கேள்வி பதில்கள், தீர்வுகள் | இயற்கணிதம் | அலகு 3 | 8 ஆம் வகுப்பு கணக்கு - பயிற்சி 3.5 | 8th Maths : Chapter 3 : Algebra
பயிற்சி 3.5
பல்வகைத் திறனறிப் பயிற்சி கணக்குகள்
1. 5y2 (x2y3 – 2x4y + 10x2) இலிருந்து –2(xy)2 (y3 +7x2y + 5) ஐக் கழிக்க

2. பெருக்குக. (4x2 + 9) மற்றும் (3x – 2)

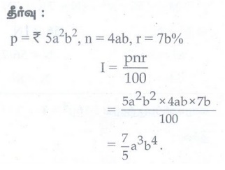
3. ₹ 5a2 b2 இக்கு 4ab ஆண்டிற்கு 7b% வீதம் தனிவட்டி காண்க

4. ஒரு குறிப்பேட்டியின் விலை ₹ 10ab, பாபு என்பவர் ₹ (5a2b + 20ab2 + 40ab) வைத்துள்ளார் எனில், அவர் எத்தனைக் குறிப்பேடுகள் வாங்க முடியும்?

5. காரணிப்படுத்துக (7y2 – 19y – 6)

மேற்சிந்தனைக் கணக்குகள்
6. ஒரு வீட்டிற்கு மின்கம்பி இணைப்பு கொடுக்க எவ்வளவு நீள கம்பி தேவை என்பதை தீர்மானிக்க 4x2 + 11x + 6 என்ற கோவையை ஒப்பந்ததாரர் பயன்படுத்துகிறார். இந்த கோவையானது அவ்வீட்டில் உள்ள அறைகளின் எண்ணிக்கை மற்றும் வீட்டில் உள்ள மின் பகிர்மான புள்ளிகள் (outlets) ஆகியவற்றின் பெருக்கு தொகையாகும். அவ்வீட்டில் (x + 2) எண்ணிக்கையில் அறைகள் உள்ளன என அவருக்கு தெரிந்தால், எத்தனை மின்பகிர்மான புள்ளிகள் (outlets) உள்ளன என்பதை 'x' என்ற மாறியைப் பொருத்துக் காண்க. (குறிப்பு: காரணிப்படுத்துக 4x2 + 11x + 6)

7. ஒரு கொத்தனார் ஓர் அறையின் தரைதளப் பரப்பை குறிக்க x2 + 6x + 8 என்ற கோவையை பயன்படுத்துகிறார். அவர் அந்த அறையின் நீளமானது (x + 4) என்ற கோவையால் குறிக்க முடிவெடுத்தால், அந்த அறையின் அகலம் x என்ற மாறியைப் பொருத்து காண்க.

8. விடுபட்டதைக் காண்க: y2 + (……) x + 56 = (y + 7)(y +…...)

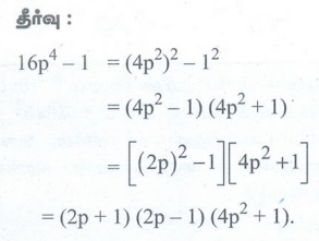
9. காரணிப்படுத்துக: 16p4 – 1

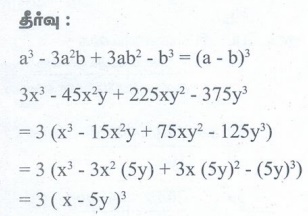
10. காரணிப்படுத்துக: 3x3 – 45x2y + 225xy2 – 375y3
