுருளில் 8 V மின்னியக்கு விசை தூண்டப்படுகிறது. சுருளின் தன் மின் தூண்டல் எண்
(a) 0.2 H
(b) 0.4 H
(c) 0.8 H
(d) 0.1 H
விடை: (d) 0.1 H

5. படத்தில் காட்டியுள்ளவாறு, ஒரு சுருளில் பாயும் மின்னோட்டம் i நேரத்தைப் பொருத்து மாறுகிறது. நேரத்தைப் பொருத்து தூண்டப்பட்ட மின்னியக்கு விசையின் மாறுபாடானது

விடை:


6. 4cm2 குறுக்குவெட்டுப் பரப்பு கொண்ட ஒரு வட்டகம்பிச்சுருள் 10 சுற்றுகளைக் கொண்டுள்ளது. அது சென்டிமீட்டருக்கு 15 சுற்றுகள் மற்றும் 10 cm2 குறுக்கு வெட்டுப்பரப்பு கொண்ட ஒரு 1m நீண்ட வரிச்சுருளின் மையத்தில் வைக்கப்பட்டுள்ளது. கம்பிச்சுருளின் அச்சானது வரிச்சுருளின் அச்சுடன் பொருந்துகிறது. அவற்றின் பரிமாற்று மின்தூண்டல் எண் யாது?
(a) 7.54 μH
(b) 8.54μH
(c) 9.54μH
(d) 10.54μH
விடை: (a) 7.54 μH
தீர்வு:
M = μ0 n1 n2 A2
= 4 π × 10−7 × 15 × 10 × 10 × 4 × 10−4
= 4π × 6 × 10−7
= 24 × 3.41 × 10−7
= 75.36 × 10−7
= 7.54 × 10−6 H
= 7.54 μH.
7. ஒரு மின்மாற்றியில் முதன்மை மற்றும் துணைச்சுற்றுகளில் முறையே 410 மற்றும் 1230 சுற்றுகள் உள்ளன. முதன்மைச்சுருளில் உள்ள மின்னோட்டம் 6A எனில், துணைச்சுருளின் மின்னோட்டமானது
(a) 2 A
(b) 18 A
(c) 12 A
(d) 1 A
விடை: (a) 2 A

8. ஒரு இறக்கு மின்மாற்றி மின்மூலத்தின் மின்னழுத்த வேறுபாட்டை 220 V இல் இருந்து 11 V ஆகக் குறைக்கிறது மற்றும் மின்னோட்டத்தை 6 A இல் இருந்து 100 A ஆக உயர்த்துகிறது. அதன் பயனுறுதிறன்
(a) 1.2
(b) 0.83
(c) 0.12
(d) 0.9
விடை: (b) 0.83
தீர்வு:
P = VI
உள்ளீடு திறன் = 220 × 6 = 1320
வெளியீடு திறன் = 11 × 100 = 1100
η = 1100/1320 = 0.83
9. ஒரு மின்சுற்றில் R, L, C மற்றும் AC மின்னழுத்த மூலம் ஆகிய அனைத்தும் தொடராக இணைக்கப்பட்டுள்ளன. L ஆனது சுற்றிலிருந்து நீக்கப்பட்டால், மின்னழுத்த வேறுபாடு மற்றும் மின்னோட்டம் இடையே உள்ள கட்ட வேறுபாடு π/3 ஆகும். மாறாக, C ஆனது நீக்கப்பட்டால், கட்ட வேறுபாடானது மீண்டும் π/3 என உள்ளது. சுற்றின் திறன் காரணி
(a) 1/2
(b) 1 / √2
(c) 1
(d) √3 / 2
விடை: (c) 1
தீர்வு: ஒத்திசைவில் V2 மற்றும் i−ன் கட்ட வேறுபாடு = 0
திறன் காரணி cos ɸ = 1
10. ஒரு தொடர் RL சுற்றில், மின்தடை மற்றும் மின்தூண்டல் மின்மறுப்பு இரண்டும் சமமாக உள்ளன. சுற்றில் மின்னழுத்த வேறுபாடு மற்றும் மின்னோட்டம் இடையே உள்ள கட்ட வேறுபாடு

