அலைவுகள் | இயற்பியல் - நேர்போக்கு சீரிசை அலையியற்றி (LHO) | 11th Physics : UNIT 10 : Oscillations
நேர்போக்கு சீரிசை அலையியற்றி (LHO)
சுருள்வில் – நிறை அமைப்பின் கிடைத்தள அலைவுகள்

படம் 10.13 காட்டியுள்ளவாறு, நிறையற்ற சுருள்வில்லுடன் m நிறை கொண்ட பொருள் இணைக்கப்பட்டுள்ளது. இந்த சுருள்வில் - நிறை அமைப்பானது உராய்வற்ற கிடைத்தளத்தின் மீது வைக்கப்பட்டுள்ளது எனக்கொள்க. சுருள்வில்லின் விறைப்பு மாறிலி அல்லது விசை மாறிலி அல்லது சுருள்வில் மாறிலி k ஆகும். இந்த அமைப்பின் மீது விசை செலுத்தப்படாதபோது நிறை m ன் சமநிலைப்புள்ளி, அல்லது நடுநிலைப்புள்ளி x0 என்க. நிறையை, சமநிலையில் இருந்து வலப்புறமாக x தொலைவிற்கு இடம்பெயரச் செய்து பின்பு விடுவித்தால், நிறையானது நடுநிலைப்புள்ளி x0 ஐப் பொருத்து முன்னும் பின்னும் அலைவுறும்.
சுருள்வில்லின் நீட்சியால் ஏற்படும் மீள்விசை Fஎன்க. இவ்விசையானது நிறையின் இடப்பெயர்ச்சிக்கு நேர்த்தகவில் இருக்கும்.
ஒரு பரிமாண இயக்கத்திற்கு

எனக் கணிதவியல் முறையில் நாம் பெறலாம். இங்கு, மீள்விசையானது எப்பொழுதும் இடப்பெயர்ச்சிக்கு எதிர்திசையில் செயல்படும் என்பதை எதிர்க்குறி காட்டுகிறது.
இச்சமன்பாடு ஹீக் விதி என்று அழைக்கப்படுகிறது (பார்க்க அலகு 7). இங்கு மீள்விசையானது இடப்பெயர்ச்சியுடன் நேர்போக்கில் உள்ளதை கவனத்தில் கொள்க (அதாவது விசை மற்றும் இடப்பெயர்ச்சியின் அடுக்கு (exponent) ஒன்றாகும்). இது எப்பொழுதும் சரியாக இருப்பதில்லை ஏனென்றால் சில நேர்வுகளில் அதிகமான அளவு இழுவிசையை நாம் செலுத்தும்போது, அலைவுகளின் வீச்சுகள் அதிகமாக அமையும். (அதாவது விசையும், இடப்பெயர்ச்சியும் x ன் அதிக அடுக்குகளுக்கு நேர்த்தகவாக அமையும்) எனவே இந்த அமைப்பின் அலைவுகள் நேர்போக்கு அலைவுகளாக இருப்பதில்லை என்பதால் இவை நேர்போக்கு அல்லாத அலைவுகளாகும். இதுவரை நம்முடைய விவாதங்களின் படி நேர்போக்கு அலைவுகள் மட்டுமே விவாதிக்கப்பட்டுள்ளது. இதன் அடிப்படையில் ஹீக் விதி ஏற்புடையதாக அமைகின்றது. அதாவது (விசை மற்றும் இடப்பெயர்ச்சி நேர்போக்கு தொடர்புடையவை)
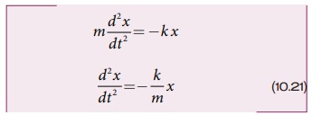
நியூட்டனின் இரண்டாம் இயக்க விதியிலிருந்து தனிச்சீரிசை இயக்கத்திற்கு உட்படும் துகளின் சமன்பாட்டை கீழ்க்கண்டவாறு நாம் எழுத முடியும்.

