இயற்பியல் - இயக்கவியல் : சரியான விடையைத் தேர்ந்தெடுத்து எழுதுக | 11th Physics : UNIT 2 : Kinematics
இயக்கவியல்
சரியான விடையைத் தேர்ந்தெடுத்து எழுதுக
1. பின்வரும் எந்த கார்டீசியன் ஆய அச்சுத் தொகுப்பு இயற்பியலில் பயன்படுத்தப்படுவதில்லை.

விடை : (d)
2. பின்வருவனவற்றுள் எது ஓரலகு வெக்டர்?

விடை : (d)
3. பின்வருவனவற்றுள் எந்த இயற்பியல் அளவு ஸ்கேலரால் குறிப்பிட இயலாது?
(a) நிறை
(b) நீளம்
(c) உந்தம்
(d) முடுக்கத்தின் எண்மதிப்பு
விடை : (c) உந்தம்
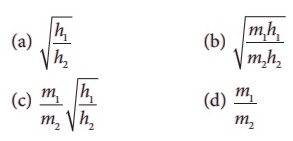
4. m1 மற்றும் m2 நிறை கொண்ட இரண்டு பொருட்கள் h1 மற்றும் h2 உயரத்திலிருந்து விழுகின்றன. அவை தரையை அடையும்போது அவற்றின் உந்தங்களின் எண்மதிப்புகளின் விகிதம் என்ன?

விடை : (c)
5. துகளொன்று எதிர்குறி திசைவேகத்தையும், எதிர்குறி முடுக்கத்தையும் பெற்றுள்ளது எனில், அத்துகளின் வேகம்
(a) அதிகரிக்கும்
(b) குறையும்
(c) மாறாது
(d) சுழி
விடை : (a) அதிகரிக்கும்
6. துகளொன்றின் திசைவேகம்
எனில், t = 0.5 வினாடியில் அத்துகளின் முடுக்கத்தின் எண்மதிப்பு யாது?
(a) 1 ms-2
(b) 2 ms-2
(c) சுழி
(d) -1 ms-2
விடை : (a) 1 ms-2
7. பொருளொன்று கட்டிடத்தின் உச்சியிலிருந்து கீழே விழுகிறது, அப்பொருள் 4 வினாடியில் தரையை அடைந்தால் கட்டிடத்தின் உயரமென்ன? (காற்றுத்தடையைப் - புறக்கணிக்க)
(a) 77.3 m
(b) 78.4 m
(c) 80.5 m
(d) 79.2 m
விடை : (b) 78.4 m
8. v என்ற திசைவேகத்துடன் பந்து ஒன்று செங்குத்தாக மேல்நோக்கி எறியப்படுகிறது அது t நேரத்தில் தரையை அடைகிறது. பின்வரும் எந்த v-t வரைபடம் இவ்வியக்கத்தினை சரியாக விளக்குகிறது.

விடை : (c)
9. சம உயரத்தில் உள்ள இரு பொருட்களில் ஒன்று தானாக கீழ்நோக்கி விழுகிறது. மற்றொன்று கிடைத்தளத்தில் எறியப்படுகிறது. 't' வினாடியில் அவை கடந்த செங்குத்து தொலைவுகளின் விகிதம் என்ன?
(a) 1
(b) 2
(c) 4
(d) 0.5
விடை : (a) 1
10. குறிப்பிட்ட உயரத்திலிருந்து பந்து ஒன்று கீழே விழுகிறது. பின்வருவனவற்றுள் எப்படம் பந்தின் இயக்கத்தினைச் சரியாக விளக்குகிறது?

விடை : (a).
11. xy தளம் ஒன்றில் துகளொன்று கடிகாரமுள் சுழலும் திசையில் சீரான வட்ட இயக்கத்தை மேற்கொள்கிறது. அத்துகளின் கோணத் திசைவேகத்தின் திசை
(a) +y திசையில்
(b) +z திசையில்
(c) -z திசையில்
(d) -x திசையில்
விடை : (c) -z திசையில்
12. துகளொன்று சீரான வட்ட இயக்கத்தை மேற்கொள்கிறது. இதற்கான சரியான கூற்றை தேர்வு செய்க.
(a) துகளின் திசைவேகம் மற்றும் வேகம் மாறிலி
(b) துகளின் முடுக்கம் மற்றும் வேகம் மாறிலி
(c) துகளின் திசைவேகம் மற்றும் முடுக்கம் மாறிலி
(d) துகளின் வேகம் மற்றும் முடுக்கத்தின் எண்மதிப்பு மாறிலி
விடை : (d) துகளின் வேகம் மற்றும் முடுக்கத்தின் எண்மதிப்பு மாறிலி
13. பொருளொன்று u ஆரம்பத்திசை வேகத்துடன் தரையிலிருந்து செங்குத்தாக மேல் நோக்கி எறியப்படுகிறது. அப்பொருள் மீண்டும் தரையை அடைய எடுத்துக்கொள்ளும் நேரம்
(a) u2/2g
(b) u2/g
(c) u/2g
(d) 2u/g
விடை : (d) 2u/g
14. கிடைத்தளத்தைப் பொருத்து 30° மற்றும் 60° கோணத்தில் இரண்டு பொருட்கள் எறியப்படுகின்றன. அவற்றின் கிடைத்தள நெடுக்கம் முறையே R30° மற்றும் R60° எனக்கருதினால், பின்வருவனவற்றுள் பொருத்தமான இணையை தேர்வு செய்க.
(a) R30° = R60°
(b) R30° = 4R60°
(c) R30° = R60'
(d) R30°. =2R60°
விடை : (a) R30° = R60°
15. கோள் ஒன்றில், 50m உயரத்திலிருந்து பொருளொன்று கீழே விழுகிறது. அது தரையை அடைய எடுத்துக்கொள்ளும் நேரம் 2 வினாடி எனில், கோளின் ஈர்ப்பு முடுக்கத்தின் மதிப்பு என்ன?
(a) g = 20 m s-2
(b) g = 25 m s-2
(c) g = 15 m s-2
(d) g = 30 m s-2
விடை : (b) g = 25 m s-2
விடைகள்:
1) d 2) d 3) c 4) c 5) a
6) a 7) b 8) c 9) a 10) a
11) c 12) d 13) d 14) a 15) b