விடை: (a) π/4

11. ஒரு தொடர் RLC சுற்றில், 100 Ω மின்தடைக்குக் குறுக்கே உள்ள மின்னழுத்த வேறுபாடு 40 V ஆகும். ஒத்ததிர்வு அதிர்வெண் ω ஆனது 250 rad/s. C இன் மதிப்பு 4 μF எனில், L க்கு குறுக்கே உள்ள மின்னழுத்த வேறுபாடு
(a) 600 V
(b) 4000 V
(c) 400V
(d) 1 V
விடை: (c) 400V

12. ஒரு 20 mH மின்தூண்டி, 50 μF மின்தேக்கி மற்றும் 40Ω மின்தடை ஆகியவை ஒரு மின்னியக்கு விசை υ = 10 sin 340t கொண்ட மூலத்துடன் தொடராக இணைக்கப்பட்டுள்ளன. AC சுற்றில் திறன் இழப்பு
(a) 0.76 W
(b) 0.89 W
(c) 0.46 W
(d) 0.67 W
விடை: (c) 0.46 W

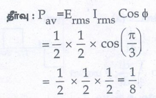
13. ஒரு சுற்றில் மாறுதிசை மின்னோட்டம் மற்றும் மின்னழுத்த வேறுபாட்டின் கணநேர மதிப்புகள் முறையே
மற்றும்
ஆகும். சுற்றில் நுகரப்பட்ட சராசரித்திறன் (வாட் அலகில்)
(a) 1/4
(b) √3/4
(c) 1/2
(d) 1/8
விடை: (d) 1/8

14. ஒரு அலைவுறும் LC சுற்றில் மின்தேக்கியில் உள்ள பெரும மின்னூட்டம் Q ஆகும். ஆற்றலானது மின் மற்றும் காந்தப்புலங்களில் சமமாக சேமிக்கப்படும் போது, மின்னூட்டத்தின் மதிப்பு
(a) Q/2
(b) Q/√3
(c) Q/√2
(d) Q

