எண்களும் தொடர்வரிசைகளும் | கணக்கு - பலவுள் தெரிவு வினாக்கள் | 10th Mathematics : UNIT 2 : Numbers and Sequences
பயிற்சி 2.10
பலவுள் தெரிவு வினாக்கள்
1. யூக்ளிடின் வகுத்தல் துணைத் தேற்றத்தின் படி, a மற்றும் b என்ற மிகை முழுக்களுக்கு, தனித்த மிகை முழுக்கள் q மற்றும் r, a = bq + r என்றவாறு அமையுமானால், இங்கு r ஆனது,
(அ) 1 < r < b
(ஆ) 0 < r < b
(இ) 0 ≤ r < b
(ஈ) 0 < r ≤ b
2. யூக்ளிடின் வகுத்தல் துணைத் தேற்றத்தைப் பயன்படுத்தி, எந்த மிகை முழுவின் கனத்தையும் 9ஆல் வகுக்கும் போது கிடைக்கும் மீதிகள்
(அ) 0, 1, 8
(ஆ) 1, 4, 8
(இ) 0, 1, 3
(ஈ) 1, 3, 5
3. 65 மற்றும் 117-யின் மீ.பொ.வ-வை 65m - 117 என்ற வடிவில் எழுதும்போது, m-யின் மதிப்பு
(அ) 4
(ஆ) 2
(இ) 1
(ஈ) 3

4. 1729-ஐ பகாக் காரணிப்படுத்தும் போது, அந்தப் பகா எண்களின் அடுக்குகளின் கூடுதல்
(அ) 1
(ஆ) 2
(இ) 3
(ஈ) 4

5. 1 முதல் 10 வரையுள்ள (இரண்டு எண்களும் உட்பட) அனைத்து எண்களாலும் வகுபடும் மிகச்சிறிய எண்
(அ) 2025
(ஆ) 5220
(இ) 5025
(ஈ) 2520

6. 74k ≡ ___ (மட்டு 100)
(அ) 1
(ஆ) 2
(இ) 3
(ஈ) 4
7. F1 =1, F2 = 3 மற்றும் Fn = Fn-1 + Fn-2 எனக் கொடுக்கப்படின் F5 ஆனது
(அ) 3
(ஆ) 5
(இ) 8
(ஈ) 11

8. ஒரு கூட்டுத் தொடர்வரிசையின் முதல் உறுப்பு 1 மற்றும் பொது வித்தியாசம் 4 எனில், பின்வரும் எண்களில் எது இந்தக் கூட்டுத் தொடர்வரிசையில் அமையும்?
(அ) 4551
(ஆ) 10091
(இ) 7881
(ஈ) 13531

9. ஒரு கூட்டுத் தொடர்வரிசையின் 6வது உறுப்பின் 6 மடங்கும் 7 வது உறுப்பின் 7 மடங்கும் சமம் எனில், அக்கூட்டுத் தொடர்வரிசையின் 13-வது உறுப்பு
(அ) 0
(ஆ) 6
(இ) 7
(ஈ) 13

10. ஒரு கூட்டுத் தொடர்வரிசையில் 31 உறுப்புகள் உள்ளன. அதன் 16-வது உறுப்பு m எனில், அந்தக் கூட்டுத் தொடர்வரிசையில் உள்ள எல்லா உறுப்புகளின் கூடுதல்
(அ) 16 m
(ஆ) 62 m
(இ) 31 m
(ஈ) 31/2 m

11. ஒரு கூட்டுத் தொடர்வரிசையில் முதல் உறுப்பு 1 மற்றும் பொது வித்தியாசம் 4. இந்தக் கூட்டுத் தொடர்வரிசையின் எத்தனை உறுப்புகளைக் கூட்டினால் அதன் கூடுதல் 120 கிடைக்கும்?
(அ) 6
(ஆ) 7
(இ) 8
(ஈ) 9

12. A = 265 மற்றும் B = 264 + 263 + 262 + ... + 20 எனக் கொடுக்கப்பட்டுள்ளது. பின்வருவனவற்றில் எது உண்மை?
(அ) B ஆனது A ஐ விட 264 அதிகம்
(ஆ) A மற்றும் B சமம்
(இ) B ஆனது A -ஐ விட 1 அதிகம்
(ஈ) A ஆனது B -ஐ விட 1 அதிகம்

13. 3/16, 1/8, 1/12, 1/18, ... என்ற தொடர்வரிசையின் அடுத்த உறுப்பு
(அ) 1/24
(ஆ) 1/27
(இ) 2/3
(ஈ) 1/81

14. t1, t2, t3,... என்பது ஒரு கூட்டுத் தொடர்வரிசை எனில், t6, t12, t18,... என்பது
(அ) ஒரு பெருக்குத் தொடர்வரிசை
(ஆ) ஒரு கூட்டுத் தொடர்வரிசை
(இ) ஒரு கூட்டுத் தொடர்வரிசையுமல்ல, பெருக்குத் தொடர்வரிசையுமல்ல
(ஈ) ஒரு மாறிலித் தொடர் வரிசை

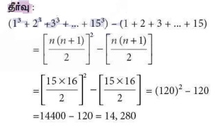
15. (13 + 23 + 33 + ... + 153) - (1 + 2 + 3 + ... + 15) யின் மதிப்பு
(அ) 14400
(ஆ) 14200
(இ) 14280
(ஈ) 14520
