இயற்பியல் - அலைவுகளின் வகைகள் | 11th Physics : UNIT 10 : Oscillations
அலைவுகளின் வகைகள்
கட்டற்ற அலைவுகள்
அலையியற்றியை அதன் சமநிலைப்புள்ளியிலிருந்து இடம்பெயரச் செய்து அலைவுறச் செய்தால் அது அலைவுறும் அதிர்வெண்ணானது இயல்பு அதிர்வெண்ணிற்கு சமமாக இருக்கும். இவ்வகை அலைவுகள் அல்லது அதிர்வுகள் கட்டற்ற அலைவுகள் அல்லது கட்டற்ற அதிர்வுகள் எனப்படும்.
எடுத்துக்காட்டுகள்:
I. இசைக்கவையின் அதிர்வுகள்.
II. இழுத்துக்கட்டப்பட்ட கம்பியின் அதிர்வுகள்.
III. தனி ஊசலின் அலைவுகள்.
IV. சுருள்வில் நிறை அமைப்பின் அலைவுகள்.
தடையுறு அலைவுகள்
தனி ஊசல் அலைவுறும் போது (முந்தைய நிகழ்வில்) அலைவின் வீச்சானது மாறிலி எனவும் அலையியற்றியின் மொத்த ஆற்றல் மாறாதது எனவும் எடுத்துக் கொள்கிறோம். ஆனால் உண்மையில் ஊடகத்தின் உராய்வுமற்றும் காற்றின் இழுவையால் காலம் அதிகரிக்கும்போது வீச்சு குறைகின்றது. இதன் அலைவுகள் நிலைநிறுத்தப்படாமல் இருக்கும் மற்றும் சீரிசை அலையியற்றின் ஆற்றல் படிப்படியாக குறைகின்றது. இந்த ஆற்றல் இழப்பு அலையியற்றி சூழ்ந்துள்ள ஊடகம் உட்கவர்தலால் ஏற்படுகிறது. இந்த வகை அலை இயக்கம் தடையுறு அலைவுகள் என அழைக்கப்படுகின்றது.வேறுவிதமாக கூறினால் அலையின் வீச்சு குறைகின்றது மற்றும் அலையியற்றியின் ஆற்றல் ஊடகத்தின் தடைக்கு எதிராக செய்யப்பட்ட வேலையாக மாற்றப்படுகிறது. இவ்வகை இயக்கம் தடையுறு இயக்கம் என அழைக்கப்படுகின்றது மற்றும் இந்நிகழ்வில் உராய்வு விசை (தடையுறு விசை) அலையியற்றியின் திசைவேகத்திற்கு நேர்தகவில் இருக்கும்.

எடுத்துக்காட்டுகள்:
i) தனி ஊசலின் அலைவுகள் (காற்றின் தடையுடன்) அல்லது எண்ணெய் நிரப்பப்பட்ட கலனிற்குள் தனி ஊசலின் அலைவுகள்.
ii) தொட்டிச் சுற்றில் ஏற்படும் மின்காந்த அலைவுகள்
iii) கால்வனா மீட்டரில் ஏற்படும் தடையுறு அலைவு
ஊசலில் ஆடிக் கொண்டிருக்கும்போது ஒரு சில அலைவுகளுக்கு பிறகு அலைவு நிறுத்தப்படும். இதற்கு காரணம் தடையுறு விசையாகும். இதனைத் தவிர்க்க தள்ளு விசையைச் செலுத்தி அலைவுகளானது நிலை நிறுத்தப்படுகிறது. புற மூலத்திலிருந்து ஆற்றலை பயன்படுத்தி அலையியற்றிக்கு அளிப்பதனால் அலைவுகளின் வீச்சு மாறாமல் இருக்கும். இவ்வகை அதிர்வுகளை நிலை நிறுத்தப்பட்ட அதிர்வுகள் என்கிறோம்.
எடுத்துக்காட்டு :
அதிர்வுறும் இசைக்கவையின் ஆற்றலை மின்கல அடுக்கு அல்லது புறதிறன் மூலத்திலிருந்து பெறச்செய்தல்
எந்த ஒரு அலையியற்றி, தான் இழந்த ஆற்றலை புறச்சீரலைவு அமைப்பினால் பெற்று தொடர்ந்து இயங்குகின்றதோ அந்த அலையியற்றியை திணிப்பு அலையியற்றி அல்லது இயக்கப்பட்ட அலையியற்றி என அழைக்கின்றோம்.
இவ்வகை அதிர்வுகளில், பொருளானது ஆரம்பத்தில் இயல்பு அதிர்வெண்ணில் அதிர்வுறும் பின்னர் புற சீரலைவு விசையின் காரணமாக புற சீரலைவு விசையின் அதிர்வெண்ணில் அதிர்வுறும். இத்தகைய அதிர்வுகள் திணிப்பு அதிர்வுகள் என்று அழைக்கப்படுகிறது.
எடுத்துக்காட்டு:
கம்பி இசைக் கருவிகளில் பெறப்படும் அதிர்வுகள
ஒத்ததிர்வு திணிப்பு அதிர்வின் சிறப்பு நிகழ்வு ஆகும். இங்கு புற சீரலைவு விசையின் (அல்லது இயக்கி விசையின்) அதிர்வெண்ணும் அதிர்வுறும் பொருளின் இயல்பு அதிர்வெண்ணும் சமமாக இருக்கும். இதன் விளைவினால் அதிர்வுறும் பொருளின் வீச்சு அதிகரிக்க ஆரம்பித்து பெரும் வீச்சு நிலையைப் பெறும். இந்த நிகழ்வை ஒத்ததிர்வு எனவும் அதன் அதிர்வுகள் ஒத்திசைவு எனவும் அழைக்கப்படுகிறது.
எடுத்துக்காட்டு:
ஒலியால் கண்ணாடி உடைதல்
குறிப்பு
ரேடியோ (அல்லது தொலைக்காட்சி) ஏற்பி சுற்றுக்களை, ரேடியோ நிலையத்துடன் (அல்லது தொலைக்காட்சி) இசைவு செய்தலில் ஒத்திசைவு தத்துவம் பயன்படுகிறது.
உங்களுக்குத் தெரியுமா?