15.
H மின்தூண்டியானது மின்தேக்குத்திறன் C கொண்ட மின்தேக்கியுடன் இணைக்கப்பட்டுள்ளது. 50 Hz இல் பெருமத் திறனை செலுத்தத் தேவையான C இன் மதிப்பானது
(a) 50 μF
(b) 0.5 μF
(c) 500 μF
(d) 5 μF
விடை: (d) 5 μF
தீர்வு:
பெருமத் திறன் t XL = XC
L2π γ = 1 / ( C2π γ)
C = 5 μF
II. சிறு வினாக்கள்
1. மின்காந்தத் தூண்டல் என்றால் என்ன?
• ஒரு மூடிய கம்பிச் சுருளுடன் தொடர்புடைய காந்தப்பாயம் மாறும்போதெல்லாம் ஒரு மின்னியக்கு விசை தூண்டப்பட்டு சுற்றில் மின்னோட்டம் பாயும்.
• இம்மின்னோட்டம் தூண்டப்பட்ட மின்னோட்டம், இம்மின்னியக்குவிசை தூண்டப்பட்ட மின்னியக்கு விசை ஆகும்.
• இந்நிகழ்வு மின்காந்த தூண்டல் எனப்படும்.
2. மின்காந்தத்தூண்டலின் பாரடே விதிகளைக் கூறுக.
முதல் விதி: மூடிய சுற்றுடன் தொடர்புடைய காந்தப்பாயம் மாறும் போதெல்லாம் சுற்றில் மின்னியக்கு விசை தூண்டப்படும்.
இரண்டாம் விதி: மூடிய சுற்றில் தூண்டப்பட்ட மின்னியக்கு விசையின் எண் மதிப்பு காலத்தை பொருத்து தொடர்புடைய காந்தப்பாயம் மாறும் வீதத்திற்கு சமம்.
3. லென்ஸ் விதியைக் கூறுக.
தூண்டப்பட்ட மின்னோட்டத்தின் திசை அதன் உருவாக்கத்திற்கு காரணமானதை எப்போதும் எதிர்க்கும் விதத்தில் அமையும்.
4. பிளமிங் வலக்கை விதியைக் கூறுக.
வலக்கையின் பெருவிரல், சுட்டு விரல், நடுவிரல் ஆகியவை ஒன்றுக்கொன்று செங்குத்தாக உள்ள போது
• சுட்டு விரல் காந்தப்புலத்தின் திசையும்
• பெருவிரல் கடத்தி இயங்கும் திசையை குறித்தால்
• நடுவிரல் தூண்டப்பட்ட மின்னோட்டத்தின் திசையைக் குறிக்கும்.
5. சுழல் மின்னோட்டம் எவ்வாறு உருவாகிறது? அவை எவ்வாறு ஒரு கடத்தியில் பாய்கிறது?
• தகடாக அல்லது தட்டாக உள்ள கடத்தியில் காந்தப்பாயம் மாறும்போது மின்னியக்கு விசை தூண்டப்படும்.
• தூண்டப்பட்ட மின்னோட்டங்கள் ஒரு புள்ளியை மையமாக கொண்டு வட்டப்பாதையில் செல்கின்றன. இவை சுழல் மின்னோட்டங்கள் அல்லது போகால்ட் மின்னோட்டங்கள் எனப்படும்.
• வலிமையான மின்காந்த முனைகளுக்கிடையே ஒரு ஊசல் அலைவறுவதை கருதுக.
• மின்காந்தம் இயங்கு நிலையில் உள்ளபோது ஊசல் வட்டு அலைவுற்றால் அதில் சுழல் மின்னோட்டம் உருவாகும். அவை அலைவை எதிர்க்கும்.
• சுழல் மின்னோட்டங்களின் வலிமையான தடையுறு விசை ஒரு சில அலைவுகளுக்குள் ஊசலை நிலைக்கு கொண்டு வரும்.
• ஆனால் வட்டில் சில துளைகளை இட்டால் சுழல் மின்னோட்டங்கள் குறைந்து அதிகமான அலைவுகளை மேற்கொள்ளும். இது ஊசல் வட்டில் சுழல் மின்னோட்டம் உருவாவதை தெளிவாக விளக்குகிறது.
6. தூண்டப்பட்ட மின்னியக்கு விசையை உருவாக்கும் வழிகளைக் கூறுக.
i) காந்தப்புலத்தை (B) மாற்றுவதால்
ii) கம்பிச்சுருளின் பரப்பை (A) மாற்றுவதால்
iii) காந்தப்புலத்தை சார்ந்த கம்பிச்சுருளின் திசையமைப்பை (θ) மாற்றுவதால் தூண்டப்பட்ட மின்னியக்கு விசையை உருவாக்கலாம்.
7. ஒரு மின்தூண்டி எதற்குப் பயன்படுகிறது? சில உதாரணங்களைத் தருக.
மின்தூண்டி அதன் வழியே மின்னோட்டம் பாயும் போது காந்தப்புலத்தில் ஆற்றலை சேமிக்க உதவுகிறது.
உதாரணங்கள்: கம்பிச்சுருள், வரிச்சுருள் மற்றும் வட்ட வரிச் சுருள்
8. தன் மின்தூண்டல் என்றால் என்ன?
• கம்பிச் சுருளோடு தொடர்புடைய காந்தப்பாயம் மாறினால் அதே சுருளில் மின்னியக்கு விசை தூண்டப்படுகிறது. இது தன்மின்தூண்டல் எனப்படும்.
• தூண்டப்பட்ட மின்னியக்கு விசை தன்மின் தூண்டப்பட்ட மின்னியக்கு விசை எனப்படும்.
9. மின்தூண்டல் எண்ணின் அலகை வரையறு.
• மின்தூண்டல் ஸ்கேலர். இதன் அலகு Wb A−1 அல்லது Vs A−1 இது ஹென்றி (H) என அளவிடப்படும்
• If i=1 A, NϕB = 1 வெபர் சுற்று எனில் L=IH.
• கம்பிச்சுருளில் பாயும் 1A மின்னோட்டம் ஓரலகு பாயத்தொடர்பை உருவாக்கினால் அக்கம்பிச் சுருளின் தன்மின்தூண்டல் எண் ஒரு ஹென்றி ஆகும்.
• di⁄dt = IAs−I , ε=−1v எனில் L = IH.
• கம்பிச்சுருள் ஒன்றில் மின்னோட்டம் மாறும் வீதம் I As−1 எனும் போது கம்பிச்சுருளில் தூண்டப்படும் எதிர் மின்னியக்கு விசை 1V எனில் அக்கம்பிச்சுருளின் தன்மின்தூண்டல் எண் ஒரு ஹென்றி ஆகும்.
10. ஒரு கம்பிச்சுருளின் தன் மின்தூண்டல் எண் குறித்து நீ புரிந்து கொண்டது யாது? அதன் இயற்பியல் முக்கியத்துவம் யாது?
(i) கம்பிச்சுருளின் தன் மின்தூண்டல் எண் அல்லது சுருக்கமாக மின்தூண்டல் என்பது 1A மின்னோட்டம் பாயும்போது அக்கம்பிச்சுருளில் ஏற்படும் பாயத்தொடர்பு எனப்படும்.
(ii) கம்பிச்சுருள் ஒன்றில் மின்னோட்டம் மாறும்வீதம் 1As-1 எனும்போது அக்கம்பிச்சுருளில் தூண்டப்படும் எதிர் மின்னியக்கு விசை கம்பிச்சுருளின் தன் மின்தூண்டல் எண் எனவும் வரையறுக்கப்படுகிறது.
(iii) எனவே, கம்பிச்சுருள் ஒன்றில் மின்னோட்டம் மாறும் வீதம் 1As−1 எனும் போது, கம்பிச்சுருளில் தூண்டப்படும் எதிர் மின்னியக்குவிசை IV என அமையுமானால் அக்கம்பிச்சுருளின் தன் மின்தூண்டல் எண் ஒரு ஹென்றி ஆகும்.
இயற்பியல் முக்கியத்துவம் :
(i) இயந்திரவியல் இயக்கத்தில் நிறை மற்றும் நிலைமத்திருப்புத்திறன் ஆற்றும் அதே பங்கினை ஒரு மின்சுற்றில் மின்தூண்டல் ஆற்றுகிறது.