சமன்பாடு (10.21) ஐ தனிச்சீரிசை இயக்கச் சமன்பாடு (10.10), உடன் ஒப்பிட, நாம் பெறுவது

அதாவது அலையியற்றியின் கோண அதிர்வெண் அல்லது இயல்பு அதிர்வெண்

அலையியற்றியின் அதிர்வெண்

மற்றும் அலைவுகளின் அலைவுநேரம்

தனிச்சீரிசை இயக்கத்தில் அலைவுகளின் அலைவுநேரம் வீச்சைப்பொருத்தது அல்ல என்பதைக் கருத்தில் கொள்க. இது அலைவுகள் தோராயமாக சிறிய அளவில் உள்ள போது மட்டுமே பொருந்தும். தனிச்சீரிசை இயக்கத்தின் வகைக்கெழுச் சமன்பாட்டின் தீர்வைப் பின்வருமாறு எழுதலாம்.

இங்கு A, ω மற்றும் ϕ ஆகியவை மாறிலிகள். வகைக்கெழுச் சமன்பாடு 10.21 -ன் பொதுத்தீர்வு x(t) = A sin(ωt +φ)+ B cos(ωt +φ) ஆகும். இங்கு A, B மாறிலிகள்.

சுருள்வில்லின் செங்குத்து அலைவுகள்

படம் 10.15 -ல் காட்டியுள்ளவாறு, நிறையற்ற விசை மாறிலி அல்லது சுருள்வில் மாறிலி k (spring constant) கொண்ட சுருள்வில்லானது கூரையின் மேற்பகுதியில் இணைக்கப்பட்டுள்ளதாக கருதுவோம். நிறை m இணைக்கப்படுவதற்கு முன்பு சுருள்வில்லின் நீளம் L என்க. சுருள்வில்லின் மற்றொரு முனையில் நிறை m இணைக்கப்படும் போது சுருள்வில்லானது l நீளத்திற்கு விரிவடைகிறது. சுருள்வில்லின் நீட்சி காரணமாக ஏற்படும் மீள்விசை F1 என்க
நிறை m -ல் செயல்படும் ஈர்ப்பு விசையானது செங்குத்தாக கீழ்நோக்கி செயல்படும். இந்த அமைப்பிற்கு தனித்த பொருளின் விசைப்படம் நாம் வரைய முடியும். இது படம் 10.15 ல் காட்டப்பட்டுள்ளது. அமைப்பானது சமநிலையில் உள்ள போது,

ஆனால் சுருள்வில் l இடப்பெயர்ச்சிக்கு நீட்சியடைந்துள்ளது. எனவே

சமன்பாடு (10.28) ஐ சமன்பாடு (10.27) -ல் பிரதியிட நாம் பெறுவது

மிகச்சிறிய அளவிலான புறவிசையை நிறைமீது நாம் செலுத்தினால், அந்த நிறை மேலும், கீழ்நோக்கிய திசையில் இடப்பெயர்ச்சி y-க்கு நீள்கிறது, பிறகு அது மேலும், கீழும் அலைவுறுகிறது. இப்பொழுது சுருள்வில்லின் நீட்சி (y + l) (சுருள்வில்லின் மொத்த நீட்சி காரணமாக ஏற்படும் மீள்விசை.

d2y/dt2, என்ற முடுக்கத்துடன் இயங்கும் நிறைக்கு தனித்த விசைப்படம் வரைந்தால், நாம் பெறுவது

நீட்சியின் காரணமாக நிறை மீது செயல்படும் மொத்த விசை

ஈர்ப்புவிசையானது மீள்விசைக்கு எதிராக அமையும், சமன்பாடு (10.29) ஐ சமன்பாடு (10.32), இல் பிரதியிட, நாம் பெறுவது
F = −ky − kl + kl = −ky
நியூட்டனின் இரண்டாம் விதியைப் பயன்படுத்த

இச்சமன்பாடு தனிச்சீரிசை இயக்கத்தின் வகைக்கெழுச் சமன்பாட்டின் வடிவமாகும். எனவே

குறிப்பு
சுருள்வில்லின் கிடைத்தள அலைவுகள் மற்றும் செங்குத்து அலைவுகளின் அலைவுநேரம் சமமாக இருக்கும்
சமன்பாடு (10.29) பயன்படுத்தி, அலைவுநேரத்தை வேறு வடிவில் எழுதினால்

