கேள்வி பதில்கள், தீர்வுகள் | இயற்கணிதம் | அலகு 3 | 8 ஆம் வகுப்பு கணக்கு - பயிற்சி 3.2 (இயற்கணிதக் கோவைகளின் வகுத்தல்) | 8th Maths : Chapter 3 : Algebra
பயிற்சி 3.2
1. கோடிட்ட இடங்களை நிரப்புக


2. சரியா? அல்லது தவறா? எனக் கூறுக.
(i) 8x3y ÷ 4x2 = 2xy
(ii) 7ab3 ÷ 14ab = 2b2

3. வகுக்க.
(i) 27y3 ÷ 3y
(ii) x3y2 ÷ x2y
(iii) 45x3y2z4 ÷ (–15xyz)
(iv) (3xy) 2 ÷ 9xy

4. சுருக்குக.


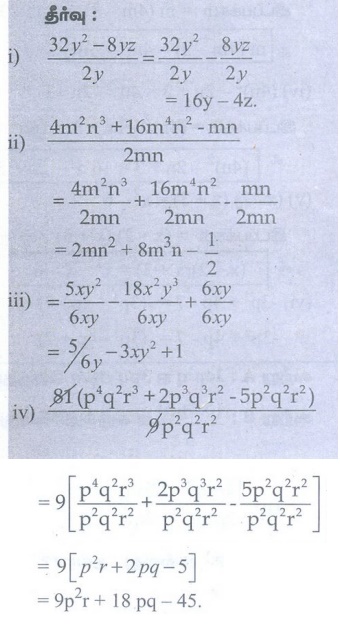
5. வகுக்க :
(i) (32y2 – 8yz) ÷ 2y
(ii) (4m2n3 +16m4n2 – mn) ÷ 2mn
(iii) 5xy2 – 18x2y3 + 6xy ÷ 6xy
(iv) 81(p4q2r3 + 2p3q3r2 – 5p2q2r2) ÷ (3pqr) 2

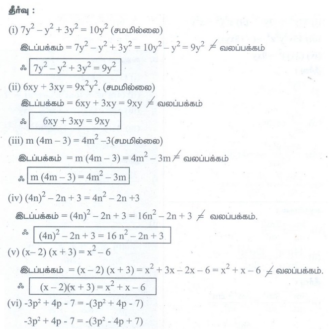
6. தவறுகளைக் கண்டறிந்துச் சரிசெய்க.
(i) 7y2 – y2 + 3y2 =10y2
(ii) 6xy + 3xy = 9x2y2
(iii) m(4m – 3) = 4m2 – 3
(iv) (4n) 2 – 2n + 3 = 4n2 – 2n + 3
(v) (x – 2) (x +3) = x2 – 6
(vi) –3p2 + 4p –7 = –(3p2 + 4p –7)

7. கூற்று A: 24p2 q ஐ 3pq ஆல் வகுத்தால் கிடைக்கும் ஈவு 8p ஆகும்.
கூற்று
ஐ சுருக்கும்போது 5x கிடைக்கும்.
(அ) இரண்டு கூற்றுகளும் சரி
(ஆ) கூற்று A சரி ஆனால் கூற்று B தவறு
(இ) கூற்று A தவறு ஆனால் கூற்று B சரி
(ஈ) இரண்டு கூற்றுகளும் தவறு

8. கூற்று 
கூற்று B: (2m–5) – (5 – 2m) = (2m – 5) + (2m – 5)
(அ) இரண்டு கூற்றுகளும் சரி
(ஆ) கூற்று A சரி ஆனால் கூற்று B தவறு
(இ) கூற்று A தவறு ஆனால் கூற்று B சரி
(ஈ) இரண்டு கூற்றுகளும் தவறு