(ii) ஒரு சுற்று மூடப்பட்டால், அதிகரிக்கும் மின்னோட்டம் ஒரு மின்னியக்கு விசையைத் தூண்டுகிறது.
11. பரிமாற்று மின்தூண்டல் என்றால் என்ன?
• ஒரு சுருளின் வழியே பாயும் மின்னோட்டம் நேரத்தைப் பொருத்து மாறினால் அருகிலுள்ள சுருளில் மின்னியக்குவிசை தூண்டப்படும். இது பரிமாற்று மின்தூண்டல் எனப்படும்.
• தூண்டப்பட்ட மின்னியக்குவிசை பரிமாற்று தூண்டப்பட்ட மின்னியக்கு விசை எனப்படும்.
12. மாறுதிசை மின்னோட்ட மின்னியற்றியின் தத்துவத்தைக் கூறுக.
• மின்காந்த தூண்டல் தத்துவத்தின் படி மின்னியற்றி செயல்படுகிறது.
• கடத்திக்கும் காந்தப்புலத்திற்கும் இடையேயான சார்பியக்கம் கடத்தியுடன் தொடர்புடைய காந்தப்பாயத்தை மாற்றுவதால் மின்னியக்கு விசை தூண்டப்படுகிறது.
13. AC மின்னியற்றியின் நிலையான சுருளி −சுழலும் புல அமைப்பின் நன்மைகளைப் பட்டியலிடுக.
• தூரிகைகளில்லாமல் மின்னோட்டம் நேரடியாக நிலையான பகுதிகளில் பொருத்தப்பட்டுள்ள முனைகளிலிருந்து பெறப்படுகிறது.
• நிலையான சுருளிச் சுற்றை மின்காப்பு செய்வது எளிது.
• நழுவு வளையங்களின் எண்ணிக்கை குறைக்கப்பட்டுள்ளது.
• சுருளிச் சுற்றுகள் இயந்திரவியல் தகைவினால் உருக்குலைவை தடுக்கும் வகையில் அதிக உறுதியாக அமைக்க முடியும்.
14. ஏற்று மற்றும் இறக்கு மின்மாற்றிகள் என்றால் என்ன?
• குறைந்த மின்னழுத்த வேறுபாடு கொண்ட மாறுதிசை மின்னோட்டத்தை அதிக மின்னழுத்த வேறுபாடு கொண்ட மின்னோட்டமாக மாற்றுவது ஏற்று மின்மாற்றி ஆகும்.
• அதிக மின்னழுத்த வேறுபாடு கொண்ட மாறுதிசை மின்னோட்டத்தை குறைந்த மின்னழுத்த வேறுபாடு கொண்ட மின்னோட்டமாக மாற்றுவது இறக்கு மின்மாற்றி எனப்படும்.
15. ஒரு மாறுதிசை மின்னோட்டத்தின் சராசரி மதிப்பை வரையறு.
மாறுதிசை மின்னோட்டத்தின் சராசரி மதிப்பானது ஒரு நேர் அரைச்சுற்று அல்லது எதிர் அரைச்சுற்றில் உள்ள மின்னோட்டத்தின் அனைத்து மதிப்புகளின் சராசரிஆகும்.
16. ஒரு மாறுதிசை மின்னோட்டத்தின் RMS மதிப்பை வரையறு.
ஒரு மாறுதிசை மின்னோட்டத்தின் RMS மதிப்பு என்பது ஒரு சுற்றில் உள்ள அனைத்து மின்னோட்டங்களின் இருமடிகளின் சராசரியின் இருமடி மூலம் ஆகும்.