இச்சமன்பாட்டிலிருந்து புவிஈர்ப்பு முடுக்கம் g மதிப்பை பெறலாம்

எடுத்துக்காட்டு 10.8
சுருள்வில் தராசு 0.25m நீளமும் 0 முதல் 25 kg வரை நிறையை அளவிடும் வகையிலும் அமைக்கப்பட்டுள்ளது. இச்சுருள்வில் தராசானது 11.5ms-2 ஈர்ப்பு முடுக்கம் கொண்ட X என்ற நாம் அறிந்திராத கோள் ஒன்றில் எடுத்துக் கொள்ளப்படுகிறது. M kg நிறை கொண்ட ஒரு பொருள் சுருள் வில்லில் தராசில் தொங்க விடப்படும் பொழுது 0.50s அலைவுக்காலத்துடன் அலைவுறுகிறது. பொருளின் மீது செயல்படும் ஈர்ப்பியல் விசையை கணக்கிடுக.
தீர்வு
சமன்பாடு (10.29) பயன்படுத்தி, முதலில் சுருள்வில் தராசின் விறைப்பு மாறிலியை நாம் கணக்கிடலாம்.

அலைவுகளின் அலைவுநேரம் 
இங்கு M -ன்பது பொருளின் நிறையாகும். M என்பது தெரியாத நிறையாதலால்
சமன்பாட்டை மாற்றி அமைக்க நாம் பெறுவது

பொருளின் மீது செயல்படும் ஈர்ப்பு விசை
W = Mg = 7.3 × 11.5 = 83.95 N ≈ 84 N

சுருள்வில்லின் விறைப்புத் தன்மையானது, சுருள்மாறிலி அல்லது விசைமாறிலி அல்லது விறைப்பு மாறிலியால் அளவிடப்படுகிறது.
சுருள்மாறிலியின் மதிப்பு அதிகமெனில் சுருள்வில்லானது விறைப்பாக இருக்கும். சுருள்வில்லை நீட்சியடையச் செய்யவோ அல்லது அமுக்கச் செய்யவோ அதிக விசையை செலுத்த வேண்டும் என்பதை இது உணர்த்துகின்றது. இதே போல் சுருள்மாறிலியின் மதிப்பு குறைவெனில் குறைந்த விசையை செலுத்தி சுருள்வில்லை நீட்சியடையச் செய்யவோ அல்லது அமுக்கவோ முடியும்.
இரு சுருள்வில்களை இரு வழிகளில் இணைக்க முடியும். ஒன்று தொடரிணைப்பில் இணைத்தல் மற்றொன்று பக்க இணைப்பில் இணைத்தல்.
a. சுருள்வில்கள் தொடரிணைப்பில் உள்ள போதும்
b. சுருள்வில்கள் பக்க இணைப்பில் உள்ள போதும்
தொகுபயன் சுருள்மாறிலியை கீழ்க்காணும் துணைப்பிரிவுகளில் நாம் கணக்கிடலாம்.
a. தொடரிணைப்பில் இணைக்கப்பட்டுள்ள சுருள்வில்கள்
இரண்டு அல்லது அதற்கு மேற்பட்ட சுருள்வில்கள் தொடரிணைப்பில் இணைக்கப்பட்டுள்ளன என்க. தொடரிணைப்பில் உள்ள சுருள்வில்கள் ஏற்படுத்தும் நிகர விளைவிற்குச் சமமான விளைவை ஏற்படுத்தும் ஒரு சுருள்வில்லை (தொகுபயன் சுருள்வில்) அச்சுருள்வில் தொகுப்புக்கு பதிலாக நாம் பயன்படுத்தலாம்.
தனித்தனி சுருள்மாறிலிகளின் மதிப்புகள் k1,k2,k3, (தெரிந்த அளவுகள்), மற்றும் தொகுபயன் சுருள் மாறிலி ks (தெரியாத அளவுகள்) ஆகியவற்றுக்கிடையே கணிதவியல் தொடர்பினை நாம் பெறலாம். எளிமைக்காக k1, k2 சுருள் மாறிலி கொண்ட இரு சுருள்வில்களை மட்டும் கருதுவோம். அவை படம் 10.17 - ல் காட்டியுள்ளவாறு m என்ற நிறையுடன் இணைக்கப்பட்டுள்ளதாக கொள்க. இதன் மூலம் பெறப்படும் முடிவினைப் பயன்படுத்தி தொடரிணைப்பில் எந்த ஒரு எண்ணிக்கையிலும் இணைக்கப்படும் சுருள் வில்களுக்கான பொதுவான முடிவைப் பெறலாம்.

