புத்தக கணக்குகளுக்கான பதில்கள், தீர்வுகள் | கணக்கு - பயிற்சி 7.5: சரியான விடைகளிலிருந்து தேர்ந்தெடுக்கவும் | 11th Mathematics : UNIT 7 : Matrices and Determinants
பயிற்சி 7.5
சரியான அல்லது மிகவும் ஏற்புடைய விடையினைக் கொடுக்கப்பட்ட நான்கு மாற்று விடைகளிலிருந்து தேர்ந்தெடுக்கவும்.
(1) aij = ½ (3i − 2j) மற்றும் A = [aij]2×2 எனில், A என்பது


(2)
எனில், X என்ற அணியானது


(3)
என்ற அணிக்கு பின்வருவனவற்றில் எது உண்மையல்ல?
(1) ஒரு திசையிலி அணி
(2) ஒரு மூலைவிட்ட அணி
(3) ஒரு மேல் முக்கோண வடிவ அணி
(4) ஒரு கீழ் முக்கோண வடிவ அணி

(4) A, Bஎன்பன A + Bமற்றும் ABஎன்பவற்றை வரையறுக்கும் இரு அணிகள் எனில்,
(1) A, Bஎன்பன ஒரே வரிசை கொண்டவையாக இருக்க வேண்டிய அவசியமில்லை.
(2) A, Bஎன்பன சமவரிசையுள்ள சதுர அணிகள்
(3) A−நிரல்களின் எண்ணிக்கையும், B−ன் நிரைகளின் எண்ணிக்கையும் சமம்.
(4) A = B

(5)
எனில், λ −ன் எம்மதிப்புகளுக்கு A2 = O ?
(1) 0
(2) ±1
(3) − 1
(4) 1

(6)
மற்றும் (A + B)2 = A2 + B2 எனில், a, b−ன் மதிப்புகள்
(1) a = 4, b=1
(2) a = 1, b= 4
(3) a = 0, b= 4
(4) a = 2, b= 4

(7)
என்பது AAT = 9I என்ற சமன்பாட்டை நிறைவு செய்யும் அணியாகும், இங்கு I என்பது 3 × 3 வரிசையுள்ள சமனி அணி எனில், (a, b) என்ற வரிசை ஜோடி
(1) (2, −1)
(2) (−2, 1)
(3) (2, 1)
(4) (−2, −1)

(8) A என்பது ஒரு சதுர அணி எனில், பின்வருவனவற்றுள் எது சமச்சீரல்ல?
(1) A + AT
(2) AAT
(3) ATA
(4) A − AT

(9) A, Bஎன்பன n வரிசையுள்ள சமச்சீர் அணிகள், இங்கு A ≠ Bஎனில்,
(1) A + Bஆனது ஓர் எதிர் சமச்சீர் அணி
(2) A + Bஎன்பது ஒரு சமச்சீர் அணி
(3) A + Bஎன்பது ஒரு மூலைவிட்ட அணி
(4) A + Bஎன்பது ஒரு பூஜ்ஜிய அணி

(10)
மற்றும் xy = 1 எனில், det (A AT) −ன் மதிப்பு
(1) (a − 1)2
(2) (a 2 + 1)2
(3) a 2 − 1
(4) (a 2 − 1)2

(11)
என்பது ஒரு பூஜ்ஜியக் கோவை அணி எனில், x−ன் மதிப்பு
(1) 9
(2) 8
(3) 7
(4) 6

(12) (x, –2), (5, 2), (8, 8) என்பன ஒரு கோடமைப் புள்ளிகள் எனில், x−ன் மதிப்பு
(1) −3
(2) 1/3
(3) 1
(4) 3

(13)
என்ற உச்சிப்புள்ளிகளைக் கொண்ட முக்கோணத்தின் பரப்பு
(1) 1/4
(2) ¼ ( abc)
(3) 1/8
(4) 1/8(abc)

(14)
என்ற ஒரு சதுர அணியின் வர்க்கம் வரிசை 2 உடைய ஒரு அலகு அணி எனில், α, β மற்றும் γ என்பவை நிறைவு செய்யும் தொடர்பு
(1) 1 + α2 + βγ = 0
(2) 1− α2 + βγ = 0
(3) 1− α2 + βγ = 0
(4) 1 + α2 + βγ = 0

(15)
என்பது
(1) ∆
(2) k∆
(3) 3k∆
(4) k3∆

(16)
என்ற சமன்பாட்டின் ஒரு தீர்வு
(1) 6
(2) 3
(3) 0
(4) − 6

(17)
என்ற அணிக்கோவையின் மதிப்பு
(1) − 2abc
(2) abc
(3) 0
(4) a2 + b2 + c2

(18) x1, x2, x3 மற்றும் y1, y2, y3 ஆகியவை ஒரே பொது விகிதம் கொண்ட பெருக்குத் தொடர் முறையில் இருந்தால், (x1, y1), (x2, y2), (x3, y3) என்ற புள்ளிகள்
(1) சமபக்க முக்கோணத்தின் உச்சிப்புள்ளிகள்
(2) செங்கோண முக்கோணத்தின் உச்சிப்புள்ளிகள்
(3) இரு சமபக்க செங்கோண முக்கோணத்தின் உச்சிப்புள்ளிகள்
(4) ஒரே கோட்டிலமையும்

(19)
என்பது மீப்பெரு முழு எண் சார்பு என்க. மேலும் −1 ≤ x < 0, 0 ≤ y < 1, 1 ≤ z < 2 எனில்,
என்ற அணிக்கோவையின் மதிப்பு


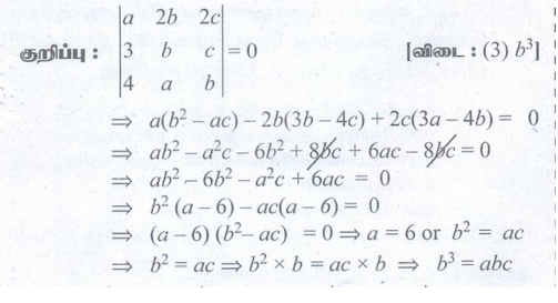
(20) a ≠ b, b, c ஆகியவை
என்பதை நிறைவு செய்தால், abc என்பது
(1) a + b+ c
(2) 0
(3) b3
(4) ab+ bc

(21)
எனில்
(1) B = 4A
(2) B = −4A
(3) B = −A
(4) B = 6A

(22) A என்பது n−ஆம் வரிசை உடைய எதிர் சமச்சீர் அணி மற்றும் C என்பது n × 1 வரிசை உடைய நிரல் அணி எனில், CTAC என்பது
(1) n−ஆம் வரிசையுடைய சமனி அணி
(2) வரிசை 1 உடைய சமனி அணி
(3) வரிசை 1 உடைய பூஜ்ஜிய அணி
(4) வரிசை 2 உடைய சமனி அணி

(23)
என்ற சமன்பாட்டை நிறைவு செய்யும் A என்ற அணி


(24)
எனில் (A + I)(A − I) −ன் மதிப்பு


(25) A, Bஎன்பன சம வரிசையுள்ள இரு சமச்சீர் அணிகள் எனில், கீழ்க்கண்டவற்றுள் எது உண்மையல்ல?
(1) A + Bஎன்பது ஒரு சமச்சீர் அணி
(2) ABஎன்பது ஒரு சமச்சீர் அணி
(3) AB= (BA)T
(4) AT B= ABT