17. கட்ட வெக்டர்கள் என்றால் என்ன?
ஒரு சைன் வடிவ மாறுதிசை மின்னழுத்த வேறுபாடு (அல்லது மின்னோட்டம்) தொடக்கப் புள்ளியைப் பொருத்து இடஞ்சுழியாக ɷ கோணத் திசைவேத்துடன் சுழலும் வெக்டர்கள் கட்ட வெக்டர்கள் எனப்படும்.
18. மின் ஒத்ததிர்வு − வரையறு.
செலுத்தப்படும் மாறுதிசை மின்மூலத்தின் அதிர்வெண் (ɷr)ஆனது RLC சுற்றின் இயல்பு அதிர்வெண்ணிற்கு (1/√LC) சமமாக இருந்தால் ஏற்படுவது மின் ஒத்ததிர்வு ஆகும். இங்கு மின்னோட்டம் பெரும் மதிப்பை அடையும்.
19. ஒத்ததிர்வு அதிர்வெண் என்றால் என்ன?
ஒத்ததிர்வு ஏற்படும் மின்மூலத்தின் அதிர்வெண் ஒத்ததிர்வு அதிர்வெண் எனப்படும்.
ɷr = (1/√LC)
ɷr L = 1 / ɷrC (அல்லது) XL = XC

20. Q – காரணி − வரையறு.
• L அல்லது C − க்கு குறுக்கே உள்ள மின்னழுத்த வேறுபாட்டிற்கும், செலுத்தப்படும் மின்னழுத்த வேறுபாட்டிற்கும் இடையே உள்ள தகவு Q காரணி எனப்படும்.
• Q காரணி = (I/R) √L⁄C

21. சுழித்திறன் மின்னோட்டம் என்றால் என்ன?
i) ஒரு மாறுதிசை மின்னோட்ட சுற்றில் நுகரப்பட்ட திறன் சுழி எனில் அச்சுற்றில் பாயும் மின்னோட்டம் சுழித்திறன் மின்னோட்டம் எனப்படும்.
ii) மின்னழுத்த வேறுபாட்டுடன் கட்டக்கோணம் π/2 கொண்டுள்ள மற்றொரு கூறு (IRMSSinθ) ஆனது மின்மறுப்புக்கூறு எனப்படுகிறது. இக்கூறினால் நுகரப்பட்ட திறன் சுழியாகும். எனவே இது சுழித்திறன் மின்னோட்டம் எனவும் அழைக்கப்படுகிறது.
22. திறன் காரணியின் ஒரு வரையறையைத் தருக.
• திறன் காரணி = cosϕ = முந்தி அல்லது பின்தங்கி உள்ள கட்டக் கோணத்தின் கொசைன் மதிப்பு ஆகும்
• திறன் காரணி = R/Z = மின்தடை / மின் எதிர்ப்பு
23. LC அலைவுகள் என்றால் என்ன?
மின்தூண்டி (L) மற்றும் மின்தேக்கி (C) கொண்டு உள்ள ஒரு சுற்றுக்கு ஆற்றல் அளிக்கப்படும் போதெல்லாம் ஆற்றல் மின்தூண்டியின் காந்தப்புலம் மற்றும் மின்தேக்கியின் மின்புலம் இடையே முன்னும் பின்னுமாக அலைவுறும். இதனால் வரையறுக்கப்பட்ட அதிர்வெண் கொண்ட மின் அலைவுகள் உருவாக்கப்படுகின்றன. இந்த அலைவுகள் LC அலைவுகள் எனப்படும்.