படம் 10.18 இல் காட்டியுள்ளவாறு புறவிசை F வலது புறம் நோக்கி செலுத்தப்படுவதாகக் கொள்வோம். ஒவ்வொரு சுருள்வில்லின் சுருள்மாறிலி வெவ்வேறானவை மேலும் அவற்றுக்கிடையேயான பிணைப்பு இறுக்கமாக (rigid) இருப்பதில்லை. ஆதலால் அவை வெவ்வேறு நீளத்திற்கு நீட்சியடைகின்றன.

செலுத்தப்பட்ட விசை F - ன் காரணமாக சுருள்கள் அதனுடைய சமநிலையிலிருந்து (நீட்சியடையா நிலை) நீட்சியடைந்த தொலைவுகள் முறையே x1 மற்றும் x2 என்க.
எனவே, நிறைப் புள்ளியின் மொத்த இடப்பெயர்ச்சி

ஹுக்கின் விதியிலிருந்து

சுருள்வில்கள் தொடரிணைப்பில் உள்ளதால்

எனவே சமன்பாடு (10.39)-ஐ சமன்பாடு (10.38)-இல் பிரதியிட்டு தொகுபயன் சுருள்மாறிலியைக் கணக்கிட முடியும்.

“n” சுருள்வில்கள்களை தொடரிணைப்பில் இணைப்பதாகக் கொண்டால் தொடரிணைப்பின் தொகுபயன் சுருள் மாறிலி

அனைத்து சுருள் மாறிலிகளும் சமம் எனில் அதாவது

தொகுபயன் சுருள்மாறிலி “n” மடங்கு குறையும் என்பதை இது காட்டுகிறது.
ஆகவே, சுருள்வில்கள் தொடரிணைப்பில் இணைக்கப்படும் பொழுது தொகுபயன் சுருள்மாறிலியானது தனித்த சுருள் மாறிலியைவிட குறைவாக இருக்கும்.
சமன்பாடு 10.39 – லிருந்து நாம் பெறுவது
k1x1 = k2x2
இறுக்கப்பட்ட நீளம் அல்லது நீட்சியடைந்த நீளம் x1, மற்றும் x2 - க்கான தகவு

முதல் மற்றும் இரண்டாவது சுருள்வில்லில் தேக்கி வைக்கப்பட்டுள்ள மீள் நிலையாற்றல் முறையே U1 = 1/2 k1x12 மற்றும் U2 = 1/2 k2x22 , எனில் அவற்றின் தகவு


எடுத்துக்காட்டு 10.9
1Nm-1 மற்றும் 2Nm-1 சுருள் மாறிலிகள் கொண்ட இரு சுருள்வில்கள் தொடரிணைப்பில் இணைக்கப்படுவதாக கொள்வோம். இவ்வமைப்பின் தொகுபயன் சுருள்மாறிலியைக் (ks) கணக்கிடுக. மேலும் ks, ஐ பற்றி கருத்து கூறுக.
தீர்வு