ஒத்திசைவு அதிர்வுகள் பாலத்தில் ஏற்படுவதை தவிர்க்க பாலத்தின் மீது இராணுவ வீரர்கள் அணிவகுத்து கடந்து செல்ல அனுமதிக்கப்பட மாட்டார்கள்.
இராணுவ வீரர்கள் பாலத்தைக் கடந்து செல்லும்போது, அவர்கள் பாலத்தின் மீது காலடி எடுத்து வைக்கும் அதிர்வெண் பாலத்தின் இயல்பு அதிர்வெண்ணிற்கு சமம் எனில் இப்பாலம் ஒத்திசை அதிர்வுகளை பெறலாம். வீச்சின் மதிப்பு மிகப்பெரியது என்பதால் பாலம் இடிந்துவிழ வாய்ப்புள்ளது.
குறிப்பு
மின்தூக்கியில் தனி ஊசல்:
(i) a முடுக்கத்துடன் மேல்நோக்கி இயங்கும் மின்தூக்கி ஈர்ப்பு முடுக்கத்தால் ஏற்படும் தொகுபயன் முடுக்கம்

அலைவுக்காலமானது புவிஈர்ப்பு முடுக்கத்திற்கு எதிர்தகவில் தொடர்புடையது. எனவே மின்தூக்கி மேலே இயங்கும் போது அலைவுக் காலம் குறைகிறது.
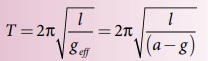
(ii) a முடுக்கத்துடன் கீழ்நோக்கி இயங்கும் மின்தூக்கி தொகுபயன் geff = g - a என்பதால் அலைவுநேரம் 
அலைவுக் காலமானது புவிஈர்ப்பு முடுக்கத்திற்கு எதிர்தகவில் உள்ளதால் மின் தூக்கி கீழ்நோக்கி இயங்கும்போது அலைவுநேரம் அதிகரிக்கும்.
(iii) மின் தூக்கியானது a > g: வுடன் விழும்போது தொகுபயன் முடுக்கம் geff = a - g எனவே, அலைவுநேரம்

இந்நிகழ்வில், ஊசல் தலைகீழாக திரும்பி அதனுடைய பெரும உயரப்புள்ளியைப் பொருத்து அலைவுறும்.
(iv) மின்தூக்கியானது a = g என்ற முடுக்கத்துடன் கீழே விழும்போது தொகுபயன் முடுக்கம் geff= g - g = 0 எனவே அலைவுநேரம்
எனும்போது ஊசலானது அலைவுறாது மற்றும் அதன் இயக்கம் நிறுத்தப்படுகிறது
(v) தனிஊசலானது கிடைத்தளத்தில் a முடுக்கத்துடன் இயங்கிக் கொண்டு இருக்கும் காரில் வைக்கப்பட்டுள்ளது எனில் தொகுபயன் முடுக்கம்
எனவே, அலைவுநேரம்
