கேள்வி பதில்கள், தீர்வுகள் | இயற்கணிதம் | அலகு 3 | 8 ஆம் வகுப்பு கணக்கு - பயிற்சி 3.6 (ஒரு மாறியில் அமைந்த நேரியல் சமன்பாடுகள்) | 8th Maths : Chapter 3 : Algebra
பயிற்சி 3.6
1. கோடிட்ட இடங்களை நிரப்புக:
(i) x + 5 = 12 என்ற சமன்பாட்டில் x இன் மதிப்பு ………7…….. ஆகும்.
(ii) y – 9 = (–5) + 7 என்ற சமன்பாட்டில் y இன் மதிப்பு ………11…….. ஆகும்.
(iii) 8m = 56 என்ற சமன்பாட்டில் m இன் மதிப்பு ………7…….. ஆகும்.
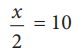
(iv)
என்ற சமன்பாட்டில் p இன் மதிப்பு ………15…….. ஆகும்.
(v) ஒரு மாறியில் அமைந்த ஒருபடிச் சமன்பாட்டிற்கு ……ஒன்று….. தீர்வு மட்டுமே உண்டு.
2. சரியா தவறா எனக் கூறுக.
(i) சமன்பாட்டின் ஒரு பக்கத்தில் உள்ள ஓர் எண்ணை மற்றொரு பக்கத்திற்குக் கொண்டு செல்வது இடமாற்றுமுறை ஆகும். விடை: சரி
(ii) ஒரு மாறியில் அமைந்த ஒருபடிச் சமன்பாடானது, அதனுடைய மாறியின் அடுக்காக 2ஐக் கொண்டு இருக்கும். விடை: தவறு
3. பொருத்துக:
(அ)
(i) x = 4
(ஆ) 20 = 6x – 4 (ii) x = 1
(இ) 2x – 5 = 3 – x (iii) x = 20
(ஈ) 7x – 4 – 8x = 20 (iv) 
(உ)
(v) x = – 24
(அ) (i), (ii), (iv), (iii), (v)
(ஆ) (iii), (iv), (i), (ii), (v)
(இ) (iii), (i), (iv), (v), (ii)
(ஈ) (iii), (i), (v), (iv), (ii)
விடை: (இ) (iii), (i), (iv), (v), (ii)
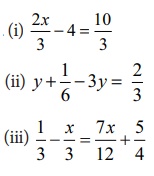
4. x இன் மதிப்பைக் காண்க.


5. x மற்றும் p இன் மதிப்புகளைக் காண்க.
(i) –3(4x + 9) = 21
(ii) 20 – 2 (5 – p) = 8
(iii) (7x – 5) – 4(2 + 5x) = 10(2 – x)

6. x மற்றும் m இன் மதிப்புகளைக் காண்க.