எனவே தொகுபயன் சுருள் மாறிலியானது k1 மற்றும் k2, மதிப்புகளைவிடக் குறைவாக இருக்கும்.
a. பக்க இணைப்பில் சுருள்வில்கள்
இரண்டு அல்லது அதற்கு மேற்பட்ட சுருள்வில்கள் பக்க இணைப்பில் இணைக்கப்பட்டுள்ளன என்க. பக்க இணைப்பில் உள்ள சுருள்வில்கள் ஏற்படுத்தும் நிகர விளைவிற்குச் சமமான விளைவை ஏற்படுத்தும் ஒரு சுருள்வில்லை (தொகுபயன் சுருள்வில்) அச்சுருள்வில் தொகுப்புகளுக்கு பதிலாக நாம் பயன்படுத்தலாம். தனித்தனி சுருள் மாறிலிகளின் மதிப்புகள் k1,k2,k3, (தெரிந்த மதிப்புகள்), மற்றும் தொகுபயன் சுருள் மாறிலி kp (தெரியாத அளவு) ஆகியவற்றுக்கிடையேயான கணிதவியல் தொடர்பினை நாம் பெற முடியும்.
எளிமைக்காக k1, k2 சுருள் மாறிலி கொண்ட இரு சுருள்வில்கள்களை மட்டும் கருதுவோம். அவை படம் 10.19ல் காட்டியுள்ளவாறு m என்ற நிறையுடன் இணைக்கப்பட்டுள்ளதாகக் கொள்க.
இதன் மூலம் பெறப்படும் முடிவினைப் பயன்படுத்தி பக்க இணைப்பில் எந்த ஒரு எண்ணிக்கையிலும் இணைக்கப்படும் சுருள்வில்களுக்கான பொதுவான முடிவைப் பெறலாம்.

படம் 10.20 -ல் காட்டியுள்ளவாறு விசை F-ஐ வலது புறமாக செலுத்துவதாக கொள்வோம்.
இந்நேர்வில், இரு சுருள்களும் ஒரே அளவிலான நீட்சி அல்லது இறுக்கத்தினை அடைகின்றது.
நிறை m அடைந்த இடப்பெயர்ச்சி எனில்

இங்கு kp என்பது தொகுபயன் சுருள்மாறிலி ஆகும். முதல் சுருளில் x நீட்சியை ஏற்படுத்தும் விசை F1 எனவும், இரண்டாவது சுருளில் அதே அளவு x நீட்சியை ஏற்படுத்தும் விசை F2 எனவும் கொண்டால், தொகுபயன் விசையானது.

சமன்பாடு (10.46) மற்றும் (10.45), ஆகியவற்றை சமன்செய்ய நாம் பெறுவது

பொதுவாக n சுருள்வில்கள் பக்க இணைப்பில் இணைக்கப்பட்டிருப்பின்,

அனைத்து சுருள்வில் மாறிலியின் மதிப்பும் சமமெனில் அதாவது k1 = k2= ... = kn = k

தொகுபயன் சுருள்மாறிலி n மடங்கு அதிகரிக்கும் என்பதை இது காட்டுகிறது. ஆகவே சுருள்வில்கள் பக்க இணைப்பில் இணைக்கப்பட்டிருப்பின் தொகுபயன் சுருள் மாறிலி தனித்தனி சுருள் மாறிலியின் மதிப்பினைவிட அதிகமாக இருக்கும்.

எடுத்துக்காட்டு 10.10
1Nm-1 மற்றும் 2Nm-1 சுருள் மாறிலி கொண்ட இரு சுருள்வில்கள் பக்க இணைப்பில் இணைக்கப்படுவதாகக் கொள்வோம். தொகுபயன் சுருள்மாறிலியைக் கணக்கிடுக மேலும் kp ஐ பற்றி கருத்து கூறுக.
தீர்வு

எனவே தொகுபயன் சுருள்மாறிலியானது k1. மற்றும் k2 மதிப்பைவிட அதிக மதிப்பு கொண்டது.
எடுத்துக்காட்டு 10.11
கீழ்க்காணும் அமைப்புகளின் தொகுப்பயன் சுருள்வில் மாறிலியின் மதிப்பைக் கணக்கிடுக. அனைத்து சுருள்வில்களுக்கும் சுருள்மாறிலிகளின் மதிப்பு சமம் எனக் கொண்டு கணக்கீடு செய்க.

