வரையறை, விளக்கம், சூத்திரங்கள்,தீர்க்கப்பட்ட எடுத்துக்காட்டு சிக்கல்கள் | மின்காந்த தூண்டல் - நீண்ட வரிச்சுருளின் தன் மின்தூண்டல் எண் | 12th Physics : UNIT 4 : Electromagnetic Induction and Alternating Current
நீண்ட வரிச்சுருளின் தன் மின்தூண்டல் எண்
l
நீளமும் A குறுக்குவெட்டுப்பரப்பும் கொண்ட நீண்ட வரிச்சுருள் ஒன்றைக் கருதுக.
வரிச்சுருளின் ஓரலகு நீளத்தில் உள்ள சுற்றுகளின் எண்ணிக்கை (அல்லது சுற்று
அடர்த்தி) n என்க. வரிச்சுருளின் வழியே i என்ற மின்னோட்டம் பாயும்போது, சீரான
காந்தப்புலம் ஒன்று வரிச்சுருளின் அச்சின் திசையில் உருவாகிறது (படம் 4.20).
வரிச்சுருளினுள் எந்தவொரு புள்ளியிலும் உள்ள காந்தப்புலம் (பகுதி 3.9.3 ஐக் காண்க)
B=μoni
வரிச்சுருளின்
வழியே செல்லும் காந்தபுலக்கோடுகள் ஒவ்வொரு சுற்றுடனும் தொடர்பு கொள்கிறது. ஒரு
சுற்றுடன் தொடர்பு கொண்ட காந்தப்பாயம்

வரிச்சுருளின்
N சுற்றுடன் தொடர்பு கொண்ட காந்தப்பாயம் அல்லது மொத்த காந்தப்பாயத் தொடர்பு
(மொத்தச் சுற்றுகளின் எண்ணிக்கை N ஆனது N=nl)

நமக்குத்
தெரியும்

மேற்கண்ட
சமன்பாடுகளை ஒப்பிட

மேற்கண்ட
சமன்பாட்டிலிருந்து மின்தூண்டலானது வரிச்சுருளின் வடிவத்தையும் (சுற்று அடர்த்தி n,
குறுக்கு வெட்டுப்பரப்பு A, நீளம் l) மற்றும் வரிச்சுருளினுள் உள்ள ஊடகத்தையும்
பொருத்து அமையும். μr ஒப்புமை உட்புகுதிறன் கொண்ட
மின்காப்புப் பொருளால் வரிச்சுருள் நிரப்பப்பட்டால்,

ஒரு மீன்தூண்டியில் சேமிக்கப்பட்ட
ஆற்றல்
சுற்று
ஒன்றில் மின்னோட்டத்தைச் செலுத்தும் போது மின்தூண்டலானது மின்னோட்டம் அதிகரிப்பதை
எதிர்க்கிறது. எனவே சுற்றில் மின்னோட்டத்தை ஏற்படுத்துவதற்கு எதிர்ப்பு விசைக்கு
எதிராக புறக்காரணிகள் மூலம் வேலை செய்யப்படுகிறது. இவ்வாறு செய்யப்பட்ட வேலை காந்த
நிலைஆற்றலாக சேமிக்கப்படுகிறது.
மின்தூண்டியின்
மின்தடை புறக்கணிக்கத்தக்க அளவில் உள்ளதாகக் கொள்வோம். அதன்மின்தூண்டல் விளைவை
மட்டும் கருதுவோம். எந்த ஒரு நேரம் t-இல் தூண்டப்பட்ட மின்னியக்கு விசை
ε=-L di/dt
dq
என்ற மின்னூட்டத்தை dt நேரத்தில் எதிர்ப்பு விசைக்கு எதிராக நகர்த்துவதற்கு
செய்யப்படும் வேலை dW என்க.

சமன்பாடு (4.9) இல் இருந்து εமதிப்பைப்
பிரதியிட

i என்ற மின்னோட்டத்தை ஏற்படுத்துவதற்கு செய்யப்பட்ட
மொத்த வேலை

செய்யப்பட்ட இந்த வேலை, காந்த நிலை ஆற்றலாக சேமிக்கப்படுகிறது.

ஆற்றல் அடர்த்தி என்பது வரிச்சுருளின் உள்ளே
ஓரலகு பருமனில் சேமிக்கப்பட்ட ஆற்றல் ஆகும். அதன் மதிப்பு

எடுத்துக்காட்டு
4.10
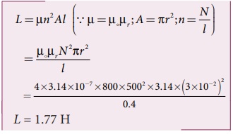
ஒப்புமை உட்புகுதிறன் 800 கொண்ட ஒரு இரும்பு
உள்ளகத்தின் மீது 500 சுற்றுகள் கொண்ட வரிச்சுருள் ஒன்று சுற்றப்பட்டுள்ளது. வரிச்சுருளின்
நீளம் மற்றும் ஆரம் முறையே 40 cm மற்றும் 3 cm ஆகும். வரிச்சுருளில் மின்னோட்டம் சுழியில்
இருந்து 3Aக்கு 0.4 நொடி நேரத்தில் மாறினால், அதில் தூண்டப்பட்ட சராசரி மின்னியக்குவிசையைக்
கணக்கிடுக.
தீர்வு
:
N = 500 சுற்றுகள்; μr =
800 ;
l= 40 cm = 0.4 m; r = 3 cm = 0.03 m;
di = 3 - 0 = 3 A; dt = 0.4 S
தன் மின்தூண்டல் எண்

தூண்டப்பட்ட மின்னியக்கு விசை

எடுத்துக்காட்டு
4.11
காற்று உள்ளகம் கொண்ட ஒரு வரிச்சுருளின் தன்
மின்தூண்டல் எண் 4.8mH ஆகும். அதன் உள்ளகம், இரும்பு உள்ளகமாக மாற்றப்பட்டால் அதன்
தன் மின்தூண்டல் எண் 1.8H ஆக மாறுகிறது. இரும்பின் ஒப்புமை உட்புகுத்திறனைக் கணக்கிடுக.
தீர்வு: