புத்தக கணக்குகளுக்கான பதில்கள், தீர்வுகள் | கணக்கு - பயிற்சி 7.3: அணிக்கோவைகளுக்குக் காரணித் தேற்றத்தின் பயன்பாடு (Application of factor theorem to determinants) | 11th Mathematics : UNIT 7 : Matrices and Determinants
பயிற்சி 7.3
பின்வருவனவற்றிற்கு காரணித் தேற்றத்தை பயன்படுத்துக:
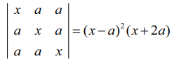
(1)
என நிறுவுக.

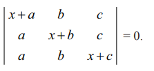
(2)
என நிறுவுக.

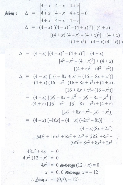
(3) தீர்க்க:

(4)
= (a + b+ c) (a − b) (b− c) (c − a) என நிறுவுக.

(5) தீர்க்க: 

(6)
= (x − y)(y − z)(z − x) என நிறுவுக.