தீர்வு
a. k1, மற்றும் k2, பக்க இணைப்பில் உள்ளதால், ku = k1 + k2
இதேபோல், k3, மற்றும் k4, பக்க இணைப்பில் kd = k3 + k4
ku, மற்றும் kp, ஆகியவை தொடரிணைப்பில் உள்ளன.
எனவே 
அனைத்து சுருள்வில் மாறிலிகளும் சமம் என்பதால்
k1 = k2 = k3 = k4 = k
அதாவது ku = 2k மற்றும் kd = 2k
எனவே, 
b. k1, மற்றும் k2, பக்க இணைப்பில் உள்ளதால்,
kA = k1 + k2
இதேபோல், k4, மற்றும் k5 உள்ளதால்,
kB = k4 + k5
kA, k3, kB, மற்றும் k6, தொடரிணைப்பில்
உள்ளதால் 
அனைத்து சுருள் மாறிலிகளும் சமம் என்பதால் k1 = k2 = k3 = k4 = k5 = k6 = k எனவே kA = 2k மற்றும் kB = 2k

keq = k/3
எடுத்துக்காட்டு 10.12
m நிறையானது v என்ற வேகத்தில் ஒரு உராய்வற்ற கிடைத்தள பரப்பில் சென்று, ஏறத்தாழ நிறையற்ற, சுருள் மாறிலி k கொண்ட சுருள்வில் மீது மோதுகின்றது. மோதலுக்கு பிறகு நிறையானது அமைதி நிலைக்கு வருகின்றது எனில் சுருள்வில்லின் அமுக்கத்தை கணக்கிடுக.
தீர்வு
நிறையானது சுருள்வில்லை மோதும்போது நிறையின் இயக்க ஆற்றல் இழப்பானது சுருள்வில்லில் மீள் நிலை ஆற்றலாக பெறப்படுகிறது. (ஆற்றல் மாறாக்கோட்பாட்டின்படி)
x என்பது சுருளின் இறுக்கமடைந்த தூரம் என்க, ஆற்றல் மாறாக் கோட்பாட்டின்படி

தனிச்சீரிசை இயக்கத்தில் தனி ஊசலின் அலைவுகள் மற்றும் தனிஊசலின் விதிகள்
தனி ஊசல் :

தனி ஊசல் என்பது சீரலைவு இயக்கத்தை மேற்கொள்ளும் ஒரு இயந்திரவியல் அமைப்பாகும். நீளமான கயிற்றில் (நிறையற்ற மீட்சித் தன்மையற்றதாக கருதுக) m நிறை கொண்ட ஊசல் குண்டு ஒரு முனையில் தொங்கவிடப்பட்ட நிலையில் மறு முனையானது படத்தில் [படம் 10.21 (a)] காட்டியுள்ளவாறு தாங்கியில் பொருத்தப்பட்டுள்ளது. சமநிலையில், தனி ஊசல் அலைவுறாமல் செங்குத்தாக கீழ்நோக்கி தொங்கிக் கொண்டிருக்கும். இந்நிலை சம நிலைப்புள்ளி அல்லது நடுநிலைப்புள்ளி எனப்படும். தனி ஊசலானது சமநிலைப் புள்ளியிலிருந்து சிறிய இடப்பெயர்ச்சிக்கு உட்படுத்தப்பட்டு விடப்படும் போது, ஊசல் குண்டானது முன்னும் பின்னும் இயக்கத்தை மேற்கொள்ளும். தனி ஊசலின் நீளம் l என்பது தொங்கவிடப்பட்ட புள்ளிக்கும் ஊசல் குண்டின் ஈர்ப்பு மையதிற்கும் இடைப்பட்ட தொலைவு ஆகும்.
படம் 10.21 (d) இல் காட்டப்பட்டுள்ளது போல் ஊசல் குண்டின் மீது எந்த ஒரு இடம் பெயர்ந்த நிலையிலும் இரு விசைகள் செயல்படுகின்றன.
i. ஈர்ப்பியல் விசை
செங்குத்தாக கீழ்நோக்கி செயல்படுகிறது.
ii. தொங்கவிடப்பட்ட புள்ளியை நோக்கி கயிற்றின் வழியாக செயல்படும் இழுவிசை ![]()
a. செங்குத்து கூறு: கயிற்றின் வழியாக இழுவிசைக்கு எதிர்திசையில் செயல்படும் கூறு. Fas = mg cosθ.
b. தொடுவியல் கூறு: கயிற்றிற்கு செங்குத்தாக உள்ள கூறு அதாவது வில்லின் தொடுகோட்டு திசையில் உள்ள கூறு Fps = mg sinθ.
எனவே,
கயிற்றின் வழியே விசையின் செங்குத்துக்கூறு

