கேள்வி பதில்கள், தீர்வுகள் | இயற்கணிதம் | அலகு 3 | 8 ஆம் வகுப்பு கணக்கு - பயிற்சி 3.3 (கன முற்றொருமைகள்) | 8th Maths : Chapter 3 : Algebra
பயிற்சி 3.3
1. விரிவாக்குக
(i) (3m + 5)2
(ii) (5p – 1)2
(iii) (2n – 1) (2n + 3)
(iv) 4p2 – 25q2

2. விரிவாக்குக
(i) (3 + m)3
(ii) (2a + 5)3
(iii) (3p + 4q)3
(iv) (52)3
(v) (104)3

3. விரிவாக்குக
(i) (5 – x)3
(ii) (2x – 4y)3
(iii) (ab – c)3
(iv) (48)3
(v) (97xy)3

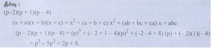
4. சுருக்குக (p – 2)(p + 1)(p – 4)

5. (x + 1) செ.மீ பக்க அளவுள்ள கனச்சதுரத்தின் கன அளவைக் காண்க.

6. (x + 2), (x – 1) மற்றும் (x – 3) ஆகிய பக்க அளவுகள் கொண்ட கனச்செவ்வகத்தின் கன அளவைக் காண்க.

கொள்குறி வகை வினாக்கள்
7. x2 – y2 = 16 மற்றும் (x + y) = 8 எனில் (x – y) என்பது
(அ) 8
(ஆ) 3
(இ) 2
(ஈ) 1
விடை: (இ) 2
8. 
(அ) a2 – ab + b2
(ஆ) a2 + ab + b2
(இ) a2 + 2ab + b2
(ஈ) a2 – 2ab + b2
விடை: (ஆ) a2 + ab + b2
9. (p + q)(p2 – pq + q2) என்பது ……………….. க்கு சமம்.
(அ) p3 + q3
(ஆ) (p + q)3
(இ) p3– q3
(ஈ) (p – q)3
விடை: (அ) p3 + q3
10. (a – b) = 3 மற்றும் ab = 5 பிறகு a3 – b3 = …………………..
(அ) 15
(ஆ) 18
(இ) 62
(ஈ) 72
விடை: (ஈ) 72
11. a3 + b3 = (a + b)3 – …………….
(அ) 3a(a + b)
(ஆ) 3ab(a – b)
(இ) –3ab(a + b)
(ஈ) 3ab(a + b)
விடை: (அ) 3a(a + b)