படம் 10.21 - ஐ நாம் உற்று நோக்கும்போது ஈர்ப்பியல் விசையின் தொடுகோட்டு கூறானது எப்பொழுதும் சமநிலை நோக்கியே அமையும். அதாவது ஈர்ப்பியல் விசையானது, ஊசல் குண்டின் சமநிலைப்புள்ளியிலிருந்து அடைந்த இடப்பெயர்ச்சியின் எதிர்திசையில் அமையும். இந்த தொடுவியல் விசையே மீள் விசையாகும். தொடுவியல் விசையை நியூட்டனின் இரண்டாம் விதியின் மூலம் நாம் பெறலாம்.


இங்கு s என்பது ஊசல் குண்டின் இடப் பெயர்ச்சியாகும். இது வட்டவில்லின் வழியே அளவிடப்படுகிறது.
வட்ட வில்லின் நீளத்தை கோண இடப்பெயர்ச்சியின் வாயிலாக பெறலாம். அதாவது

சமன்பாடு (10.53) ஐ சமன்பாடு (10.51), ல் பிரதியிட

மேற்கண்ட வகைக்கெழுசமன்பாட்டில் sin θ இருப்பதனால், இச்சமன்பாடு நேர் போக்கற்ற (இரண்டாம் வரிசை ஒருபடித்தான) சமன்பாடாகும். சிறிய அலைவுகளுக்கு தோராயமாக sin θ ≈ θ என்பதால் மேற்கண்ட வகைக்கெழு சமன்பாடு நேர்போக்கு வகைக்கெழுச் சமன்பாடாகிறது.

இது நன்கு அறிந்த அலையியக்கத்திற்கான வகைக்கெழு சமன்பாடு. எனவே அலையியற்றியின் கோண அதிர்வெண்ணானது (அமைப்பின் இயல்பு அதிர்வெண்)

தனி ஊசலின் விதிகள்
தனி ஊசலின் அலைவுநேரமானது
a. கீழ்க்கண்ட விதிகளின் அடிப்படையில் அமைந்துள்ளது.
(i) நீளத்தின் விதி
கொடுக்கப்பட்ட புவிஈர்ப்பு முடுக்கத்தின் மதிப்பிற்கு, தனி ஊசலின் அலைவுநேரம் தனி ஊசலின் நீளத்தின் இருமடி மூலத்திற்கு நேர்த்தகவில் அமையும்.

(ii) முடுக்கத்தின் விதி
கொடுக்கப்பட்ட தனி ஊசலின் நீளம் மாறாதிருக்கும் போது ஊசலின் அலைவுநேரம் புவிஈர்ப்பு முடுக்கத்தின் இருமடி மூலத்திற்கு எதிர்தகவில் அமையும்.

b. பின்வரும் காரணிகளைச் சார்ந்திருக்காது
(i) ஊசல் குண்டின் நிறை
தனி ஊசலில் ஊசல் குண்டின் அலைவுநேரம் நிறையை சார்ந்திராது. இதுதானே கீழேவிழும் பொருளின் இயக்கத்தை போன்றது. எனவே மாறாத நீளம் கொண்ட தனி ஊசலில் ஊசல் குண்டாக யானை ஊசலுற்றாலும் எறும்பு ஊசலுற்றாலும் அலைவுக் காலம் பாதிக்காது. இரண்டும் ஒரே அலைவுக்காலத்தை பெற்றிருக்கும்.
(ii) அலைவுகளின் வீச்சு
சிறிய கோண அளவுகளில் தனி ஊசல் (கோண இடப்பெயர்ச்சி சிறியதாக உள்ள போது) அலைவுற்றால் அலைவுநேரம் வீச்சினை சார்ந்திராது.
எடுத்துக்காட்டு 10.13
தனி ஊசல் சோதனைகளில், தோராயமாக சிறிய கோணங்களை பயன்படுத்துவோம். இச்சிறிய கோணங்களை விவாதிக்க

θ என்பது ரேடியனில் உள்ளபோது, சிறிய கோணங்களுக்கு sin θ ≈ θ

அதாவது θ வானது 10 டிகிரி மற்றும் அதைவிட குறைவாக இருக்கும்போது, θ வை ரேடியனில் குறிப்பிட்டால் sin θ வானது θ வுக்கு சமம். θ அதிகரிக்கும் பொழுது sine θ மதிப்பானது θ விலிருந்து படிப்படியாக வேறுபடுகிறது.
வெப்பநிலையினால் தனி ஊசலின் நீளத்தில் ஏற்படும் விளைவு
வெப்பநிலை மாறுபாட்டின் காரணமாக தொங்கவிடப்பட்ட கம்பியானது பாதிப்படைகிறது என கொள்க. வெப்பநிலை உயர்த்தும்போது கம்பியின் நீளத்தில் ஏற்படும் பாதிப்பானது
l = lo (1 + α ∆t)
என மாற்றமடைகிறது. இங்கு lo என்பது கம்பியின் ஆரம்ப நீளம் மற்றும் l என்பது வெப்பநிலையின் உயர்வால் ஏற்படும் கம்பியின் இறுதி நீளம். ∆t என்பது வெப்பநிலை மாற்றம் மற்றும் α என்பது நீள்விரிவெண் என்க. எனவே

இங்கு ∆t என்பது வெப்பநிலை மாறுபாட்டின் காரணமாக அலைவு நேரத்தில் ஏற்படும் மாறுபாடு மற்றும் T0. என்பது தனி ஊசலின் தொடக்க நீளம் l0. ஆக உள்ள போது உள்ள அலைவுநேரம்.
எடுத்துக்காட்டு 10.14:
ஒரு தனி ஊசலின் நீளம் அதன் தொடக்க நீளத்திலிருந்து 44% அதிகரிக்கிறது எனில் தனி ஊசலின் அலைவுநேரம் அதிகரிக்கும் சதவீதத்தை கணக்கிடுக.
தீர்வு

U வடிவக் குழாயின் திரவத்தம்பத்தின் அலைவுகள் :

ஒரு சீரான குறுக்குவெட்டுப்பரப்பு A கொண்ட திறந்த புயங்களைக் கொண்ட U வடிவ கண்ணாடிக் குழாயை கருதுக. படம் 10.22-ல் காட்டப்பட்டது போல், பாகுநிலையற்ற, அமுக்க இயலாத ρ அடர்த்தி கொண்ட திரவமானது U வடிவக் குழாயின் புயங்களில் h உயரத்திற்கு நிரப்பப்பட்டுள்ளதாக கொள்க. குழாயும் திரவமும் அசைவற்ற நிலையில் உள்ளதெனில் திரவத்தம்ப மட்டம் சமநிலைப் புள்ளி O வில் இருக்கும். திரவத்தின் மீது எந்த ஒரு புள்ளியில் அழுத்தத்தை அளவிட்டாலும் சமமாக இருக்கும். மேலும் புயங்களின் மேற்பகுதியிலும் அழுத்தம் (குழாயின் இருபுறங்களின் உள்ள முனைகளில்) சமமாக இருக்கும். இவ்வழுத்தம் வளி மண்டல அழுத்தத்திற்குச் சமம். இதனால் குழாயின் புயங்களில் திரவமட்டங்கள் சமநிலையில் இருக்கும். ஏதேனும் ஒரு புயத்தில் நாம் காற்றை ஊதுவதன் மூலம் தேவையான விசையை செலுத்துவதால் சமநிலைப் புள்ளி O விலிருந்து திரவ மட்டம் மாறுபடுகிறது. அதாவது ஒரு புயத்தில் ஊதப்பட்ட காற்றின் அழுத்தம் மற்றொரு புயத்தைவிட அதிகம். இந்த அழுத்த மாறுபாடு திரவத்தை நடு அல்லது சமநிலைப் பொருத்து சிறிது நேரம் அலைவுகளை உருவாக்குகிறது பின் இறுதியாக அமைதி நிலைக்கு திரும்புகிறது. இதன் அலைவுநேரம்.

இங்கே l என்பது U - வடிவ குழாயில் உள்ள
திரவத்தம்பத்தின் மொத்தநீளம்